rytm-20251231
0001649904FYfalse2025455290452275http://fasb.org/us-gaap/2025#LongTermDebtCurrentP1Yiso4217:USDxbrli:sharesiso4217:USDxbrli:sharesrytm:segmentrytm:Institutionxbrli:purerytm:item00016499042025-01-012025-12-3100016499042025-06-3000016499042026-02-240001649904rytm:PamelaCramerMember2025-10-012025-12-310001649904rytm:PamelaCramerMember2025-12-310001649904rytm:JenniferLeeMember2025-10-012025-12-310001649904rytm:JenniferLeeMember2025-12-310001649904rytm:JosephShulmanMember2025-10-012025-12-310001649904rytm:JosephShulmanMember2025-12-310001649904rytm:LynnTetraultMember2025-10-012025-12-310001649904rytm:LynnTetraultMember2025-12-3100016499042025-10-012025-12-3100016499042025-12-3100016499042024-12-310001649904rytm:SeriesAConvertiblePreferredStockMember2025-12-310001649904rytm:SeriesAConvertiblePreferredStockMember2024-12-310001649904us-gaap:ProductMember2025-01-012025-12-310001649904us-gaap:ProductMember2024-01-012024-12-310001649904us-gaap:ProductMember2023-01-012023-12-310001649904us-gaap:LicenseMember2025-01-012025-12-310001649904us-gaap:LicenseMember2024-01-012024-12-310001649904us-gaap:LicenseMember2023-01-012023-12-3100016499042024-01-012024-12-3100016499042023-01-012023-12-310001649904us-gaap:CommonStockMember2022-12-310001649904us-gaap:AdditionalPaidInCapitalMember2022-12-310001649904us-gaap:AccumulatedOtherComprehensiveIncomeMember2022-12-310001649904us-gaap:RetainedEarningsMember2022-12-3100016499042022-12-310001649904us-gaap:AdditionalPaidInCapitalMember2023-01-012023-12-310001649904us-gaap:CommonStockMember2023-01-012023-12-310001649904us-gaap:AccumulatedOtherComprehensiveIncomeMember2023-01-012023-12-310001649904us-gaap:RetainedEarningsMember2023-01-012023-12-310001649904rytm:SeriesAConvertiblePreferredStockMember2023-12-310001649904us-gaap:CommonStockMember2023-12-310001649904us-gaap:AdditionalPaidInCapitalMember2023-12-310001649904us-gaap:AccumulatedOtherComprehensiveIncomeMember2023-12-310001649904us-gaap:RetainedEarningsMember2023-12-3100016499042023-12-310001649904rytm:SeriesAConvertiblePreferredStockMember2024-01-012024-12-310001649904us-gaap:AdditionalPaidInCapitalMember2024-01-012024-12-310001649904us-gaap:CommonStockMember2024-01-012024-12-310001649904rytm:AtMarketOfferingsMember2024-01-012024-12-310001649904rytm:AtMarketOfferingsMemberus-gaap:CommonStockMember2024-01-012024-12-310001649904rytm:AtMarketOfferingsMemberus-gaap:AdditionalPaidInCapitalMember2024-01-012024-12-310001649904us-gaap:AccumulatedOtherComprehensiveIncomeMember2024-01-012024-12-310001649904us-gaap:RetainedEarningsMember2024-01-012024-12-310001649904us-gaap:CommonStockMember2024-12-310001649904us-gaap:AdditionalPaidInCapitalMember2024-12-310001649904us-gaap:AccumulatedOtherComprehensiveIncomeMember2024-12-310001649904us-gaap:RetainedEarningsMember2024-12-310001649904us-gaap:AdditionalPaidInCapitalMember2025-01-012025-12-310001649904us-gaap:CommonStockMember2025-01-012025-12-310001649904us-gaap:IPOMember2025-01-012025-12-310001649904us-gaap:IPOMemberus-gaap:CommonStockMember2025-01-012025-12-310001649904us-gaap:IPOMemberus-gaap:AdditionalPaidInCapitalMember2025-01-012025-12-310001649904rytm:AtMarketOfferingsMember2025-01-012025-12-310001649904rytm:AtMarketOfferingsMemberus-gaap:CommonStockMember2025-01-012025-12-310001649904rytm:AtMarketOfferingsMemberus-gaap:AdditionalPaidInCapitalMember2025-01-012025-12-310001649904rytm:SeriesAConvertiblePreferredStockMember2025-01-012025-12-310001649904us-gaap:AccumulatedOtherComprehensiveIncomeMember2025-01-012025-12-310001649904us-gaap:RetainedEarningsMember2025-01-012025-12-310001649904us-gaap:CommonStockMember2025-12-310001649904us-gaap:AdditionalPaidInCapitalMember2025-12-310001649904us-gaap:AccumulatedOtherComprehensiveIncomeMember2025-12-310001649904us-gaap:RetainedEarningsMember2025-12-310001649904rytm:CustomerOneMemberus-gaap:CustomerConcentrationRiskMemberus-gaap:SalesRevenueNetMember2025-01-012025-12-310001649904rytm:CustomerOneMemberus-gaap:CustomerConcentrationRiskMemberus-gaap:SalesRevenueNetMember2024-01-012024-12-310001649904us-gaap:NonUsMemberus-gaap:GeographicConcentrationRiskMemberrytm:RevenueAndGeographicalMember2025-01-012025-12-310001649904rytm:CustomerOneMemberus-gaap:CustomerConcentrationRiskMemberus-gaap:AccountsReceivableMember2025-01-012025-12-310001649904rytm:CustomerOneMemberus-gaap:CustomerConcentrationRiskMemberus-gaap:AccountsReceivableMember2024-01-012024-12-310001649904rytm:ProvisionForCashDiscountsMember2023-12-310001649904rytm:FeesRebatesAndOtherIncentiveMember2023-12-310001649904rytm:ProvisionForCashDiscountsMember2024-01-012024-12-310001649904rytm:FeesRebatesAndOtherIncentiveMember2024-01-012024-12-310001649904rytm:ProvisionForCashDiscountsMember2024-12-310001649904rytm:FeesRebatesAndOtherIncentiveMember2024-12-310001649904rytm:ProvisionForCashDiscountsMember2025-01-012025-12-310001649904rytm:FeesRebatesAndOtherIncentiveMember2025-01-012025-12-310001649904rytm:ProvisionForCashDiscountsMember2025-12-310001649904rytm:FeesRebatesAndOtherIncentiveMember2025-12-310001649904us-gaap:LeaseholdImprovementsMember2025-12-310001649904us-gaap:LeaseholdImprovementsMember2024-12-310001649904us-gaap:OfficeEquipmentMember2025-12-310001649904us-gaap:OfficeEquipmentMember2024-12-310001649904rytm:ComputerAndSoftwareMember2025-12-310001649904rytm:ComputerAndSoftwareMember2024-12-310001649904us-gaap:FurnitureAndFixturesMember2025-12-310001649904us-gaap:FurnitureAndFixturesMember2024-12-310001649904us-gaap:ConstructionInProgressMember2025-12-310001649904us-gaap:ConstructionInProgressMember2024-12-310001649904us-gaap:EmployeeStockOptionMember2025-01-012025-12-310001649904us-gaap:EmployeeStockOptionMember2024-01-012024-12-310001649904us-gaap:EmployeeStockOptionMember2023-01-012023-12-310001649904us-gaap:RestrictedStockUnitsRSUMember2025-01-012025-12-310001649904us-gaap:RestrictedStockUnitsRSUMember2024-01-012024-12-310001649904us-gaap:RestrictedStockUnitsRSUMember2023-01-012023-12-310001649904us-gaap:PerformanceSharesMember2025-01-012025-12-310001649904us-gaap:PerformanceSharesMember2024-01-012024-12-310001649904us-gaap:PerformanceSharesMember2023-01-012023-12-310001649904rytm:SeriesAConvertiblePreferredStockMember2025-01-012025-12-310001649904rytm:SeriesAConvertiblePreferredStockMember2024-01-012024-12-310001649904rytm:SeriesAConvertiblePreferredStockMember2023-01-012023-12-310001649904us-gaap:PatentsMember2025-01-012025-12-310001649904us-gaap:PatentsMember2024-01-012024-12-310001649904us-gaap:PatentsMember2023-01-012023-12-310001649904rytm:LGChemLtdMember2024-01-042024-01-040001649904rytm:LGChemLtdMember2024-01-040001649904rytm:LGChemLtdMemberus-gaap:SellingGeneralAndAdministrativeExpensesMember2024-01-042024-01-040001649904rytm:LGChemLtdMember2025-07-012025-07-010001649904rytm:LGChemLtdMemberus-gaap:ResearchAndDevelopmentExpenseMember2024-01-012024-12-310001649904rytm:XinventoBVMember2023-02-272023-02-270001649904rytm:XinventoBVMember2023-02-270001649904rytm:XinventoBVMember2023-12-310001649904rytm:XinventoBVMemberus-gaap:ResearchAndDevelopmentExpenseMember2023-01-012023-12-310001649904us-gaap:MoneyMarketFundsMemberus-gaap:FairValueInputsLevel1Member2025-12-310001649904us-gaap:MoneyMarketFundsMemberus-gaap:FairValueInputsLevel2Member2025-12-310001649904us-gaap:MoneyMarketFundsMemberus-gaap:FairValueInputsLevel3Member2025-12-310001649904us-gaap:MoneyMarketFundsMember2025-12-310001649904us-gaap:USTreasurySecuritiesMemberus-gaap:FairValueInputsLevel1Member2025-12-310001649904us-gaap:USTreasurySecuritiesMemberus-gaap:FairValueInputsLevel2Member2025-12-310001649904us-gaap:USTreasurySecuritiesMemberus-gaap:FairValueInputsLevel3Member2025-12-310001649904us-gaap:USTreasurySecuritiesMember2025-12-310001649904rytm:CorporateDebtSecuritiesAndCommercialPaperMemberus-gaap:FairValueInputsLevel1Member2025-12-310001649904rytm:CorporateDebtSecuritiesAndCommercialPaperMemberus-gaap:FairValueInputsLevel2Member2025-12-310001649904rytm:CorporateDebtSecuritiesAndCommercialPaperMemberus-gaap:FairValueInputsLevel3Member2025-12-310001649904rytm:CorporateDebtSecuritiesAndCommercialPaperMember2025-12-310001649904us-gaap:FairValueInputsLevel1Member2025-12-310001649904us-gaap:FairValueInputsLevel2Member2025-12-310001649904us-gaap:FairValueInputsLevel3Member2025-12-310001649904us-gaap:CommercialPaperMemberus-gaap:FairValueInputsLevel1Member2024-12-310001649904us-gaap:CommercialPaperMemberus-gaap:FairValueInputsLevel2Member2024-12-310001649904us-gaap:CommercialPaperMemberus-gaap:FairValueInputsLevel3Member2024-12-310001649904us-gaap:CommercialPaperMember2024-12-310001649904us-gaap:MoneyMarketFundsMemberus-gaap:FairValueInputsLevel1Member2024-12-310001649904us-gaap:MoneyMarketFundsMemberus-gaap:FairValueInputsLevel2Member2024-12-310001649904us-gaap:MoneyMarketFundsMemberus-gaap:FairValueInputsLevel3Member2024-12-310001649904us-gaap:MoneyMarketFundsMember2024-12-310001649904us-gaap:USTreasurySecuritiesMemberus-gaap:FairValueInputsLevel1Member2024-12-310001649904us-gaap:USTreasurySecuritiesMemberus-gaap:FairValueInputsLevel2Member2024-12-310001649904us-gaap:USTreasurySecuritiesMemberus-gaap:FairValueInputsLevel3Member2024-12-310001649904us-gaap:USTreasurySecuritiesMember2024-12-310001649904rytm:CorporateDebtSecuritiesAndCommercialPaperMemberus-gaap:FairValueInputsLevel1Member2024-12-310001649904rytm:CorporateDebtSecuritiesAndCommercialPaperMemberus-gaap:FairValueInputsLevel2Member2024-12-310001649904rytm:CorporateDebtSecuritiesAndCommercialPaperMemberus-gaap:FairValueInputsLevel3Member2024-12-310001649904rytm:CorporateDebtSecuritiesAndCommercialPaperMember2024-12-310001649904us-gaap:FairValueInputsLevel1Member2024-12-310001649904us-gaap:FairValueInputsLevel2Member2024-12-310001649904us-gaap:FairValueInputsLevel3Member2024-12-310001649904us-gaap:ForwardContractsMemberrytm:SeriesAConvertiblePreferredStockMember2024-04-150001649904us-gaap:ForwardContractsMemberrytm:SeriesAConvertiblePreferredStockMember2024-04-010001649904us-gaap:ForwardContractsMemberrytm:SeriesAConvertiblePreferredStockMember2024-01-012024-12-310001649904us-gaap:ForwardContractsMemberrytm:SeriesAConvertiblePreferredStockMember2024-04-152024-04-150001649904srt:MinimumMember2024-04-152024-04-150001649904srt:MaximumMember2024-04-152024-04-150001649904us-gaap:EmbeddedDerivativeFinancialInstrumentsMemberus-gaap:FairValueInputsLevel3Member2025-01-012025-12-310001649904us-gaap:EmbeddedDerivativeFinancialInstrumentsMemberus-gaap:FairValueInputsLevel3Member2024-01-012024-12-310001649904rytm:CapitalizedMilestonesMember2025-12-310001649904rytm:CapitalizedMilestonesMember2024-12-310001649904us-gaap:CostOfSalesMember2025-01-012025-12-310001649904us-gaap:CostOfSalesMember2024-01-012024-12-310001649904us-gaap:CostOfSalesMember2023-01-012023-12-310001649904rytm:SeriesAConvertiblePreferredStockMember2025-12-042025-12-040001649904rytm:FollowOnOfferingMember2025-07-090001649904rytm:FollowOnOfferingMember2025-07-092025-07-090001649904us-gaap:OverAllotmentOptionMember2025-07-090001649904rytm:FollowOnOfferingMember2025-07-112025-07-110001649904rytm:FollowOnOfferingMember2025-07-110001649904us-gaap:CommonStockMemberrytm:AtMarketOfferingsMember2024-02-292024-02-290001649904us-gaap:CommonStockMemberrytm:AtMarketOfferingsMember2024-10-012024-12-310001649904us-gaap:CommonStockMemberrytm:AtMarketOfferingsMember2025-01-012025-01-2100016499042022-09-192022-09-1900016499042022-09-190001649904us-gaap:OverAllotmentOptionMember2022-09-192022-09-1900016499042022-10-182022-10-1800016499042022-10-180001649904srt:MaximumMemberrytm:AtMarketOfferingsMember2021-11-022021-11-020001649904us-gaap:CommonStockMemberrytm:AtMarketOfferingsMember2023-08-102023-08-210001649904rytm:StockIncentivePlan2017Member2025-01-012025-12-310001649904rytm:StockIncentivePlan2017Memberus-gaap:SubsequentEventMember2026-01-012026-01-010001649904rytm:StockIncentivePlan2017Member2025-01-012025-01-010001649904rytm:StockIncentivePlan2017Member2024-01-012024-01-010001649904rytm:StockIncentivePlan2017Member2023-01-012023-01-010001649904rytm:StockIncentivePlan2017Memberrytm:ExercisePriceNotLessThan100PercentOfFairMarketValueMember2025-01-012025-12-310001649904rytm:StockIncentivePlan2017Memberrytm:ExercisePriceNotLessThan100PercentOfFairMarketValueMember2025-12-310001649904rytm:StockIncentivePlan2017Memberrytm:ExercisePriceNotLessThan110PercentOfFairMarketValueMember2025-01-012025-12-310001649904rytm:StockIncentivePlan2017Memberrytm:ExercisePriceNotLessThan110PercentOfFairMarketValueMember2025-12-310001649904rytm:StockIncentivePlan2017Member2025-12-310001649904rytm:EmploymentInducementPlan2022Member2022-02-090001649904rytm:EmploymentInducementPlan2022Member2025-01-012025-12-310001649904srt:MaximumMemberrytm:EmploymentInducementPlan2022Member2025-01-012025-12-310001649904rytm:EmploymentInducementPlan2022Member2025-12-310001649904rytm:TwoThousandSeventeenEmployeeStockPurchasePlanMember2025-12-310001649904rytm:TwoThousandSeventeenEmployeeStockPurchasePlanMember2025-01-012025-12-310001649904rytm:TwoThousandSeventeenEmployeeStockPurchasePlanMember2024-01-012024-12-310001649904rytm:TwoThousandSeventeenEmployeeStockPurchasePlanMember2023-01-012023-12-310001649904srt:MinimumMemberus-gaap:EmployeeStockOptionMember2025-01-012025-12-310001649904srt:MaximumMemberus-gaap:EmployeeStockOptionMember2025-01-012025-12-310001649904us-gaap:EmployeeStockOptionMember2025-01-012025-12-310001649904rytm:StockIncentivePlan2017Member2024-01-012024-12-310001649904rytm:StockIncentivePlan2017Member2023-01-012023-12-310001649904rytm:EmploymentInducementPlan2022Member2024-01-012024-12-310001649904rytm:EmploymentInducementPlan2022Member2023-01-012023-12-310001649904us-gaap:RestrictedStockUnitsRSUMember2025-01-012025-12-310001649904us-gaap:RestrictedStockUnitsRSUMember2024-12-310001649904us-gaap:RestrictedStockUnitsRSUMember2025-12-310001649904us-gaap:PerformanceSharesMember2021-11-012021-11-300001649904us-gaap:PerformanceSharesMemberus-gaap:ShareBasedCompensationAwardTrancheOneMember2024-01-012024-12-310001649904rytm:StockIncentivePlan2017Memberus-gaap:PerformanceSharesMember2024-04-012024-04-300001649904us-gaap:PerformanceSharesMember2025-01-012025-12-310001649904us-gaap:PerformanceSharesMemberus-gaap:ShareBasedCompensationAwardTrancheTwoMember2025-01-012025-12-310001649904us-gaap:PerformanceSharesMember2024-12-310001649904us-gaap:PerformanceSharesMember2025-12-310001649904us-gaap:ResearchAndDevelopmentExpenseMember2025-01-012025-12-310001649904us-gaap:ResearchAndDevelopmentExpenseMember2024-01-012024-12-310001649904us-gaap:ResearchAndDevelopmentExpenseMember2023-01-012023-12-310001649904us-gaap:SellingGeneralAndAdministrativeExpensesMember2025-01-012025-12-310001649904us-gaap:SellingGeneralAndAdministrativeExpensesMember2024-01-012024-12-310001649904us-gaap:SellingGeneralAndAdministrativeExpensesMember2023-01-012023-12-310001649904us-gaap:StockCompensationPlanMember2025-01-012025-12-310001649904us-gaap:StockCompensationPlanMember2024-01-012024-12-310001649904us-gaap:StockCompensationPlanMember2023-01-012023-12-310001649904us-gaap:EmployeeStockOptionMember2024-01-012024-12-310001649904us-gaap:EmployeeStockOptionMember2023-01-012023-12-310001649904us-gaap:RestrictedStockUnitsRSUMember2024-01-012024-12-310001649904us-gaap:RestrictedStockUnitsRSUMember2023-01-012023-12-310001649904us-gaap:PerformanceSharesMember2024-01-012024-12-310001649904us-gaap:PerformanceSharesMember2023-01-012023-12-310001649904rytm:StockIncentivePlan2017Memberrytm:EmployeesDirectorsAndNonemployeesMember2025-12-310001649904rytm:StockIncentivePlan2017Memberrytm:EmployeesDirectorsAndNonemployeesMember2025-01-012025-12-310001649904rytm:StockIncentivePlan2017Memberrytm:EmployeeMember2025-12-310001649904rytm:StockIncentivePlan2017Memberrytm:EmployeeMember2025-01-012025-12-310001649904rytm:SeriesAConvertiblePreferredStockMember2024-04-012024-04-010001649904rytm:SeriesAConvertiblePreferredStockMember2024-04-010001649904rytm:SeriesAConvertiblePreferredStockMember2024-04-150001649904rytm:SeriesAConvertiblePreferredStockMember2024-04-152024-04-150001649904rytm:OneHolderOfSeriesConvertiblePreferredStockMemberrytm:SeriesAConvertiblePreferredStockMember2024-04-152024-04-150001649904rytm:SecondHolderOfSeriesConvertiblePreferredStockMemberrytm:SeriesAConvertiblePreferredStockMember2024-04-152024-04-150001649904rytm:SeriesAConvertiblePreferredStockMember2024-05-072024-05-070001649904rytm:SeriesAConvertiblePreferredStockMember2024-05-070001649904rytm:SeriesAConvertiblePreferredStockMember2023-03-022023-03-020001649904rytm:RareStoneGroupLtdMember2021-12-012021-12-310001649904rytm:RareStoneGroupLtdMemberrytm:LicenseAgreementMember2021-12-012021-12-310001649904rytm:RareStoneGroupLtdMemberrytm:LicenseAgreementMember2022-03-310001649904rytm:RareStoneGroupLtdMemberrytm:LicenseAgreementMember2022-06-300001649904rytm:RareStoneGroupLtdMemberrytm:LicenseAgreementMember2022-07-012022-09-300001649904rytm:RareStoneGroupLtdMemberrytm:LicenseAgreementMember2022-04-012022-06-300001649904rytm:RareStoneGroupLtdMemberrytm:LicenseAgreementMember2021-12-310001649904us-gaap:LicenseMemberrytm:LicenseAgreementMemberrytm:RareStoneGroupLtdMember2022-01-012022-12-310001649904rytm:TerminationAgreementMember2025-03-142025-03-1400016499042025-03-1400016499042025-03-130001649904rytm:LicenseAgreementMemberrytm:IpsenPharmaSasMembersrt:MaximumMember2010-02-260001649904rytm:SublicenseAgreementMemberrytm:IpsenPharmaSasMembersrt:MinimumMember2010-02-260001649904rytm:SublicenseAgreementMemberrytm:IpsenPharmaSasMembersrt:MaximumMember2010-02-260001649904rytm:IpsenPharmaSasMemberrytm:LicenseAgreementMember2021-03-310001649904rytm:IpsenPharmaSasMemberrytm:LicenseAgreementMember2022-03-310001649904rytm:IpsenPharmaSasMemberrytm:LicenseAgreementMember2023-01-012023-12-310001649904rytm:IpsenPharmaSasMemberrytm:LicenseAgreementMember2025-01-012025-12-310001649904rytm:IpsenPharmaSasMemberrytm:LicenseAgreementMember2024-01-012024-12-310001649904rytm:CamurusAbMemberrytm:LicenseAgreementMember2016-01-012016-01-310001649904rytm:LicenseAgreementMemberrytm:CamurusAbMembersrt:MaximumMember2016-01-310001649904rytm:CamurusAbMemberrytm:LicenseAgreementMember2022-01-012022-12-310001649904rytm:CamurusAbMemberrytm:LicenseAgreementMember2025-01-012025-12-310001649904rytm:CamurusAbMemberrytm:LicenseAgreementMember2024-01-012024-12-310001649904rytm:RevenueInterestFinancingAgreementMembersrt:MaximumMember2022-06-160001649904rytm:RevenueInterestFinancingAgreementMember2022-06-292022-06-290001649904rytm:RevenueInterestFinancingAgreementMember2022-09-292022-09-290001649904rytm:RevenueInterestFinancingAgreementMember2023-09-122023-09-120001649904rytm:RoyaltyInterestFinancingAgreementMemberrytm:AnnualNetRevenuesUpTo125MillionMember2022-06-162022-06-160001649904rytm:RoyaltyInterestFinancingAgreementMemberrytm:AnnualNetRevenuesBetween125MillionAnd300MillionMember2022-06-162022-06-160001649904rytm:RoyaltyInterestFinancingAgreementMemberrytm:AnnualNetRevenuesBetween125MillionAnd300MillionMembersrt:MinimumMember2022-06-162022-06-160001649904rytm:RoyaltyInterestFinancingAgreementMemberrytm:AnnualNetRevenuesBetween125MillionAnd300MillionMembersrt:MaximumMember2022-06-162022-06-160001649904rytm:RoyaltyInterestFinancingAgreementMemberrytm:AnnualNetRevenuesExceeding300MillionMember2022-06-162022-06-160001649904rytm:RoyaltyInterestFinancingAgreementMemberrytm:CumulativeMinimumPaymentsFundingThresholdDateMarch312027Member2022-06-162022-06-160001649904rytm:RoyaltyInterestFinancingAgreementMemberrytm:CumulativeMinimumPaymentsFundingThresholdDateMarch312029Member2022-06-162022-06-160001649904rytm:RevenueInterestFinancingAgreementMember2025-01-012025-12-310001649904rytm:RoyaltyInterestFinancingAgreementMembersrt:MinimumMember2022-06-162022-06-160001649904rytm:RoyaltyInterestFinancingAgreementMembersrt:MaximumMember2022-06-162022-06-160001649904rytm:RevenueInterestFinancingAgreementMember2022-06-162022-06-160001649904rytm:RevenueInterestFinancingAgreementMember2022-06-300001649904rytm:RevenueInterestFinancingAgreementMember2024-01-012024-12-310001649904rytm:RevenueInterestFinancingAgreementMember2025-12-310001649904rytm:RoyaltyInterestFinancingAgreementMember2025-12-310001649904us-gaap:DomesticCountryMemberus-gaap:ResearchMember2025-12-310001649904us-gaap:StateAndLocalJurisdictionMemberus-gaap:ResearchMember2025-12-310001649904us-gaap:ProductMembercountry:USrytm:SingleReportableSegmentMember2025-01-012025-12-310001649904us-gaap:ProductMembercountry:USrytm:SingleReportableSegmentMember2024-01-012024-12-310001649904us-gaap:ProductMembercountry:USrytm:SingleReportableSegmentMember2023-01-012023-12-310001649904us-gaap:ProductMemberus-gaap:NonUsMemberrytm:SingleReportableSegmentMember2025-01-012025-12-310001649904us-gaap:ProductMemberus-gaap:NonUsMemberrytm:SingleReportableSegmentMember2024-01-012024-12-310001649904us-gaap:ProductMemberus-gaap:NonUsMemberrytm:SingleReportableSegmentMember2023-01-012023-12-310001649904us-gaap:ProductMemberrytm:SingleReportableSegmentMember2025-01-012025-12-310001649904us-gaap:ProductMemberrytm:SingleReportableSegmentMember2024-01-012024-12-310001649904us-gaap:ProductMemberrytm:SingleReportableSegmentMember2023-01-012023-12-310001649904us-gaap:LicenseMemberrytm:SingleReportableSegmentMember2025-01-012025-12-310001649904us-gaap:LicenseMemberrytm:SingleReportableSegmentMember2024-01-012024-12-310001649904us-gaap:LicenseMemberrytm:SingleReportableSegmentMember2023-01-012023-12-310001649904rytm:SingleReportableSegmentMember2025-01-012025-12-310001649904rytm:SingleReportableSegmentMember2024-01-012024-12-310001649904rytm:SingleReportableSegmentMember2023-01-012023-12-310001649904us-gaap:ProductMembercountry:US2025-01-012025-12-310001649904us-gaap:ProductMembercountry:US2024-01-012024-12-310001649904us-gaap:ProductMembercountry:US2023-01-012023-12-310001649904us-gaap:ProductMemberus-gaap:NonUsMember2025-01-012025-12-310001649904us-gaap:ProductMemberus-gaap:NonUsMember2024-01-012024-12-310001649904us-gaap:ProductMemberus-gaap:NonUsMember2023-01-012023-12-310001649904rytm:SeriesAConvertiblePreferredStockMemberus-gaap:SubsequentEventMember2026-01-262026-01-260001649904us-gaap:SubsequentEventMember2026-01-260001649904us-gaap:SubsequentEventMember2026-01-262026-01-26
UNITED STATES
SECURITIES AND EXCHANGE COMMISSION
Washington, D.C. 20549
_______________________________________________________________
FORM 10-K
_______________________________________________________________
ANNUAL REPORT PURSUANT TO SECTION 13 OR 15(d) OF THE SECURITIES EXCHANGE ACT OF 1934
For the fiscal year ended December 31, 2025
OR
TRANSITION REPORT PURSUANT TO SECTION 13 OR 15(d) OF THE SECURITIES EXCHANGE ACT OF 1934
For the transition period from           to
           Commission file number 001-38223
_______________________________________________________________
RHYTHM PHARMACEUTICALS, INC.
(Exact Name of Registrant as Specified in its Charter)
_______________________________________________________________
Delaware
46-2159271
(State or Other Jurisdiction of(I.R.S. Employer
Incorporation or Organization)Identification No.)
222 Berkeley Street
12th Floor
Boston, MA 02116
(Address of Principal Executive Offices)
(Zip Code)
(857) 264-4280
(Registrant’s telephone number, including area code)
N/A
(Former name, former address and former fiscal year, if changed since last report)
Securities registered pursuant to Section 12(b) of the Act:
Title of each classTrading Symbol(s)Name of each exchange on which registered
Common Stock, $0.001 par value per shareRYTM
The Nasdaq Stock Market LLC (Nasdaq Global Market)
Securities registered pursuant to Section 12(g) of the Act: None
_______________________________________________________________
Indicate by check mark if the registrant is a well-known seasoned issuer, as defined in Rule 405 of the Securities Act. Yes No
Indicate by check mark if the registrant is not required to file reports pursuant to Section 13 or Section 15(d) of the Act. Yes No
Indicate by check mark whether the registrant (1) has filed all reports required to be filed by Section 13 or 15 (d) of the Securities Exchange Act of 1934 during the preceding 12 months (or for such shorter period that the registrant was required to file such reports), and (2) has been subject to such filing requirements for the past 90 days. Yes No
Indicate by check mark whether the registrant has submitted electronically every Interactive Data File required to be submitted pursuant to Rule 405 of Regulation S-T (§ 232.405 of this chapter) during the preceding 12 months (or for such shorter period that the registrant was required to submit such files). Yes No
Indicate by check mark whether the registrant is a large accelerated filer, an accelerated filer, a non-accelerated filer, a smaller reporting company, or an emerging growth company. See the definitions of “large accelerated filer,” “accelerated filer,” “smaller reporting company,” and “emerging growth company” in Rule 12b-2 of the Exchange Act.
Large accelerated filerAccelerated filer
Non-accelerated filerSmaller reporting company
Emerging growth company
If an emerging growth company, indicate by check mark if the registrant has elected not to use the extended transition period for complying with any new or revised financial accounting standards provided pursuant to Section 13(a) of the Exchange Act.
Indicate by check mark whether the registrant has filed a report on and attestation to its management’s assessment of the effectiveness of its internal control over financial reporting under Section 404(b) of the Sarbanes-Oxley Act (15 U.S.C. 7262(b)) by the registered public accounting firm that prepared or issued its audit report.
If securities are registered pursuant to Section 12(b) of the Act, indicate by check mark whether the financial statements of the registrant included in the filing reflect the correction of an error to previously issued financial statements.
Indicate by check mark whether any of those error corrections are restatements that required a recovery analysis of incentive-based compensation received by any of the registrant’s executive officers during the relevant recovery period pursuant to § 240.10D-1(b).
Indicate by check mark whether the registrant is a shell company (as defined in Rule 12b-2 of the Act). Yes No .
The aggregate market value of the voting and non-voting common equity held by non-affiliates of the registrant was approximately $3.8 billion, based on the closing price of the registrant’s Common Stock on June 30, 2025, the last business day of the registrant’s most recently completed second fiscal quarter. Solely for purposes of this disclosure, Common Stock held by executive officers, directors and certain stockholders of the registrant as of such date have been excluded because such holders may be deemed to be affiliates. There were 68,285,039 shares of the registrant's Common Stock outstanding as of February 24, 2026.
DOCUMENTS INCORPORATED BY REFERENCE
The registrant intends to file a definitive proxy statement for the registrant's 2026 Annual Meeting of Stockholders within 120 days of the end of the fiscal year ended December 31, 2025. Portions of such definitive proxy statement are incorporated by reference into Part III of this Annual Report on Form 10-K.


RHYTHM PHARMACEUTICALS, INC.
ANNUAL REPORT ON FORM 10-K
For the Year Ended December 31, 2025
Table of Contents
Page No.
2

CAUTIONARY NOTE REGARDING FORWARD-LOOKING STATEMENTS
This Annual Report on Form 10-K, or this Annual Report, contains forward-looking statements within the meaning of Section 27A of the Securities Act of 1933, as amended, or the Securities Act, and Section 21E of the Securities Exchange Act of 1934, as amended, or the Exchange Act, and is subject to the “safe harbor” created by those sections. Any statements about our expectations, beliefs, plans, objectives, assumptions or future events or performance are not historical facts and may be forward-looking. Some of the forward-looking statements can be identified by the use of forward-looking terms such as “anticipates,” “believes,” “could,” “estimates,” “expects,” “intends,” “may,” “might,” “likely,” “plans,” “potential,” “predicts,” “projects,” “seeks,” “should,” “target,” “will,” “would,” or similar expressions and the negatives of those terms include forward-looking statements that involve risks and uncertainties. Forward-looking statements include, but are not limited to, statements regarding the promise or potential of any of our products or product candidates; the marketing, commercialization and sales of IMCIVREE (setmelanotide), bivamelagon (formerly LB54640), and RM-718; commercialization, design, success, cost and timing of our product development activities and clinical trials; the ongoing enrollment of patients in our clinical trials; our expectations surrounding potential regulatory submissions, progress, or approvals for any of our product candidates in any indications; PDUFA goal dates and Type II variation submissions; the estimated market size and addressable population for our drug products; the announcement of data from our clinical trials, including the Japanese patient cohort and the substudy evaluating setmelanotide for patients with congenital hypothalamic obesity; our Phase 3 EMANATE trial evaluating setmelanotide in genetically caused MC4R pathway diseases; Parts C and D of the Phase 1 trial evaluating RM-718; the ongoing open-label Phase 2 trial evaluating setmelanotide in patients with Prader-Willi syndrome; our financial performance, including our expectations regarding our existing cash, cash equivalents, short-term investments, operating losses, expenses, sources of future financing and sufficiency of cash; our ability to hire and retain necessary personnel, including in international regions; patient enrollments; announcements regarding results of clinical trials and filing of regulatory applications; our ability to protect our intellectual property; our ability to negotiate our collaboration agreements, if needed; our relationship with third parties; our marketing, commercial sales, and revenue generation; expectations surrounding our manufacturing arrangements; the potential financial impact, growth prospects and future benefits of our ongoing discovery efforts with respect to congenital hyperinsulinism; the impact of economic conditions on our business and operations and our future financial results; changes in the political and regulatory landscape; the impact of accounting pronouncements and the timing of any of the foregoing. We have based these forward-looking statements largely on our current expectations and projections about future events and financial trends that we believe may affect our business, financial condition and results of operations. We cannot guarantee future results, levels of activity, performance or achievements, and you should not place undue reliance on our forward-looking statements. Our actual results may differ significantly or materially from the results discussed in the forward-looking statements. Important factors that might cause such a difference include, but are not limited to, those set forth in Item 1A. “Risk Factors” and elsewhere in this Annual Report. Moreover, we operate in an evolving environment. New risk factors and uncertainties may emerge from time to time, and it is not possible for management to predict all risk factors and uncertainties. Except as may be required by law, we have no plans to update our forward-looking statements to reflect events or circumstances after the date of this Annual Report. We caution readers not to place undue reliance upon any such forward-looking statements, which speak only as of the date made. Additionally, certain information we may disclose (either herein or elsewhere) is informed by the expectations of various stakeholders or third-party frameworks and, as such, may not necessarily be material for purposes of our filings under U.S. federal securities laws, even if we use “material” or similar language in discussing such matters.
Unless the content requires otherwise, references to “Rhythm Pharmaceuticals,” “Rhythm,” “the Company,” “we,” “our,” and “us,” in this Annual Report refer to Rhythm Pharmaceuticals, Inc. and its subsidiaries.
TRADEMARKS, TRADENAMES AND SERVICE MARKS
This Annual Report may include trademarks, tradenames and service marks that are the property of other organizations. Solely for convenience, trademarks and tradenames referred to in this Annual Report may appear without the ® and ™ symbols, but those references are not intended to indicate, in any way, that we will not assert, to the fullest extent under applicable law, our rights or that the applicable owner will not assert its rights, to these trademarks and tradenames.
SUMMARY RISK FACTORS
Our business is subject to numerous risks and uncertainties, including those described in Part I, Item 1A. “Risk Factors” in this Annual Report. You should carefully consider these risks and uncertainties when investing in our common stock. The principal risks and uncertainties affecting our business include the following:
We are a commercial-stage biopharmaceutical company with a limited operating history. To date, we have generated approximately $422.5 million from product sales. We have incurred significant operating losses
3

since our inception, anticipate that we will incur continued losses for the foreseeable future and may never achieve profitability.
We will need to raise additional funding, which may not be available on acceptable terms, or at all. Failure to obtain this necessary capital when needed may force us to delay, limit or terminate our product development efforts or other operations.
Our Revenue Interest Financing Agreement with Healthcare Royalty Partners, our license agreement with LGC, and our other agreements, could restrict our ability to commercialize IMCIVREE, limit cash flow available for our operations and expose us to risks that could adversely affect our business, financial condition and results of operations.
We have only one approved product, which is still in clinical development in additional indications, and we may not be successful in any future efforts to identify and develop additional product candidates.
The successful commercialization of IMCIVREE and any other product candidates will depend in part on the extent to which governmental authorities, private health insurers, and other third-party payors provide coverage and adequate reimbursement. Failure to obtain or maintain coverage and adequate reimbursement for setmelanotide or our other product candidates, if any and if approved, could severely limit our ability to market those products and decrease our ability to generate revenue.
Positive results from early clinical trials of setmelanotide may not be predictive of the results of later clinical trials of setmelanotide and preliminary data may not be predictive of final results. If we cannot generate positive results in our later clinical trials of setmelanotide, we may be unable to successfully develop, obtain regulatory approval for and commercialize additional indications for setmelanotide.
The number of patients with each of the MC4R pathway deficiencies is very small and has not been established with precision. If the actual number of patients with any of these conditions is smaller than we had estimated, our revenue and ability to achieve profitability will be materially adversely affected. Moreover, our ability to recruit patients to our trials may be materially adversely affected. Patient enrollment may also be adversely affected by competition and other factors.
Failures or delays in the commencement or completion of our planned clinical trials of setmelanotide could result in increased costs to us and could delay, prevent or limit our ability to generate revenue and continue our business.
Changes in regulatory requirements and, guidance in the United States or abroad, or unanticipated events during our clinical trials of setmelanotide may occur, which may result in changes to clinical trial protocols or additional clinical trial requirements, which could result in increased costs to us and could delay our development timeline. Additionally, it may be necessary to validate different or additional instruments for measuring subjective symptoms, and to show that setmelanotide has a clinically meaningful impact on specified endpoints in order to obtain regulatory approval.
Even if we complete the necessary clinical trials, the regulatory and marketing approval process is expensive, time consuming and uncertain and may prevent us from obtaining additional approvals for the commercialization of setmelanotide. We depend entirely on the success of setmelanotide, and we cannot be certain that we will be able to obtain additional regulatory approvals for, or successfully commercialize, setmelanotide. If we are not able to obtain, or if there are delays in obtaining, required additional regulatory approvals, we will not be able to commercialize setmelanotide in additional indications in the United States or in foreign jurisdictions, and our ability to generate revenue will be materially impaired.
Our approach to treating patients with MC4R pathway deficiencies requires the identification of patients with unique genetic subtypes, for example, POMC genetic deficiency. The FDA or other equivalent competent authorities in foreign jurisdictions could require the clearance, approval or CE marking of an in vitro companion diagnostic device to ensure appropriate selection of patients as a condition of approving setmelanotide in additional indications. The requirement that we obtain clearance, approval or CE marking of an in vitro companion diagnostic device would require substantial financial resources, and could delay or
4

prevent the receipt of additional regulatory approvals for setmelanotide, or adversely affect those we have already obtained.
Our product candidates may cause undesirable side effects that could delay or prevent their regulatory approval, limit the commercial profile of an approved labeling or result in significant negative consequences following marketing approval, if any.
Our CHI program remains in the discovery stage and although we intend to identify an investigational candidate in 2026, we cannot be assured that we will ever successfully develop and commercialize a CHI product candidate.
If the third parties we rely on, and will continue to rely on, do not successfully carry out their contractual obligations or meet expected timelines, we may not be able to obtain additional regulatory approvals for, manufacture, distribute or continue to commercialize setmelanotide and our business could be materially adversely affected.
Our industry is intensely competitive. If we are not able to compete effectively against current and future competitors, we may not be able to generate sufficient revenue from the sale of IMCIVREE, our business will not grow and our financial condition and operations will suffer.
If we are unable to adequately protect our proprietary technology or maintain issued patents that are sufficient to protect setmelanotide or our other product candidates, others could compete against us more directly, which would have a material adverse impact on our business, results of operations, financial condition and prospects.
Global events, such as pandemics, economic, political and regulatory changes and uncertainties, have and may continue to adversely impact our business, including our preclinical studies, clinical trials and other commercialization prospects.
5

PART I
Item 1. Business
Overview
We are a global, commercial-stage biopharmaceutical company dedicated to transforming the lives of patients living with rare neuroendocrine diseases. We are focused on advancing melanocortin-4 receptor (MC4R) agonists, including our lead asset, IMCIVREE® (setmelanotide), as precision medicines designed to treat hyperphagia and severe obesity caused by rare MC4R pathway diseases. While obesity affects hundreds of millions of people worldwide, we are developing therapies for a subset of individuals who have hyperphagia, a pathological, insatiable hunger and impaired satiety accompanied by persistent and abnormal food-seeking behaviors, decreased energy expenditure and severe obesity due to diseases such as acquired or congenital hypothalamic obesity, Bardet-Biedl syndrome (BBS), Prader-Willi syndrome (PWS) and other diseases caused by impaired MC4R pathway signaling. The MC4R pathway is a neuro-endocrine pathway in the brain that is responsible for regulating hunger, caloric intake and energy expenditure, which consequently affect body weight. IMCIVREE, our most advanced MC4R agonist for which we hold worldwide rights, is the first-ever therapy that is marketed in the United States, European Union (EU), United Kingdom, Canada and several other countries and regions for certain rare MC4R pathway diseases, including BBS. We also are developing two earlier-stage investigational MC4R agonists, bivamelagon (formerly LB54640), an oral small molecule, and RM-718, designed for weekly subcutaneous administration. These investigational assets, for which we possess global rights, are specifically designed to exhibit high selectivity for MC4R while functionally sparing MC1R. As a result, they are not expected to induce hyperpigmentation.
In 2026, pending regulatory approval, we anticipate launching IMCIVREE in the United States as the first and only therapy specifically to treat patients living with acquired hypothalamic obesity. This represents a meaningful, near-term expansion opportunity. Acquired hypothalamic obesity is a rare disease characterized by accelerated and sustained weight gain caused by injury to the hypothalamus, which may impair MC4R pathway signaling. We believe there are approximately 10,000 patients in United States living with acquired hypothalamic obesity with an annual incidence of 500 new cases, with similar prevalence and incidence in Europe, as well as between 5,000 and 8,000 patients in Japan. We believe this represents a significant global unmet need as there are no therapies specifically approved for hypothalamic obesity. We are seeking regulatory approval in the United States and the European Union based on statistically significant and clinically meaningful placebo-adjusted BMI reduction of 19.8% achieved in our 120-patient, Phase 3 trial. In addition, we added an independent substudy to our ongoing global trial, in order to evaluate setmelanotide in patients with congenital hypothalamic obesity, a constellation of rare diseases caused by certain brain abnormalities that may impair the function of the MC4R pathway, with enrollment of the first patients in this substudy expected to be complete in the second half of 2026. Our preliminary estimate of the prevalence of congenital hypothalamic obesity is in excess of 1,000 patients in the United States with a similar prevalence in Europe, and this is in addition to the prevalence for acquired hypothalamic obesity. Also, we plan to initiate a Phase 3 registrational trial to evaluate bivamelagon in patients with hypothalamic obesity by year-end 2026, and we are evaluating RM-718 in an ongoing Phase 1/2 trial, also in acquired hypothalamic obesity. On February 26, 2026 we announced we completed a positive end-of-Phase-2 meeting with FDA regarding bivamelagon in acquired HO and disclosed open-label extension data from our Phase 2 trial that showed bivamelagon achieved persistent BMI reductions at six and nine months of therapy.
For IMCIVREE, which was first approved in the United States in 2020, we have demonstrated success in achieving regulatory approvals and/or securing market access or named patient sales in more than 25 countries in addition to the United States, and we continue to seek access in additional markets. IMCIVREE is approved by the U.S. Food and Drug Administration (FDA) to reduce excess body weight and maintain weight reduction long term in adult and pediatric patients aged 2 years and older with syndromic or monogenic obesity due to BBS or pro-opiomelanocortin (POMC), proprotein convertase subtilisin/kexin type 1 (PCSK1), or leptin receptor (LEPR) deficiency as determined by an FDA-approved test demonstrating variants in POMC, PCSK1, or LEPR genes that are interpreted as pathogenic, likely pathogenic, or of uncertain significance (VUS). The European Commission (EC) and the United Kingdom’s Medicines & Healthcare Products Regulatory Agency (MHRA) have authorized IMCIVREE for the treatment of obesity and the control of hunger associated with genetically confirmed BBS or loss-of-function biallelic POMC, including PCSK1, deficiency or biallelic LEPR deficiency in adults and children 2 years of age and above. Reviews of our regulatory submissions seeking approval and marketing authorization for setmelanotide as a treatment for acquired hypothalamic obesity are ongoing in the United States and Europe, with an FDA-assigned Prescription Drug User Fee Act (PDUFA) goal date of March 20, 2026. We anticipate disclosing topline data from a 12-patient Japanese cohort of our Phase 3 trial evaluating setmelanotide for acquired hypothalamic obesity in March 2026, and pending positive data, completing a new drug application submission in Japan. Regulatory decisions in Europe and Japan are anticipated later in 2026 or 2027.
6

Following our disclosure in December 2025 of positive preliminary data from our ongoing, exploratory, open-label Phase 2 trial with setmelanotide in patients with PWS, we believe there is potential for an MC4R agonist to be a future treatment option for patients with PWS, a rare genetic disorder that results in a number of physical, mental and behavioral problems. A key feature of PWS is a constant sense of hunger that usually begins in early childhood. PWS is estimated to affect approximately 400,000 people worldwide and approximately 20,000 people in the United States. There are currently limited therapeutic options that effectively reduce the extreme hyperphagia and address low resting energy expenditure associated with PWS. Following the disclosure of these positive preliminary results in December 2025, we announced plans to further develop setmelanotide and RM-718 for PWS.
We are advancing what we believe is the most comprehensive clinical research and development program ever initiated in MC4R pathway diseases, with setmelanotide, bivamelagon and RM-718 in multiple ongoing and planned clinical trials. Our MC4R pathway program is designed to expand the total number of patients who we believe could benefit from setmelanotide therapy or from one of our new drug candidates. Our Phase 3 EMANATE trial, comprised of four independent substudies evaluating setmelanotide in genetically caused MC4R pathway diseases, is ongoing with topline data expected in March 2026. Following the completion of our Phase 2 DAYBREAK trial, we identified six genetically-defined cohorts that we believe merit further investigation for potential setmelanotide efficacy.
We are leveraging what we believe is the largest known DNA database focused on obesity—with approximately 120,000 sequencing samples as of December 31, 2025—to improve the understanding, diagnosis and care of people living with severe obesity due to certain variants in genes associated with the MC4R pathway. Our sequencing-based epidemiology estimates show that each of these genetically-defined MC4R pathway deficiencies we are focused on are considered rare diseases, according to established definitions based on patient populations. Our epidemiology estimates are approximately 4,600 to 7,500 for U.S. patients in initial FDA-approved indications, including obesity due to BBS and biallelic POMC, PCSK1 or LEPR deficiencies. Our epidemiology estimates for the SH2B1 insufficiency and heterozygous POMC/PCSK1 insufficiency being studied in our Phase 3 EMANATE trial suggest that approximately 29,000 U.S. patients with one of these genetically driven obesities have the potential to respond well to setmelanotide. Similarly, our epidemiology estimates for patients with genetic indications who demonstrated an initial response in our Phase 2 DAYBREAK trial is approximately 65,300. All these patients face similar challenges to other patients with rare diseases, namely lack of awareness, resources, tests, tools and especially therapeutic options.
We are working to expand access to IMCIVREE globally. Our disease awareness and patient finding efforts are aligned with a singular focus on building a community of caregivers and healthcare providers focused on transforming the treatment of these diseases. We have multiple field teams in the United States and Europe engaging with physicians who treat patients with severe obesity, and we have a team in Japan preparing for the potential registration and launch of setmelanotide for acquired hypothalamic obesity. We continue to bring together health care providers, patients and families with educational and awareness events. Our genetic testing programs fuel MC4R pathway research, disease education, awareness, and patient finding.
As of February 1, 2026, we had 414 employees, including 126 employees in 11 countries outside of North America and with an ever-expanding network of key opinion leaders, and an increasing number of identified, diagnosed and treated patients, we are focused on changing the paradigm for the treatment of rare MC4R pathway diseases. Rhythm is executing a strategy to build a durable, global biopharmaceutical company focused on transforming the lives of patients with rare neuroendocrine diseases by rapidly advancing care and precision medicines that address the root cause. We have established a strong global foundation with IMCIVREE (setmelanotide), which has achieved regulatory approvals and marketing authorization, reimbursed access or named patient sales in more than 25 countries, including the United States, the European Union and the United Kingdom. With RM-718 and bivamelagon in addition to setmelanotide, we are advancing what we believe is the most comprehensive portfolio of MC4R agonists. Leveraging our expertise, we plan to maximize the value of our MC4R agonists by aligning our clinical development, commercial and life-cycle management strategies around three key disease areas where patients are currently underserved:
1.    Hypothalamic dysfunction
We are preparing for global commercialization of setmelanotide for the treatment of patients with acquired hypothalamic obesity beginning in 2026, if approved, in the United States, Europe, Japan and more regions and countries. In parallel, we expect to initiate a registrational Phase 3 program for bivamelagon, our oral MC4R agonist, by year-end 2026, and continue to evaluate RM‑718, our weekly MC4R agonist, in an ongoing Phase 1/2 trial in patients with hypothalamic obesity. We also are evaluating setmelanotide in congenital hypothalamic obesity.
7

2.    Prader-Willi syndrome (PWS)
With encouraging preliminary results from the ongoing exploratory Phase 2 PWS trial of setmelanotide, we believe MC4R agonism has the potential to address the profound hyperphagia and severe obesity associated with PWS. We also are advancing RM‑718 in an ongoing Phase 1/2 trial in PWS. There remains a significant unmet need to treat hyperphagia, diminished energy expenditure and obesity associated with PWS.
3.    Rare genetic MC4R pathway diseases
We are leveraging our global leadership in MC4R pathway genetics to deepen our knowledge of the genetics underlying these rare diseases and the number of patients who may benefit from MC4R agonism. EMANATE, our pivotal Phase 3 program comprised of four independent substudies across genetically defined MC4R‑pathway diseases, is expected to deliver topline results from each substudy in March 2026. We believe, these results, if positive, could have the potential to support regulatory approval for setmelanotide in up to four additional indications. We also expect EMANATE results, in combination with results from our completed DAYBREAK trial, to advance our understanding of which genetic variants are associated with loss of function and to inform on our approach to future clinical development. We are evaluating our next‑generation MC4R agonists, including bivamelagon and RM‑718, for further development in these populations. While each genetic MC4R pathway disease may be ultra-rare, when combined this set of diseases represents a meaningful expansion opportunity for setmelanotide and/or our next-generation assets.
In addition to our commercial and clinical priorities, we are advancing pre‑clinical research and exploring new potential indications and potential therapeutic benefits of MC4R agonism. We are advancing new product candidates for congenital hyperinsulinism (CHI), a rare genetic disease. Together, these efforts support our long‑term objective: to develop a scientifically differentiated, globally scaled company capable of delivering first‑in‑class or best‑in‑class MC4R‑mediated therapeutics to patients with rare neuroendocrine diseases across multiple geographies and therapeutic categories.
Market Overview
Severe Obesity, Hyperphagia, and the MC4R Pathway
Rare MC4R pathway diseases are distinct from general obesity. The hallmark characteristics of rare MC4R pathway diseases are severe obesity and hyperphagia, a pathological and insatiable hunger that drives a severe preoccupation with food and extreme food-seeking behaviors. Lifestyle interventions are not effective in patients with these diseases because they fail to address the underlying genetic or acquired impairment of central energy regulation and satiety. Accordingly, the discovery that the MC4R pathway regulates both energy intake (hunger) and energy expenditure has made it an important target for therapeutics. Studies have shown that injuries to the hypothalamus region of the brain in patients with certain tumors impair MC4R signaling, leading to increased hunger, reduced energy expenditure and accelerated and sustained weight gain. With a deeper understanding of this critical signaling pathway, we are taking a different approach to drug development by focusing on specific genetic variants and acquired injury affecting the MC4R pathway. We believe that this approach has the potential to provide clinically meaningful improvements in the treatment of rare obesity and hyperphagia by addressing lost function in the MC4R pathway.
Rare MC4R Pathway Diseases
The MC4R pathway has been the focus of extensive scientific investigation for many years. This neuro-endocrine pathway in the hypothalamus is a key signaling pathway responsible for regulating hunger, caloric intake, and energy expenditure, which consequently affects body weight. It is known to be a critical component in the regulation of energy balance. The critical role of the MC4R pathway in weight regulation is supported by the observation that single gene variants at various points in this pathway may result in early-onset, severe obesity.
The MC4R pathway, through its regulation of energy intake and energy expenditure, is the key physiological determinant of body weight. Genetic variants or anatomical injury or insults may lead to MC4R pathway impairment and result in severe obesity, hyperphagia (an extreme and unrelenting hunger) and reduced energy expenditure. Such MC4R pathway diseases include POMC, PCSK1, LEPR genetic deficiencies, Bardet-Biedl syndrome, Prader-Willi syndrome, acquired and congenital hypothalamic obesity. Additionally, variants of several genes may be associated with MC4R pathway disease, including SH2B1 and SRC1/NCOA1.
8

The MC4R pathway is illustrated in the figure below. Under normal conditions, POMC neurons are activated by adiposity and satiety signals, including the hormone leptin acting through the LEPR. POMC neurons produce a protein, which is processed by the PCSK1 enzyme, into melanocyte stimulating hormone, or MSH, the natural agonist, or activator of the MC4R. When upstream genetic variants, traumatic injuries or lesions disrupt this pathway, it can lead to insufficient MC4R activation and downstream signaling, the result of which can be hyperphagia, reduced energy expenditure and severe obesity.
The figure below also illustrates some of the genes that are upstream of the MC4R and the potential effect variants in those genes can have on the activation of the MC4R, which regulates food intake and energy expenditure.
MC4R Agonism Development Targets: Upstream Deficiencies Affecting the MC4R Pathway
image (2) (002).jpg
AgRP, agouti-related protein; LEPR, leptin receptor; MC4R, melanocortin-4 receptor; MSH, melanocyte-stimulating hormone; ACTH, adrenocorticotropic hormone; PCSK1, proprotein convertase subtilisin/kexin-type 1; POMC, proopiomelanocortin. Reference: Yazdi FT et al. PeerJ. 2015;3:e856.
We are focused on developing our MC4R agonists, including our lead asset setmelanotide, as precision treatments for certain rare MC4R pathway diseases. In addition to acquired hypothalamic obesity, congenital hypothalamic obesity and PWS, we are evaluating setmelanotide for the treatment of obesity due to variants in a number of genes associated with the MC4R pathway. Setmelanotide has the potential to restore lost function in this pathway by activating the intact MC4R-expressing neuron downstream of the genetic impairment. In this way, we believe setmelanotide may act as restorative therapy, to restore lost signaling of the MC4R pathway.
Epidemiology Estimates of Rare MC4R Pathway Diseases
While obesity is a global epidemic, we are focused on rare MC4R pathway diseases. Impairment of the MC4R pathway is characterized by hyperphagia and rapid-onset obesity or the presence of early-onset, severe obesity. Of the tens of millions of individuals with obesity in the United States, the U.S. Center for Disease Control (CDC) estimates that there are approximately 5 million individuals whose severe obesity had onset between the ages of 2 and 5 years old. The tables below summarize the estimated prevalence for indications currently approved or under clinical investigation. These calculations rely on internal and proprietary sequencing data and current estimated responder rates to setmelanotide therapy, and they assume a U.S. population of 327 million, of which 1.7% have early-onset, severe obesity (Hales et al in JAMA – April 2018: Trends in Obesity and Severe Obesity Prevalence in US Youth and Adults by Sex and Age, 2007-2008 to 2015-2016).
Approved by the U.S. FDA and authorized by the EC and United Kingdom’s MHRAa
9

Estimated U.S. prevalence
Estimated European prevalence
Bardet-Biedl syndrome
4,000 – 5,000b
4,000 – 5,000b
Obesity due to POMC or LEPR deficiency caused by biallelic variants in the POMC, PCSK1 or LEPR gene
~600 – 2,500
Similar prevalence as U.S.c
a.Authorized by the EC and MHRA for use in patients 2 years of age and older. Approved by the FDA for use in patients 2 years of age and older with monogenic or syndromic obesity.
b.For BBS, prevalence estimates vary between populations, from 1 in 100,000 in northern European populations with higher prevalence rates in some additional regions throughout the world. We estimate the number of patients with BBS in the United States is between 4,000 and 5,000, with a similar number in continental Europe and the United Kingdom (UK). These estimates are based on our patient identification efforts in the United States and Europe and our proprietary genetic sequencing data, as well as our belief that BBS, like most rare diseases, is underdiagnosed. We believe the BBS health care provider network in EU member states and the UK is particularly well-established and more advanced than in the United States, and based on field work, we believe there are approximately 1,500 patients diagnosed and being cared for at academic centers in Europe. Applying these population-adjusted identified patient populations to the United States and other countries with comparable population genetics supports our epidemiology estimates.
c.For POMC or LEPR deficiencies, we estimate European prevalence is similar to the United States. While our sequencing data include patients from the United States and Europe, at the time, we did not have a comparable number of sequencing samples from European countries, and these estimates are therefore based on applying relative population percentages to the Rhythm-derived estimates described above.
Separately, in Canada, where IMCIVREE is approved for weight management in adult and pediatric patients 6 years of age and older with obesity due to BBS or biallelic POMC, PSCK1 or LEPR deficiency, we estimated at the time of our filing for approval with Health Canada that there are approximately 300 – 400 individuals with BBS. This was based on data on file, a range of prevalence estimates for BBS in Canada between 1 in 125,000 to 1 in 160,000, and a population in Canada of 38,929,902 as of July 1, 2022, according to StatsCan. Also, our prevalence estimate accounted for a reported founder effect in the province of Newfoundland, where estimated prevalence is approximately 1 in 17,500 (Forsythe E, Beales PL. Eur J Hum Genet. 2013;21(1):8-13). The prevalence of POMC, PCSK1, and LEPR deficiency obesity in Canada is not well characterized as very little data are available.
Setmelanotide currently being evaluated in Phase 3 trials
Estimated U.S. population
Estimated European population
Acquired hypothalamic obesity
~10,000d
~10,000e
Congenital hypothalamic obesity
>1,000f
>1,000f
Obesity due to POMC insufficiency caused by heterozygous variants in the POMC or PCSK1 genes
6,000g
Similar prevalence as U.S. g
Obesity due to LEPR insufficiency caused by heterozygous variants in the LEPR gene
4,000 g
Similar prevalence as U.S. g
Obesity due to SRC1 deficiency caused by a variant in the NCOA1 gene (SRC1 deficiency obesity)
~20,000 g
Similar prevalence as U.S. g
Obesity due to SH2B1 deficiency caused by a variant in the SH2B1 gene or 16p11.2 deletion encompassing the SH2B1 gene (SH2B1 deficiency obesity)
~23,000 g
Similar prevalence as U.S. g
Setmelanotide currently being evaluated in Phase 2 trial
10

Prader-Willi syndrome
~20,000
~400,000 world wide
Obesity due a deficiency in the MC4R pathway caused by variants in the SEMA3 family, PHIP, TBX3 or PLXNA family
~65,300g,h
Similar prevalence as U.S.f
d.For acquired hypothalamic obesity in the United States, our internal Company estimates are based on reported incidence of hypothalamic obesity following craniopharyngioma and long-term survival rates, (Zacharia, et al., Neuro-Oncology 14(8):1070–1078, 2012. doi:10.1093/neuonc/nos142; and Muller, et al., Neuro-Oncology 17(7), 1029–1038, 2015 doi:10.1093/neuonc/nov044.)
e.Our European prevalence estimate for acquired hypothalamic obesity is limited to the EU4 (Germany, France, Spain, Italy), UK and the Netherlands. The total 2020 population estimates for the six key countries (EU4, the Netherlands, and UK) of 339,295,304 was used to reach a final prevalence of 0.1-0.3 in 10,000 patients. In addition, we estimate the prevalence of acquired hypothalamic obesity in Japan to be approximately 5,000 to 8,000 based on our review of tumor registries and claims data.
f.Epidemiology of congenital hypothalamic obesity is expected to be comparable between the United States and EU4 (Germany, France, Spain, Italy), United Kingdom and the Netherlands combined in the absence of specific regional data. Our internal Company estimate is driven mainly by septo-optic dysplasia (Garne, et al., European Journal of Medical Genetics 61(9):483–488, 2018. doi: 10.1016/j.ejmg.2018.05.010; and Cerbone, et al., EClinicalMedicine 19, 2020. doi: 10.1016/j.eclinm.2019.11.017.)
g.For patients with genetic variants of the MC4R pathway, the rarity and the genetic pathophysiology of our target indications means that there is no comprehensive patient registry or other method of establishing with precision the actual number of patients. As a result, we have had to rely on other available sources to derive clinical prevalence estimates for these monogenic indications. For the four rare MC4R pathway diseases we are studying on the Phase 3 EMANATE trial (POMC insufficiency, LEPR insufficiency, SRC1 deficiency and SH2B1 deficiency), we believe that the patient populations in continental Europe and UK are at least as large as those in the United States. While our sequencing data include patients from the United States and Europe, we do not have comparable sequencing data from European countries and these estimates are therefore based on applying relative population percentages to the Rhythm-derived estimates described above. Because the published epidemiology studies for these genetic deficiencies are based on relatively small population samples, and are not amenable to robust statistical analyses, it is possible that these projections may significantly under- or overestimate the addressable population. While our projected estimates of the aggregate total addressable population continue to expand with the addition of new genes, the addressable population faces the challenges of a rare disease population. As announced on December 6, 2023, during our ‘Update on MC4R Pathway Programs’ event for investors and analysts. U.S. prevalence estimates based on results from our URO genetic testing program with samples from more than 36,000 participants, classification of variants for pathogenic, likely pathogenic and 20% of VUS and applied to established estimate of approximately 5 million people in the United States with early-onset obesity; 1. van der Klaauw et al. Cell. 2019;176:729-742.e18. 2. Marenne et al. Cell Metab. 2020;31:1107-1119.e12. 3. Bamshad et al. Am J Hum Genet.1999;64:1550-1562. 4. Ackinci et al. J Clin Res Pediatr Endocrinol. 2019;11:341-349..i. Driscoll DJ, Miller JL, Cassidy SB. Prader-Willi Syndrome. In: Adam MP, Bick S, Mirzaa GM, et al, eds. GeneReviews®. 1998:1-41. Updated December 5, 2024. Accessed December 10, 2025. https://www.ncbi.nlm.nih.gov/books/NBK1330/
Separately, there is a higher per-capita prevalence rate for hypothalamic obesity in Japan. We estimate the prevalence of acquired hypothalamic obesity in Japan to be approximately 5,000 to 8,000 based on our review of the literature, tumor registries and claims data. (https://doi.org/10.1038/s41572-022-00351- z).
Limitations of Current Therapies
Although drugs approved for general obesity potentially can be used in patients with obesity and rare MC4R pathway diseases, all currently available obesity products have limited efficacy and treat symptoms without addressing the underlying biology of MC4R impairment. For example, drugs which delay gastric emptying may cause a patient to feel full and eat less, but are also often associated with nausea and vomiting as a consequence of the delayed emptying. In the case of individuals with rare MC4R pathway diseases, these therapies also do not address the impaired signaling in this central
11

energy regulating pathway. Similarly, metabolic and bariatric surgery which has been shown to be quite effective in the general population with obesity, may be unsuccessful in patients with rare MC4R pathway diseases for the same reason.
MC4R Pathway Program
IMCIVREE (setmelanotide)
IMCIVREE is approved by the FDA to reduce excess body weight and maintain weight reduction long term in adult and pediatric patients aged 2 years and older with syndromic or monogenic obesity due to BBS, or POMC, PCSK1, or LEPR deficiency as determined by an FDA-approved test demonstrating variants in POMC, PCSK1, or LEPR genes that are interpreted as pathogenic, likely pathogenic, or VUS. The EC and United Kingdom’s MHRA have authorized setmelanotide for the treatment of obesity and the control of hunger associated with genetically confirmed BBS or genetically confirmed loss-of-function biallelic POMC, including PCSK1, deficiency or biallelic LEPR deficiency in adults and children 2 years of age and above. IMCIVREE also was approved by Health Canada, where it is indicated in adults and pediatric patients 6 years of age and older with impairments in the MC4R pathway due to genetic diseases, for the treatment of obesity and control of hunger in BBS or biallelic POMC, PCSK1, or LEPR deficiency.
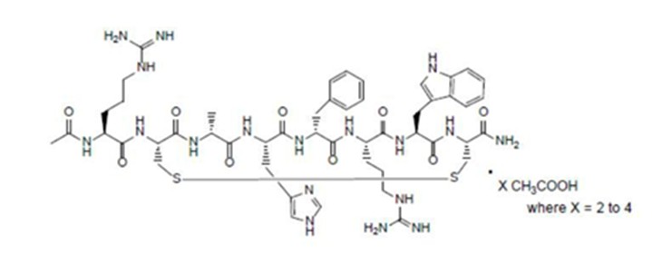
IMCIVREE is the only therapeutic specifically approved for patients with these diseases. As an MC4R agonist, IMCIVREE is designed to address impaired MC4R pathway activity arising due to genetic impairments upstream of the MC4R. IMCIVREE contains setmelanotide acetate, an MC4R agonist. Setmelanotide is an 8 amino acid cyclic peptide analog of endogenous melanocortin peptide α-MSH. The chemical name for setmelanotide acetate is acetyl-L-arginyl-L-cysteinyl-D-alanyl-L-histidinyl-D-phenylalanyl-L-arginyl-L-tryptophanyl-L-cysteinamide cyclic (2→8)-disulfide acetate. Its molecular formula is C49H68N18O9S2 (anhydrous, free-base), and molecular mass is 1117.3 Daltons (anhydrous, free-base).
The chemical structure of setmelanotide is:
image (1) (002) (002).jpg
IMCIVREE injection is a sterile, clear to slightly opalescent, colorless to slightly yellow solution. Each 1 mL of IMCIVREE contains 10 mg of setmelanotide provided as setmelanotide acetate, which is a salt with 2 to 4 molar equivalents of acetate, and the following inactive ingredients: 100 mg N-(carbonyl-methoxypolyethylene glycol 2000)-1,2-distearoyl- glycero-3- phosphoethanolamine sodium salt, 8 mg carboxymethylcellulose sodium (average MWt 90,500), 11 mg mannitol, 5 mg phenol, 10 mg benzyl alcohol, 1 mg edetate disodium dihydrate, and Water for Injection. The pH of IMCIVREE is 5 to 6.
Obesity due to POMC, PCSK1 or LEPR deficiency are ultra-rare diseases caused by variants in POMC, PCSK1 or LEPR genes that impair the MC4R pathway. People living with obesity due to POMC, PCSK1 or LEPR deficiency struggle with hyperphagia, an extreme, insatiable hunger, beginning at a young age and resulting in early-onset, severe obesity. Bardet-Biedl syndrome
Bardet-Biedl syndrome (BBS) is a life-threatening, ultra-rare orphan disease. BBS is a disease that causes hyperphagia and severe obesity beginning in early childhood, as well as vision loss, polydactyly, kidney abnormalities, and
12

other signs and symptoms. For patients with BBS, hyperphagia and obesity can have significant health consequences. BBS is part of a class of disorders called ciliopathies, or disorders associated with the impairment of cilia function in cells. Cilia are hair-like cellular projections that play a fundamental role in the regulation of several biological processes, including satiety signaling. Cilia dysfunction in the hypothalamus, including in the MC4R pathway, is thought to contribute to hyperphagia and obesity in BBS. BBS is a genetically heterogeneous disease that has been associated with mutations in 29 genes, to date. All result in a similar syndrome of clinical manifestations. Recent scientific studies identify deficiencies affecting the MC4R pathway as a potential cause of the hyperphagia and obesity associated with BBS, and demonstrate that an MC4R agonist can directly impact these symptoms.
Pivotal Phase 3 Clinical Trial Evaluating Setmelanotide in BBS
Approvals and marketing authorizations for BBS in the United States, the EU, the United Kingdom, and Canada were based on data from our pivotal Phase 3 clinical trial of setmelanotide in patients with BBS. As we first reported in December 2020, the trial met its primary endpoint and all key secondary endpoints, with statistically significant and clinically meaningful reductions in weight and hunger at 52 weeks on therapy.
The pivotal data that formed the basis for IMCIVREE’s approvals in BBS were published in the peer-reviewed journal The Lancet Diabetes and Endocrinology in November 2022. As previously disclosed, treatment with setmelanotide resulted in significant weight and hunger reductions after one year of treatment among patients with BBS. The primary endpoint was achieved by 32.3% (95% confidence interval (CI), 16.7%, 51.4%; p=0.0006) of patients ≥12 years old, all of whom were patients with BBS. Data highlights in patients with BBS (n=32) after 52 weeks of setmelanotide include:
Fifteen (15) patients ≥18 years achieved a mean (SD) percent reduction in BMI of -9.1% (6.8%; 95% CI, −13.4%, −4.8%);
Fourteen (14) patients <18 years achieved a mean (SD) change in BMI Z score of −0.8 (0.5; 95% CI, −1.0, −0.5), and 12 patients (85.7%) achieved ≥0.2-point reduction in BMI Z; and
Fourteen (14) patients ≥12 years who reported hunger scores achieved reduction of -30.5% in maximal hunger score.
The safety results observed in this study were consistent with that observed with setmelanotide in previous clinical trials in patients with other rare MC4R pathway diseases. Skin hyperpigmentation (n=23; 60.5%) was the most common adverse event (AE). Two patients experienced serious AEs, neither of which was considered related to setmelanotide treatment.
Pivotal Phase 3 Clinical Trials Evaluating Setmelanotide in Biallelic POMC and LEPR Deficiency Obesities
We assessed the safety and efficacy of IMCIVREE in two pivotal trials that were identically designed: one-year, open-label studies, each with an eight-week, double-blind withdrawal period. The studies enrolled patients with homozygous or presumed compound heterozygous pathogenic, likely pathogenic variants, or VUS, for either the POMC, PCSK1 or LEPR gene. In both studies, adult patients had a body mass index (BMI) of ≥30 kg/m2. Weight in pediatric patients was ≥95th percentile using growth chart assessments.
Efficacy analyses were conducted in 21 patients who had completed at least one year of treatment at the time of a pre-specified data cutoff. Of the 21 patients included in the efficacy analysis in both pivotal studies, 62% were adults and 38% were aged 16 years or younger. In Study 1, 50% of patients were female, 70% were White, and the median baseline BMI was 40.0 kg/m2 (range: 26.6-53.3). In Study 2, 73% of patients were female, 91% were White, and the median baseline BMI was 46.6 kg/ m2 (range: 35.8-64.6).
In the POMC/PCSK1 study, 80% of patients with obesity due to POMC or PCSK1 deficiency met the primary endpoint, achieving a ≥10% weight loss after one year of treatment with IMCIVREE. In the LEPR study, 46% of patients with obesity due to LEPR deficiency met the primary endpoint by achieving a ≥10% weight loss after 1 year of treatment with IMCIVREE.
Phase 3 Trial Results in Patients Between 2 Years Old and Younger than 6
13

The hyperphagia and severe obesity of rare, genetically-caused MC4R pathway diseases can present early in life. Therefore, we believe access to treatment earlier in life will lead to better outcomes for children. In 2023, we completed our 52-week, Phase 3 pediatrics trial and demonstrated that setmelanotide met the primary endpoint and achieved clinically meaningful weight reduction in patients within this age range. This trial was a multi-center, one-year, open-label trial in pediatric patients with obesity due to biallelic POMC, PCSK1 or LEPR deficiency or a clinical diagnosis of BBS with genetic confirmation. The primary efficacy endpoint was a responder analysis, based on the proportion of patients who experience a decrease from baseline in BMI-Z score of ≥0.2.
These data were published in the peer-reviewed journal The Lancet Diabetes & Endocrinology in November 2024:
83 percent of all patients (10 of 12) achieved ≥ 0.2 reduction in BMI-Z score from baseline to week 52;
18 percent mean reduction from baseline in BMI at week 52 (N=12);
3.04 mean reduction from baseline in BMI-Z score at week 52 (N=12); and
The safety profile was consistent with past trials evaluating setmelanotide.
Based on these data, IMCIVREE received authorization as the first-ever precision medicine in the EU for control of hunger and treatment of obesity in adults and children as young as 2 years old, living with BBS or POMC, PCSK1, or LEPR deficiency on July 31, 2024. The UK’s MHRA also expanded marketing authorization for IMCIVREE to include patients as young as 2 years with BBS or POMC, PCSK1 or LEPR deficiency on December 3, 2024. In addition, on December 20, 2024, the FDA also approved an expanded indication for IMCIVREE to include children as young as 2 years old.
Development of Setmelanotide for Additional Indications
Acquired Hypothalamic Obesity
Acquired hypothalamic obesity is a rare disease characterized by accelerated and sustained weight gain caused by injury to the hypothalamic region which may impair MC4R pathway signaling leading to hyperphagia, decreased energy expenditure, and severe obesity. There is an urgent need for effective treatments, as current approaches - including lifestyle interventions and general obesity pharmacotherapy - have shown limited long-term effectiveness.
Acquired hypothalamic obesity occurs most frequently after hypothalamic damage resulting from craniopharyngioma or other intracranial tumor, traumatic brain injury, stroke, or surgical resection or radiation of brain tumors. Based on results from Phase 2 and Phase 3 trials evaluating setmelanotide to treat patients with acquired hypothalamic obesity and interactions with regulatory agencies in the United States, Europe and Japan, we anticipate receiving regulatory decisions regarding potential approval and marketing authorization for acquired hypothalamic obesity in 2026 and 2027.
Lesions of the hypothalamus can derive from various types of tumors (e.g., craniopharyngiomas, gliomas, pituitary adenomas, hamartomas) or may be caused by surgeries and/or radiotherapies for the treatment of these same tumor types. These hypothalamic lesions, whether caused by the tumor itself and/or the treatment of the tumor, can disrupt the MC4R pathway. Moreover, patients with acquired hypothalamic obesity display a high degree of hyperleptinemia and hyperinsulinemia. Alpha-melanocortin stimulating hormone (α-MSH) can be detectable in blood, and its levels can change depending on different energy states; however, in patients with craniopharyngioma or post-surgical treatment for it, α-MSH levels are significantly reduced. Reduced serum α-MSH levels may suggest melanocortin pathway deficiency, which might explain obesity in these patients.
In 2025, the Phase 3 TRANSCEND trial evaluating setmelanotide for the treatment of acquired hypothalamic obesity met its primary endpoint with statistically significant and highly clinically meaningful results. This global, double-blinded, placebo-controlled, 52-week trial enrolled a primary cohort of 120 patients, an additional 11 supplemental patients and a further 12 patients in Japan and is believed to be the largest and longest study of its kind for this rare disease. Key results included:
Patients on setmelanotide achieved a mean BMI reduction of 16.5% from baseline, compared to a 3.3% increase for placebo, resulting in a placebo-adjusted difference of 19.8% (p<0.0001);
14

In adults (≥18 years), the placebo-adjusted BMI reduction was 19.2%; in patients younger than 18, it was 20.2%;
80% of patients on setmelanotide achieved a BMI reduction of 5% or greater at 52 weeks;
Eighty-three percent of patients achieved a 5% or greater reduction in BMI (≥18 years) or a BMI Z-score reduction of 0.2 or greater (<18 years);
Patients 12 years and older experienced a placebo-adjusted mean change in weekly average daily maximal hunger score of -1.4 (p=0.003); and
No new safety signals were observed; Setmelanotide was generally well tolerated, with the most common adverse events (>20% of participants) being nausea, vomiting, diarrhea, injection site reaction, skin hyperpigmentation, and headache.
Our regulatory submissions seeking label expansion for IMCIVREE to treat patients in acquired hypothalamic obesity in the United States and Europe currently are under review. The FDA has assigned a Prescription Drug User Fee Act (PDUFA) goal date of March 20, 2026, an extension from the original assigned goal date of December 20, 2025. The FDA in October 2025 requested additional sensitivity analyses of clinical efficacy data from the Phase 3 pivotal trial in acquired hypothalamic obesity. No new data were requested. The additional information was deemed a ‘major amendment,’ which allows for additional time for the FDA to review. The major amendment did not include any information relating to the safety or manufacturing of setmelanotide. The EMA confirmed validation of our Type II variation submission to the Marketing Authorization Application (MAA) for setmelanotide for the same indication. The application review began on August 16, 2025, by the Committee for Medicinal Products for Human Use (CHMP), which will issue an opinion to the European Commission (EC) regarding potential approval.
In addition to the United States and Europe, we plan to seek marketing authorization in Japan for setmelanotide to treat patients with acquired hypothalamic obesity given the significant unmet need there. Our review of certain tumor registries and claims data in Japan point to a higher per-capita prevalence and incidence rate of this disease than in Europe and the United States. We estimate there are approximately 5,000 to 8,000 patients in Japan with acquired hypothalamic obesity. In January 2025, we announced that we completed enrollment in a supplemental cohort of 12 Japanese patients, which we added to our global Phase 3 trial in acquired hypothalamic obesity. We expect to read out topline results for these data from this Japanese cohort in March 2026. We plan to use efficacy and pharmacokinetic (PK) data from this cohort as part of our registration package seeking approval from Japan’s Pharmaceuticals and Medical Devices Agency (PMDA). We aligned on this approach based on previous discussions with PMDA. In March 2025, we received orphan drug designation from Japan’s Ministry of Health, Labor and Welfare (MHLW) for setmelanotide as a treatment for acquired hypothalamic obesity.
The pivotal Phase 3 trial followed positive efficacy results from our 18-patient, 16-week Phase 2 trial, as well as data demonstrating durable and deepening weight loss in patients who transitioned from the Phase 2 trial to our open-label, long-term extension trial. The primary endpoint was the proportion of patients who achieved a 5% or greater reduction in BMI after 16 weeks of treatment. Hunger was also assessed daily, as self-reported by individual patients. These data were published in the peer-reviewed journal The Lancet Diabetes & Endocrinology in April 2024. In this trial, we observed a consistent reduction in body weight and hunger in all adherent patients. Results demonstrated:
89% (16 of 18) of patients achieved the primary endpoint;
78% (14 of 18) of patients achieved a 10% or greater reduction in BMI at 16 weeks;
Mean percent reduction in BMI was 15% from baseline;
In pediatric patients (n=13), the mean (standard deviation (SD)) BMI Z score at Week 16 was 2.7 (1.3), a reduction of 1.3 (1.0) points from baseline; and
Mean (SD) most hunger score at baseline was 6.6 (1.6), compared with 3.7 (2.5) at Week 16, for a reduction of –2.9 (2.3) points or 45% for patients ≥12 years of age (n=11).
The publication also included preliminary data from our long-term extension of the Phase 2 study . These data show patients with hypothalamic obesity (n=12) achieved mean BMI reduction of approximately 26% at one year on setmelanotide treatment. Consistent with prior experience, setmelanotide was generally well tolerated. The most common
15

adverse events (AEs) in the primary trial included nausea (61.1%), vomiting (33.3%), skin hyperpigmentation (33.3%), diarrhea (22.2%), and COVID-19 (22.2%). Two patients discontinued due to AEs and a third patient was non-compliant. No new safety concerns were observed during the long-term extension trial.
Based on the efficacy data from the Phase 2 trial, setmelanotide was granted pre-marketing early-access authorization (AP1) for use in patients with hypothalamic obesity in France in 2023, a program which has provided real-world evidence supporting the potential efficacy of setmelanotide in this patient population. This approval was issued by the French National Agency for Medicines and Health Products Safety (ANSM) and the French National Authority for Health (HAS) under the AP1 program, which allows early access to innovative therapies prior to European regulatory approval when no alternative treatments exist, and a positive benefit-risk profile is recognized. In May 2025, physicians from Sorbonne University in Paris presented data from patients in the early-access programs in France at the first-ever Joint Congress between the European Society for Paediatric Endocrinology and the European Society of Endocrinology (ESPE-ESE). These presentations detailed real-world data from 30 patients with acquired hypothalamic obesity (10 patients younger than 18; 20 patients 18 or older) on setmelanotide therapy for up to nine months at 14 different treatment centers in France.
Of the 20 adult patients with acquired hypothalamic obesity treated with setmelanotide therapy in France:
Across all patients, there was an overall -11.9% mean change in body mass index (BMI) from baseline at month 3;
Ten (n=10) who reached month 6 on therapy achieved -19.2% mean change in BMI; and
Eight (n=8) who reached month 9 on therapy achieved -23.0% mean change in BMI; and
Adult patients reported meaningful decreases in hunger scores after 3 and 6 months of treatment with setmelanotide.
For pediatric patients with acquired hypothalamic obesity treated with setmelanotide, BMI z-score (a measure that represents standard deviations of a child’s BMI that corrects for age and sex) decreased from baseline at all timepoints analyzed. A clinically meaningful reduction in BMI z-score is defined as a ≥0.2-point reduction. Data from these pediatric patients include:
Ten (n=10) pediatric patients who reached month 3 on therapy achieved a mean BMI z-score decrease of 0.3 from baseline;
Seven (n=7) pediatric patients who reached month 6 on therapy achieved a mean BMI z-score decrease of 0.4 decrease from baseline; and
Two (n=2) pediatric patients who reached month 9 on therapy achieved a mean BMI z-score decrease of 0.4 from baseline.
Congenital hypothalamic obesity
Congenital hypothalamic obesity is a rare disease caused by certain brain abnormalities that may impair the function of the MC4R pathway, which regulates satiety or food intake and energy expenditure. It is a severe, refractory obesity that is underdiagnosed and not widely understood with high unmet need as there are no approved treatment options. It is often associated with pituitary and hypothalamic dysfunction. Unlike acquired hypothalamic obesity – which is known to be caused by certain brain tumors and their treatment – there is little recognition and/or understanding of congenital hypothalamic obesity and its different causes, as the connection between the severe obesity and MC4R pathway in the hypothalamus may not be evident.
An impairment in the MC4R pathway can lead to reduced energy expenditure and hyperphagia and, consequently, severe obesity. Rare diseases that may cause congenital hypothalamic obesity include septo-optic dysplasia (or de Morsier syndrome), optic nerve hypoplasia, multiple pituitary hormone deficiency (also known as combined pituitary hormone deficiency) and pituitary stalk interruption syndrome. Each of these diseases is considered rare and between 12% and 40% of patients with these diseases may have congenital hypothalamic obesity. We estimate the prevalence of congenital hypothalamic obesity to be in excess of 1,000 patients in the United States and in excess of 1,000 patients in Europe.
16

U.S. and European experts have highlighted an urgent, unmet medical need for therapeutic options for patients with congenital hypothalamic obesity, as none are approved for this heterogenous patient population. At French hospitals that are participating in the early-access program mentioned above, physicians have initiated setmelanotide therapy to treat several patients with congenital hypothalamic obesity. In May 2025 at the 32nd annual European Congress on Obesity (ECO), French physicians shared data from five patients with congenital hypothalamic obesity, including four patients who reached six months on setmelanotide therapy, as part of a broader presentation on hypothalamic obesity. Highlights included:
Four (n=4) pediatric patients who reached month 3 on setmelanotide therapy achieved a mean BMI z-score decrease of -0.2 from baseline; and
Three (n=3) pediatric patients who reached month 6 on setmelanotide therapy achieved a mean BMI z-score decrease of -0.4 from baseline; and
One adult patient with congenital hypothalamic obesity achieved a -14.8% BMI reduction baseline at month 6 of setmelanotide therapy.
It was based on early case reports from French hospitals participating in the early-access program that led us to add a 34-week substudy, which is designed to evaluate setmelanotide in approximately 39 patients with congenital hypothalamic obesity aged 4 years and older as a protocol amendment to our ongoing Phase 3 trial evaluating setmelanotide in patients with acquired hypothalamic obesity. We anticipate completing enrollment in this substudy in congenital hypothalamic obesity, which is independent from the pivotal Phase 3 trial cohort in acquired hypothalamic obesity, in the second half of 2026.
Development of Setmelanotide as a Treatment for Prader-Willi Syndrome
In December 2025, we disclosed positive preliminary results from our ongoing, exploratory Phase 2 trial of setmelanotide in patients with PWS. Based on these preliminary results, we are pursuing development of both setmelanotide and RM-718, one of our two next-generation MC4R agonists, for PWS, a rare genetic disease that results in a number of physical, mental and behavioral problems. Key features of PWS include an excess weight gain due to a combination of low resting energy expenditure and severe, constant hyperphagia with onset in early-mid childhood. There are currently no approved therapies that effectively reduce the extreme hyperphagia or address low resting energy expenditure experienced by patients with PWS, which, if not managed by stringent food restrictions and environmental controls, often results in life-threatening obesity. Approximately 20,000 people in the United States and approximately 400,000 people worldwide are estimated to be living with this disease.
While the underlying etiology of hyperphagia and excess weight gain in PWS is multifactorial, there remains a logical biological justification for MC4R agonism in this patient population. The critical chromosomal region relevant for PWS contains genetic regions that may impact signaling within the MC4R pathway. Relevant mouse models recapitulate the hyperphagia phenotype seen in PWS (Polex-Wolf J et al 2018). Disruption of MAGEL2 expression, a gene within the PWS region, leads to defective leptin sensing in POMC neurons (Mercer et al. PLoS Genet. 2013;9:e1003207. 7. Pravdivyi et al. Hum Mol Genet. 2015;24:4276-4283). Interestingly, there was a potential efficacy signal in some patients with a MAGEL2 variant in our Phase 2 DAYBREAK trial (Ortiz et al 2024). Finally, patients with PWS may have a reduced response to leptin on POMC neurons and consequently reduced MC4R pathway activity (Miller 2020). Notably, deletions in this region have been shown to be associated with decreased expression of PCSK1, which encodes a key prohormone convertase enzyme in the MC4R pathway (https://pubmed.ncbi.nlm.nih.gov/27941249/). We believe setmelanotide, a potent MC4R agonist, has the potential to restore signaling and regulation of hunger, energy expenditure, and weight.
In 2016, we completed a Phase 2 trial that evaluated setmelanotide in patients (N=40) with PWS 16-65 years of age. The study had co-primary endpoints of weight and hyperphagia after 4 weeks of placebo or one of three arms on setmelanotide therapy (0.5mg, 1.5mg or 2.5mg). No statistically significant treatment differences were observed for the co-primary endpoints. The AEs reported in this study were consistent with those reported in other setmelanotide trials. The most common AEs reported thought to be related to setmelanotide were injection site reactions. We came to believe that this 2016 trial was too short, enrolled too few patients and used sub-optimal dosing levels of setmelanotide to be conclusive. Therefore, in early 2025, we initiated a new open-label, exploratory trial. We enrolled 18 patients with PWS aged 6-65 years old with a BMI ≥30 kg/m2 for patients ≥18 years of age or BMI ≥95th percentile for age and sex for patients younger than 18.
17

On December 11, 2025, we disclosed preliminary results that showed setmelanotide therapy demonstrated potential therapeutic benefit with BMI and hyperphagia reductions in patients with PWS at Month 3 (n=8) and Month 6 (n=5); Highlights from these preliminary results, as of a cut-off date of Nov. 14, include:
Six (6) of 8 patients who reached Month 3 of setmelanotide therapy achieved BMI reductions from baseline;
Three (3) of 5 patients who reached Month 6 of setmelanotide therapy achieved reductions in BMI, with two seeing deeper reductions versus Month 3 and one unchanged;
Six (6) of 7 evaluable patients who reached Month 3 of setmelanotide therapy achieved meaningful reduction in Hyperphagia Questionnaire for Clinical Trials1 (HQ-CT) scores; one patient’s baseline and Month 3 HQ-CT score was 0, therefore not evaluable; and
Safety and tolerability results have been consistent with setmelanotide’s well-established clinical profile.
The 52-week trial remains ongoing. Seventeen (17) of the 18 patients enrolled remain on active setmelanotide therapy. We anticipate announcing six-month results from 18 patients from the ongoing Phase 2 trial in the first half of 2026 and potentially advancing setmelanotide to a registrational trial for PWS. In addition, we have initiated a Part D arm in the Phase 1 trial of MC4R agonist RM-718 that will enroll up to 20 patients with PWS. We began screening patients with PWS for enrollment in December 2025, and we anticipate completing enrollment in the second half of 2026.
Clinical Development to Address Additional Genetically-caused MC4R Pathway Diseases
We also are advancing a broad clinical development program evaluating setmelanotide, and we are leveraging the largest known DNA database focused on obesity—with approximately 120,000 sequencing samples as of December 2025—to improve the understanding, diagnosis and care of people living with hyperphagia and severe obesity due to certain variants in genes associated with the MC4R pathway. There remains a significant unmet need with no effective therapeutic options for patients with these rare MC4R pathway diseases, and we believe setmelanotide has the potential to address the hyperphagia and severe obesity associated with these rare genetic diseases.
Phase 3 EMANATE Trial
The ongoing pivotal Phase 3 EMANATE clinical trial is a randomized, double-blind, placebo-controlled trial, designed to evaluate setmelanotide therapy over a 52-week period in four independent substudies in patients with obesity due to: a heterozygous variant of the POMC/PCSK1 genes or LEPR gene and certain variants of the SRC1 gene or the SH2B1 gene. We anticipate reading out topline data from this trial in March 2026.
POMC, PCSK1 and LEPR are core genes of the MC4R pathway. Heterozygous variants in POMC, PCSK1 and LEPR have been associated with clinical obesity that may be due to MC4R pathway dysfunction. Obesity due to rare variants in the SRC1 gene is an autosomal dominant disorder that is characterized by early-onset severe obesity and hyperphagia, as SRC1 variants found in individuals with severe obesity significantly impaired leptin-induced POMC expression (Yang et al 2019, Nat Comm. 10, Article 1718). Specifically, SRC1 is a transcriptional coactivator that has links to both the leptin receptor and to POMC. When the leptin receptor is activated, SRC1 is activated through a cascade of events that then drives the expression of POMC. Individuals who have heterozygous loss-of-function variants in their SRC1 genes can have insufficient leptin receptor activation of the MC4R pathway as a result of decreased POMC expression. This decreases the amount of available MSH to activate the MC4R, consequently resulting in hyperphagia and obesity in these individuals. Obesity due to variants in the SH2B1 gene is a rare genetic disease that is characterized by early-onset severe obesity, hyperphagia, hyperinsulinemia, and reduced final height. SH2B1 variants can arise through either DNA variants in the SH2B1 gene or through chromosomal deletions (chromosome 16) that encompass the SH2B1 gene. In both cases, dysfunction/loss of only one copy of the SH2B1 gene is sufficient to give rise to obesity and hyperphagia. The SH2B1 protein has been shown to have direct links to the MC4R-pathway. Specifically, SH2B1 is an adapter protein that amplifies the signal coming through the leptin receptor. In individuals who carry heterozygote loss of function mutations in SH2B1 or a chromosomal deletion that removes the SH2B1 from the chromosome, individuals may have insufficient leptin receptor activity activation of their MC4R pathway. This gives rise to a well-documented form of severe early-onset obesity and hyperphagia.
Based on enrollment and our understanding of the variant classification associated with each of these four genes, we consider the two most encouraging substudies to be POMC and/or PCSK1 (n=79) and SH2B1 (n=121). The
18

epidemiology estimates for these two genetic indications suggest that approximately 29,000 U.S. patients with one of these genetic deficiencies have the potential to respond to setmelanotide. The epidemiology for the additional two genetic indications enrolled in this trial, SRC1 (n=73) and LEPR (n=23), suggest as many as 24,000 U.S. patients with one of these genetic deficiencies may have the potential to respond to setmelanotide. However, the vast majority of genetic variants of the SRC1 gene are classified as VUS and mostly benign; similarly, pathogenic or likely pathogenic variants of the LEPR gene are ultra-rare. The trial design with four independent substudies allows for independent data readouts and potential registration for each genetic cohort on its own. As the SRC1 and LEPR substudies are under-enrolled and therefore underpowered, it is likely that we would need to complete additional studies in order to seek regulatory approval for these genetic indications. We believe the SH2B1 and POMC/PCSK1 substudies are sufficiently enrolled and powered to seek registration, pending success. The primary endpoint for each substudy is the difference in mean percent change in BMI from baseline to 52 weeks in setmelanotide arm compared to placebo arm. We anticipate reporting topline data in the first quarter of 2026.
Proof of Concept Achieved in Exploratory Phase 2 Basket Study
In January 2021, we announced proof-of-concept data from our exploratory Phase 2 Basket Study in multiple patient cohorts of patients with severe obesity due to a variant in one of the two alleles in the POMC, PCSK1, or LEPR genes (PPL HET obesity), as well as the SRC1 and SH2B1 genes. We subsequently furnished updated data in multiple presentations at medical meetings throughout 2021. The exploratory Phase 2 Basket Study was an open label study designed to evaluate setmelanotide in patients with obesity defined as BMI ≥ 30 kg/m2 for patients 16 years of age or older or BMI≥ 95th percentile for age and gender for patients between 6 and 16 years old. Patients were stratified by cohort according to their genetic variant. The primary endpoint of the study was the percent of patients in each subgroup showing at least a 5% loss of body weight over three months (such patients are referred to as clinical responders for this study).
PPL HET Obesity (POMC, LEPR, PCSK1) highlights included:
Overall, 12 of 35 patients (34.3%) achieved the primary endpoint. This full analysis includes six patients who withdrew early;
Mean reduction from baseline in body weight over three months across all 35 patients was -3.7%, which includes both clinical responders and non-responders; and
Among the 12 patients who achieved the primary endpoint (responder group), the mean reduction from baseline in body weight over three months was -10.1%.
In our analyses, we are applying variant classification guidelines from the American College of Medical Genetics, or ACMG (as described in Richards, et al., 2015), to patient cohort stratification. Specific variants of the POMC, LEPR, PCSK1, SRC1 or SH2B1 gene may be classified based on published data as being pathogenic, likely pathogenic, likely benign or benign, or classified as a variant of unknown significance or VUS. As genetics of obesity remains an emerging field, the vast majority of variants in genes associated with the MC4R pathway are classified as VUS. Our hypothesis was that patients with genetic variants that indicate a higher degree of pathogenicity would be more likely to have impaired pathway signaling and therefore more likely to respond to setmelanotide.
Patients with PPL HET obesity were stratified into three pre-specified cohorts by classification of their genetic variants according to ACMG guidelines;
Four of eight patients (50.0%) with a pathogenic or likely pathogenic variant achieved greater than 5% weight loss over three months;
Four of eight patients (50.0%) with the N221D variant of the PCSK1 gene achieved greater than 5% weight loss over three months; and
Four of 19 patients (21.1%) with a variant of unknown significance (VUS) achieved greater than 5% weight loss over three months.
In September 2021, we presented updated interim data from the SRC1 and SH2B1 cohorts at the at the 59th Annual European Society for Paediatric Endocrinology (ESPE) Meeting. The data presented were based on an interim analysis of patients who completed 12 weeks of therapy. These presentations included analyses that showed setmelanotide
19

achieved clinically meaningful weight loss or BMI Z reduction in 30% (9 of 30) of study participants with obesity due to variants of the SRC1 gene and clinically meaningful weight loss or BMI Z reduction in 43% (15 of 35) of study participants with obesity due to variants of the SH2B1 gene, including 16p11.2 chromosomal deletions.
Specifically, in the SRC1 cohort, a total of 30 patients with obesity and deficiency in the SRC1 gene were enrolled in the full analysis set of this study. These patients had a mean BMI of 45.4 kg/m2 or BMI Z of 3.0 at baseline. Highlights of these data, as of a cut-off date of March 16, 2021, include:
Nine of 30 (or 30%) of patients achieved a clinically meaningful response to setmelanotide at three months, as defined by weight loss of 5% or greater from baseline, or for patients under 18 years old, a reduction of at least 0.15 in BMI Z score:
In adult patients 18 years or older, six of 20 (or 30%) achieved 5% or greater weight loss at three months;
In patients younger than 18 years, three of 10 (or 30%) achieved a BMI Z reduction of 0.15% or more at three months.
Across all enrolled patients, the mean overall weight loss from baseline to three months among patients 18 years and older (a sample of 20) was -4.0% (a standard deviation of 3.3%), and the mean overall BMI Z score reduction from baseline to three months among patients younger than 18 years (n=10) was -0.21 (a standard deviation of 0.23).
In addition, these interim data showed a clear separation between patients who responded to setmelanotide treatment at three months and those who did not:
The mean body weight reduction for adult patients who responded (n= 6) was 7.9% (90% confidence interval (CI), −9.7 to −6.0), as compared to 2.3% (90% CI, −3.2 to −1.4) for adult patients who did not respond (a sample of 14);
The mean BMI Z reduction for patients younger than 18 years who responded (n= 3) was 0.48 (90% CI, −0.95 to −0.01), as compared to 0.09 (90% CI, −0.11 to −0.07) for those who did not respond (n= 7).
In the SH2B1 cohort, a total of 35 patients with obesity and 16p11.2 deletions that include the SH2B1 gene or deficiency in the SH2B1 gene were enrolled in the full analysis set of this study. These patients had a mean BMI of 47.2 kg/m2 or BMI Z of 3.6 at baseline. Highlights of these interim data, as of a cut-off date of March 16, 2021, include:
Fifteen of 35 (or 42.9%) of patients achieved a clinically meaningful response to setmelanotide at three months, as defined by weight loss of 5% or greater from baseline, or for patients under 18 years old, a reduction of at least 0.15 in BMI Z score:
In patients 18 or older, eight of 22 (or 36.4%) achieved 5% or greater weight loss at three months;
In patients younger than 18 years, seven of 13 (or 53.8%) achieved a BMI Z reduction of 0.15% or more at three months.
Across all enrolled patients, the mean overall weight loss from baseline to three months among patients 18 years and older (n= 22) was -3.1% (a standard deviation of 3.9%), and the mean overall BMI Z score reduction from baseline to three months among patients younger than 18 years (n= 13) was -0.15 (a standard deviation of 0.13). In addition, the interim data showed a clear separation between patients who responded to setmelanotide treatment at three months and those who did not:
The mean body weight reduction for adult patients who responded (n= 8) was 7.2% (90% CI, −8.6 to −5.8), as compared to 0.8% (90% CI, −1.9 to 0.3) for adult patients who did not respond (n= 14);
The mean BMI Z reduction for patients younger than 18 years who responded (n= 7) was 0.25 (90% CI, −0.29 to −0.21), as compared to 0.03 (90% CI, −0.08 to 0.02) patients younger than 18 years who did not respond (n= 7).
20

Consistent with prior clinical experience, setmelanotide was generally well tolerated in each of these rare genetic diseases of obesity as of the cutoff date. The most common treatment-emergent adverse events, or TEAEs, included mild injection site reactions, hyperpigmentation, and nausea and vomiting, which occurred early in the treatment course. There were no SAEs related to treatment with setmelanotide.
Phase 2 DAYBREAK trial
In 2024, we completed our Phase 2 DAYBREAK trial, a signal- finding study with a two-stage design, that successfully identified six cohorts of interest for further study. We believe the DAYBREAK trial was the most comprehensive Phase 2 trial ever initiated in rare MC4R pathway diseases. This trial was designed to evaluate setmelanotide in patients with hyperphagia and severe obesity caused by variants in one of 31 pre-identified genes known to have strong relevance to the MC4R pathway.
Stage 1 of the trial ruled out several genes for further exploration based on patient prevalence or lack of response. We designed Stage 1 to evaluate setmelanotide in patients who carry a confirmed variant in one or more genes with strong or very strong relevance to the MC4R pathway. This first stage of the study consisted of a 16-week open-label treatment period; patients 18 years or older who achieved a body mass index (BMI) at least 3% less than the Baseline BMI at the end of Stage 1 and patients <18 years old who achieved a BMI at least 3% less than the Baseline BMI or a decrease in BMI Z-score of at least 0.05 at the end of Stage 1 were eligible for enrollment in the second stage of the study.
A total of 49 patients who completed Stage 1 with a response to setmelanotide (as detailed below) were randomized into Stage 2 of the trial. Stage 2 was a 24-week, double-blind, placebo-controlled withdrawal study. These patients were stratified into genetically defined cohorts and randomized 2:1 to receive setmelanotide or placebo. After analyzing the results from Stage 2, we deemed the following genes or gene families to merit further study with MC4R agonism: SEMA3 family, PHIP, and TBX3 or PLXNA family.
On November 4, 2024, we presented topline data from the DAYBREAK trial at ObesityWeek® 2024 in San Antonio, Texas. Results from Stage 2 showed:
A significantly higher proportion of patients in the setmelanotide arm achieved or maintained 5% BMI reduction from baseline through the end of Stage 2 compared with the placebo arm (84.4% vs. 29.4%, p=0.001); a -12.4% mean percent BMI reduction was observed for all patients (n=29) on continuous setmelanotide therapy of 40 weeks;
Change in BMI between baseline and the end of stage 2 was variable between gene cohorts, with the most consistent pattern of response seen in patients with PHIP variants.
Other encouraging responses were observed from the SIM1, MAGEL2, PLXNA(1-4), and SEMA3(A-G) genes; and
Setmelanotide was well tolerated with no new safety concerns.
During our “Update on MC4R Pathway Program” event on December 6, 2023, we announced data from the Stage 1 open-label part of DAYBREAK, which demonstrated potential efficacy in patients in multiple genetically-defined cohorts. We presented data from the full analysis set for DAYBREAK, which included 164 patients. A total of 112 patients completed the 16-week Stage 1 of the Phase 2 trial, with 52 patients who discontinued. The rates of response from Stage 1 of the trial were:
30% of patients (12 of 40) with variants in the SEMA3 gene cohort;
35.6% of patients (16 of 45) with variants in the PLXNAs gene cohort;
56.3% of patients (9 of 16) with variants in the PHIP gene cohort;
40% of patients (2 of 5) with variants in the TBX3 gene cohort;
30% of patients (3 of 10) with variants in the MAGEL2 gene cohort; and
21

25% of patients (5 of 20) with variants in the SIM1 gene cohort.
For those who completed Stage 1, the rates of response of patients who achieved a BMI reduction of greater than 5% from a post-hoc analysis were:
44.4% of patients (12 of 27) with variants in the PLXNs gene cohort;
61.5% of patients (16 of 26) with variants in the SEMA3 gene cohort; and
69.2% of patients (9 of 13) with variants in the PHIP gene cohort.
We believe these data and analyses from DAYBREAK provide valuable insight into the MCR4 pathway, and we will continue our work to better understand which gene variants have loss of function and maybe disease causing as opposed to those variants which are benign. We believe this work will allow us to identify more accurately patients who may respond to MC4R agonism. We may continue clinical development in these genetic indications with bivamelagon and/or RM-718.
Weekly Formulation of Setmelanotide
In collaboration with Camurus AB, or Camurus, we have developed a once-weekly, long-acting formulation of setmelanotide using FluidCrystal® technology. When injected subcutaneously, aqueous body fluid may be absorbed by the excipient lipid phase, which may then form a gel-like depot consisting of liquid crystals formed in situ leading to slow diffusion of setmelanotide from the depot. While we believe that this formulation may be more convenient and less burdensome than setmelanotide, which is a once-daily administration, for patients and their families, we have paused development in favor of advancing RM-718. In the event RM-718 shows positive efficacy and safety results, we will discontinue development of the weekly formulation of setmelanotide. Concurrently, we are engaging with applicable regulatory authorities to address the impact of our discontinuing development of the weekly formulation of setmelanotide, which was a component of our pediatric investigation plan, or PIP, in the EU (and the United Kingdom). In Q1 2025 we submitted a request to modify the PIP to remove elements related to the weekly formulation with agreement received in Q2 2025.
We have completed one Phase 3 trial evaluating the weekly formulation of setmelanotide in patients with rare MC4R pathway diseases. This weekly switch trial was a randomized, double-blind switch trial in patients with obesity due to biallelic or heterozygous POMC, PCSK1 or LEPR deficiency or a clinical diagnosis of BBS with genetic confirmation, who were previously enrolled in our long-term, open-label extension trial. Patients were randomized 1:1 to receive once-weekly setmelanotide and once-daily placebo, or once-daily setmelanotide and once-weekly placebo for 13 weeks. Following the 13-week randomized treatment period, patients crossed over to an open-label, 13-week study in which all patients received once-weekly setmelanotide. The study was intended to provide detailed pharmacokinetic characterization of the weekly formulation.
Safety and Tolerability Results
Historically, clinical data with other MC4R therapies suggested that MC4R-mediated side effects may include changes in blood pressure and heart rate, increased erections in males, changes in libido and sexual function in females, and nausea and vomiting. It is noteworthy that the pattern of effects differed among each of the other MC4R therapies, underscoring the complex physiology of MC4R. With setmelanotide, there has been little, if any, evidence of blood pressure or heart rate changes, preliminarily supporting an important differentiation of setmelanotide from previous MC4R therapies. Monitoring for blood pressure and heart rate changes, as well as other potential adverse events, or AEs, is included in all setmelanotide clinical trials.
Because of these first generation MC4R therapy failures, the setmelanotide program employed an intensive preclinical screening program to assess clinical candidates for blood pressure and heart rate effects, along with efficacy. The cornerstone of this preclinical screening program was a significant investment in obese primate studies which validated setmelanotide as a promising compound for clinical development. Research supporting a unique mechanism of action of setmelanotide, compared to earlier MC4R agonists and the endogenous ligand MSH, was published in May 2018 in Nature Medicine.
22

Setmelanotide was generally well-tolerated in our Phase 1, Phase 2 and Phase 3 clinical trials to date. Overall, except as outlined below, the number and patterns of AEs were generally low, and the intensity of the AEs was generally mild, and only infrequently led to clinical trial discontinuation.
Over the course of our clinical development program, a total of 1,073 patients who participated in our trials have received the daily or weekly formulation of setmelanotide, including 31 patients who had been on setmelanotide therapy for more than five years, as of November 24, 2025 (excluding commercial therapy):
Duration of Setmelanotide Therapy
Number of patients
<1 year
709
>1 year
364
>2 years
218
>3 years
126
>4 years
66
>5 years
31
Total
1,073
In the majority of our trials, we observed a small increase in frequency of penile erections in male patients, as well as signs of sexual arousal in a small number of female patients. These symptoms were infrequent, generally mild, not painful, and short-lived. Most often these symptoms were reported in the first week of treatment. There was a small incidence of nausea and vomiting, as well as injection site reactions, both of which usually were reported as mild, early in treatment, and short-lived. A small number of patients had dose reductions and/or discontinued treatment due to nausea and vomiting.
We also noted darkening of skin and skin lesions, such as moles and freckles, in approximately half of the patients who received setmelanotide. This was likely caused by activation of the closely related MC1 receptor, the receptor that mediates skin darkening in response to sun exposure. This was observed generally after one to two weeks of treatment, most often plateaued by two to four weeks of treatment, and like sun-related tanning, generally returned to baseline after cessation of exposure.
Overall, the most common AEs reported among setmelanotide treated patients in our clinical trials have been skin hyperpigmentation, injection site reactions, nausea, headache, vomiting, diarrhea and decreased appetite.
Life Cycle Management and Pipeline Expansion
In addition to setmelanotide, we have two earlier-stage investigational MC4R agonists in clinical development, RM-718, formulated for weekly administration, and bivamelagon (formerly LB54640), an oral small molecule. These investigational assets were designed to be selective for the MC4R and MC1R functionally sparing (in order to not cause hyperpigmentation). In 2025, we made significant progress in each program, with bivamelagon achieving proof-of concept in a Phase 2 trial in hypothalamic obesity and RM-718 now being evaluated in a Phase 1/2 trial for both hypothalamic obesity and PWS. In addition, we are advancing potential candidates for CHI, a rare genetic disease.
Bivamelagon, an oral MC4R agonist
On January 4, 2024, we announced that we entered into a global licensing agreement with LG Chem, Ltd., or LGC, a leading global company headquartered in South Korea that specializes in life sciences as one of its core businesses, for bivamelagon, an investigational oral small molecule MC4R agonist now in a Phase 2 clinical trial. The development of an effective oral therapy for treating MC4R pathway diseases has been a major goal for the industry, and we believe the data generated to date suggests bivamelagon has the potential to address MC4R pathway diseases without hyperpigmentation or cardiovascular side effects. We believe our deep developmental experience and global commercial presence uniquely position us to develop this molecule with the goal of offering a portfolio of treatment options to patients struggling with hyperphagia and severe obesity enabling the treatment that is right for them.
23

In a Phase 1 trial in healthy overweight adults, bivamelagon demonstrated dose-dependent weight reduction. Bivamelagon also demonstrated favorable safety results in the trial, with no changes in blood pressure or heart rate observed and no hyperpigmentation observed. In addition, bivamelagon has received orphan drug designation from FDA for the treatment of LEPR deficiency.
In July 2025, we announced that bivamelagon achieved statistically significant, clinically meaningful BMI reductions in patients with hypothalamic obesity in a placebo-controlled, Phase 2 trial. These results were consistent with BMI reductions achieved with setmelanotide therapy in similar patient populations in past trials. In the 14-week, double-blind, four-arm, placebo-controlled portion of the trial, bivamelagon achieved:
-9.3% BMI reduction from baseline in the 600mg cohort (n=8) (p-value=0.0004);
-7.7% BMI reduction from baseline in the 400mg cohort (n=7) (p-value=0.0002);
-2.7% BMI reduction from baseline in the 200mg cohort (n=6) (p-value = 0.0180); and
BMI for patients in the placebo cohort (n=7) increased by 2.2% over 14 weeks.
In a post-hoc analysis comparing the randomized Phase 2 results to results from prior setmelanotide trials, bivamelagon demonstrated BMI reductions consistent with BMI reductions achieved with setmelanotide therapy as observed in similar patient populations at comparable dosing durations. In this post-hoc comparison of the subset of setmelanotide patients who demonstrated study compliance and were not on concomitant glucagon-like peptide-1 (GLP-1) therapy (no patients who enrolled in the Phase 2 bivamelagon trial were on concomitant GLP-1 therapy), setmelanotide and bivamelagon achieved:
-9.7% and -10.5% mean BMI reductions achieved in a pooled patient population (n=59; n=64) from Phase 2 and Phase 3 trials of setmelanotide therapy at 12 weeks and 16 weeks, respectively; as compared to:
-8.8% and -10.1% mean BMI reductions achieved in patients (400mg n=6; 600mg n=7) at 14 weeks of bivamelagon therapy.
In addition, patients reported meaningful reductions in their ‘most’ hunger scores at 14 weeks on therapy compared to placebo, consistent with past setmelanotide trials and MC4R agonism. Patients in the 600mg (n=8) and 400mg (n=6) cohorts achieved a mean reduction greater than 2.8 points in their ‘most’ hunger scores measured on a 10-point scale at 14 weeks of bivamelagon therapy. Six patients in the 200mg arm achieved a mean reduction of 2.1 points in their ‘most’ hunger score, while patients on placebo therapy reported a mean increase of 0.8 points in their mean ‘worst’ hunger score.
Bivamelagon demonstrated safety and tolerability results consistent with MC4R agonism and mechanism of action during the placebo-controlled portion of the trial. During the placebo-controlled portion of the trial, one patient discontinued therapy due to a serious adverse event. The most common reported adverse events were episodes of diarrhea and nausea, the vast majority of which were mild or grade 1. There were reports of mild, localized hyperpigmentation from four patients, including one patient on placebo. A total of 27 patients completed the 14-week, placebo-controlled portion of the trial, and 26 of them transitioned into the open-label extension of the trial and remained in that portion of the trial, as of July 7, 2025.
With these results in hand, we plan to seek input from U.S. and EU regulatory authorities on a Phase 3 trial design to advance bivamelagon in acquired hypothalamic obesity. In addition, we are refining the formulation of bivamelagon potentially to improve tolerability ahead of initiating a Phase 3 trial. We anticipate initiating this Phase 3 trial to evaluate bivamelagon for the treatment of hypothalamic obesity in 2026.
RM-718, a next generation MC4R peptide agonist
Our MC4R peptide agonist for weekly administration, the new chemical entity, RM-718, has demonstrated the potential to reduce body weight and hunger, with favorable safety results observed in preclinical studies. RM-718 is designed to be more MC4R selective and MC1R functionally sparing with the potential to not cause hyperpigmentation. In a series of pre-clinical studies, RM-718 reduced overall body weight, body weight gain and food consumption in animal models. We initiated a Phase 1 in-human trial in the first quarter of 2024, including a multiple-ascending dose study in patients with hypothalamic obesity.
24

RM-718 is an investigational, synthetic, cyclic heptamer (7-amino acid-containing) peptide, and is designed as a selective and potent MC4R agonist that spares other melanocortin receptors. The RM-718 formulation is a sustained release depot designed for once weekly (QW), subcutaneous (SC) injection, consisting of RM-718 and excipients. The major components are phospholipids (PL) that are a natural part of the cell membrane and, once injected into tissue and coming into contact with aqueous body fluids and tissues, can precipitate and trap a co-administered drug to form a drug-PL co-precipitate (nanometer-sized phospholipid particles) that functions as a depot. Over time, this depot slowly diffuses into the surrounding tissue and/or is degraded by local phospholipase (slowly hydrolyzing phospholipids) resulting in a slow and controlled release of RM-718 over time.
Our Phase 1/2 clinical trial of RM-718 remains ongoing. This 1 trial is a four-part study to evaluate safety, tolerability and PK. The study consists of Part A: single ascending doses (SAD) of RM-718 in healthy participants 18 to 55 years old with obesity; Part B: multiple ascending doses (MAD) of RM-718 in healthy participants 18 to 55 years old with obesity; and Part C: MAD of RM-718 in patients 12 to 65 years old with hypothalamic obesity. Cohorts in Parts A and B are double-blind, placebo-controlled, and randomized 2:1. Study participants will receive one weekly dose of either RM-718 or placebo in Part A, four weekly doses of either RM-718 or placebo in Part B.
In Parts C and D of this Phase 1/2 trial, we are evaluating RM-718 in patients with hypothalamic obesity and PWS, respectively. In Part C, we plan to enroll up to 30 patients with acquired hypothalamic obesity for 16 weeks, and patients may continue on therapy for up to 52 weeks. We anticipate completing enrollment in Part C of this trial in the first quarter of 2026. For Part D, we plan to enroll up to 20 patients with PWS. We began screening patients with PWS for enrollment in December 2025, and we anticipate completing enrollment in the second half of 2026.
Nonclinical studies of RM-718 demonstrated significant and stable reduction of body weight (-12.9%) and body weight gain, reduced food, and water consumption (~ -25%) and improvement in insulin sensitivity without any pharmacological effects on the cardiovascular and respiratory systems. Studies in rodents (diet induced obese rats and mice including obese Zucker rats and Sprague Dawley rats) also demonstrated that RM-718 suppressed food intake and weight gain.
Nonclinical toxicology studies of RM-718 administered for 28 days were conducted in rats and cynomolgus monkeys with doses up to 30 mg/kg. RM-718 was well tolerated in rats and monkeys, with no evidence of systemic toxicity. RM-718-related clinical observations of hyperpigmentation of skin on the muzzle in monkeys were rare (observed in only one monkey at the 30 mg/kg dose). Microscopic analysis showed minimal to moderate increased pigment of the epidermis of the skin of the muzzle at ≥10 mg/kg/doses, and we believe this result is probably species-specific and the result of MC1R stimulation. We believe completed chronic toxicology studies in non-human primates (NHP) and rats (39 and 26 weeks, respectively) support long-term dosing in patients.
In safety pharmacology studies evaluating potential adverse effects on the cardiovascular and respiratory systems in cynomolgus monkeys, RM-718 produced no treatment-related changes in effects on heart rate, blood pressure, electrocardiographic changes, or respiratory parameters up to the 30 mg/kg weekly dose. Moreover, the MC4R peptide agonist LY2112688 (formulated by Eli Lilly and Company), continuous SC infusion for 3 days of LY2112688 at 0.5 and 1 mg/kg/day, resulted in a slight increase in blood pressure at the 1 mg/kg/day dose level, relative to the reference item (saline), with effects being more pronounced during the night cycle, with no definitive effect on heart rate. These changes were not noted following continuous administration of RM-718 at doses of 1 and 5 mg/kg/day for 3 days, with heart rate and blood pressure remaining comparable to the reference item (saline) up to 96 hours post start of infusion. A slight, non-dose dependent decrease in body temperature was seen in all test article-treated groups over the course of the study, all within normal variation for monkeys and it was not considered adverse.
Congenital Hyperinsulinism Program
In February 2023, we completed the acquisition of Xinvento B.V., or Xinvento, a Dutch private limited liability company based in the Netherlands, through our wholly-owned subsidiary Rhythm Pharmaceuticals Netherlands B.V., a Dutch private limited liability company. Xinvento was founded in 2021 to identify and develop novel investigational therapeutic candidates designed to improve the care of patients and families living with CHI.
CHI is a rare disease that we believe is well aligned with our corporate strategy and broadens our focus into an adjacent endocrine indication with a high unmet need. CHI is the most frequent cause of severe, random and persistent hypoglycemia in newborns and children. Hypoglycemia results from an over-secretion of insulin, which causes blood sugar levels to fall dangerously low. Without proper and immediate treatment, patients with CHI may suffer seizures, coma, or
25

even death and, longer term, children may experience developmental delays, epilepsy, cerebral palsy, and other neurological damage. Available treatments are suboptimal in terms of safety, tolerability and effectiveness. Patient and family surveys conducted by Congenital Hyperinsulinism International, a global patient advocacy organization, demonstrate that hypoglycemic (low blood sugar) levels are occurring one or more times per day in 48% of patients, and up to once a week in an additional 20% of patients, in each case, despite being on standard of care. In the United States, the estimated incidence rate for CHI is 1:29,000 to 1:31,000, according to the literature. With the acquisition, Rhythm acquired a suite of assets designed to treat patients with this disease. In our CHI Program, we are focused on identifying and nominating a development candidate to advance into IND-enabling studies. We anticipate nominating a development candidate in 2026.
Genetic Sequencing and Patient Finding
We continue to expand our sequencing efforts in individuals living with early-onset, severe obesity to support research, patient finding and community building efforts to better understand rare MC4R pathway diseases. Our obesity DNA database contains sequencing data from approximately 120,000 individuals, as of December 31, 2025. Our sequencing data has come from four distinct sources in recent years: the Genetic Obesity ID | Genotyping Study, a global network of collaborations with obesity researchers with individual sample collections, institutional biobanks and Uncovering Rare Obesity (URO) or Rare Obesity Advanced Diagnosis (ROAD) programs.
More than 90% of our DNA sequencing database is derived from the U.S. population. Therefore, our estimates of patient populations in Canada and Europe are more preliminary, but we believe the prevalence of these genetic diseases in Canada and Europe are similar to those in United States. By bringing additional awareness to these rare genetic diseases of obesity, our sequencing efforts have the potential to help foster patient communities and drive medical action in these populations.
URO, our sponsored genetic testing program designed to increase access to genetic testing and help determine if individuals have an underlying genetic cause of their severe obesity, is the primary driver of how we collect sequencing samples and identify patients in the North America region. As obesity has reached epidemic levels in the United States, we are focused on identifying people with early-onset obesity that may be caused by certain rare genetic variants.
This program complements several initiatives designed to advance the understanding of genetic causes of severe obesity, and URO broadens these efforts and brings access to genetic testing into the community setting. Currently available physician-ordered genetic testing panels are often cost prohibitive, while many consumer genetic tests are incomplete when it comes to genetic disorders of obesity. This makes it difficult to confirm an underlying genetic cause of severe obesity. We believe the program marks an important step in the understanding of these disorders that might help patients and their families find new diagnosis and treatment strategies in the years ahead.
Our U.S. partner, Prevention Genetics, a subsidiary of Exact Sciences Corp., a Clinical Laboratory Improvement Amendments-College of American Pathologists of CLIA/CAP-certified independent laboratory, conducts the genetic testing for URO. This program covers the cost of the test and excludes office visit, copay, sample collection, and any other related costs to a participant. In addition, as part of the program, licensed genetic counselors from PWN Health, a leading provider of professional guidance for diagnostic and genetic testing, are available to advise participating individuals.
The ROAD program outside the United States mirrors the URO program as it is designed to increase awareness of rare MC4R pathway diseases caused by genetic variants and support patient identification in the International region. We collect samples from individuals with severe obesity from seven countries, including Spain, Italy, Ireland, Israel, Turkey and Germany. Our partner CGC Genetics Unilabs conducts genetic testing for ROAD. This program covers the cost of the test, the kit and shipment.
As of the end of 2025, we have collected samples from approximately 120,000 individuals with severe obesity, primarily through our URO and ROAD programs, which now are our primary source of sequencing samples.
Commercial Efforts for IMCIVREE
We are focused on developing our global commercial infrastructure to make IMCIVREE available in as many markets as possible.
26

IMCIVREE, an MC4R agonist for which we hold worldwide rights, is the first-ever precision medicine developed for patients with certain rare MC4R-pathway diseases approved or authorized in the United States, the EU, the United Kingdom, Canada and other countries and regions. IMCIVREE is approved by the FDA to reduce excess body weight and maintain weight reduction long term in adult and pediatric patients aged 2 years and older with syndromic or monogenic obesity due to BBS or POMC, PCSK1, or LEPR deficiency, as determined by an FDA-approved test demonstrating variants in POMC, PCSK1, or LEPR genes that are interpreted as pathogenic, likely pathogenic, or VUS. The EC and the MHRA have authorized IMCIVREE for the treatment of obesity and the control of hunger associated with genetically confirmed BBS or loss-of-function biallelic POMC, including PCSK1, deficiency or biallelic LEPR deficiency in adults and children 2 years of age and above.
We have achieved market access or named patient sales for IMCIVREE for BBS or POMC and LEPR deficiencies, or both, in more than 25 countries outside the United States, and we continue to collaborate with authorities to achieve access in additional markets. To date, we have had named patient sales in Austria, Greece, Russia, Switzerland and Turkey, among other countries.
Pending regulatory approvals, we anticipate launching IMCIVREE for acquired hypothalamic obesity in the United States in 2026, based on our FDA-assigned Prescription Drug User Fee Act (PDUFA) goal date of March 20, 2026. Regulatory review for our Type II variation submission is also ongoing in Europe. We anticipate disclosing topline data from a 12-patient Japanese cohort of our Phase 3 trial evaluating setmelanotide for acquired hypothalamic obesity in March 2026, and pending positive data, completing a new drug application submission in Japan. Regulatory decisions in Europe and Japan are anticipated later in 2026 or 2027.
While we are focused on commercial access for IMCIVREE, we are working with the broader community of patients and families, physicians, scientists and more to engage with them on the impact of hyperphagia and severe obesity caused by rare MC4R pathway diseases. Individually, populations with each of these MC4R pathway diseases are rare, and affected patients face many of the same challenges as any classically rare disease patient populations. There is little or no awareness about rare MC4R pathway diseases, and the patients suffering from them are often lost in the health care system, with limited educational resources and no effective treatments for their condition. All our efforts and services described above are designed to address the challenges of rare diseases and lay the groundwork for potential future launches, with a focus on scalability.
Competition
The biotechnology and pharmaceutical industries are intensely competitive and subject to rapid and significant technological change. See “Item 1A. “Risk Factors—Risks Related to the Commercialization of IMCIVREE and, if Approved, our Products Candidates—Our industry and the obesity market in particular is intensely competitive. If we are not able to compete effectively against current and future competitors, we may not be able to generate revenue from the sale of IMCIVREE, our business will not grow and our financial condition and operations will suffer.”
Currently, IMCIVREE is the only approved treatment for weight management in patients with obesity due to BBS or POMC, PCSK1 or LEPR deficiencies, and there are no other approved treatments for addressing hyperphagia related behaviors of patients with rare MC4R pathway diseases. Metabolic and bariatric surgery may be less effective at achieving long-term weight loss in patients with MC4R pathway diseases given that hyperphagia increases risk of weight regain. Also, existing therapies indicated for general obesity and those in clinical development for the same, such as incretin therapies that target the receptors for the hormones glucagon-like peptide-1 (GLP-1) and glucose-stimulated insulinotropic polypeptide (GIP), do not specifically target or restore function impaired by genetic deficiencies and trauma to the hypothalamus that disrupt MC4R pathway signaling, which we believe is a root cause of hyperphagia and obesity in patients with these diseases. Studies such as the SURMOUNT 1 study, which served as the basis of the FDA approval of tirzepitide for obesity, specifically excluded patients with: “obesity induced by other endocrinologic disorders or monogenetic or syndromic forms of obesity.” At present, we are aware of multiple ongoing research and development programs for general obesity with various new mechanisms of action including some MC4R agonists. Several companies report having early-stage programs that are exploring MC4R agonism, with the majority being in the pre-clinical or discovery phase. New competitors may emerge which could limit our business opportunity in the future.
27

Licensing Agreements
Ipsen Pharma S.A.S.
Pursuant to our March 21, 2013 license agreement with Ipsen Pharma S.A.S., or Ipsen, we have an exclusive, sublicensable, worldwide license to certain patents and other intellectual property rights to research, develop, and commercialize compounds that were discovered or researched by Ipsen in the course of conducting its MC4R program or that otherwise were covered by the licensed patents. Rights under the license included the right to research, develop and commercialize setmelanotide. Pursuant to the license, we have a non-exclusive, sublicensable, worldwide license to certain patents and other intellectual property rights that were licensed by Ipsen from a third-party or that Ipsen may develop in the future to research, develop, and commercialize any of the compounds exclusively licensed by Ipsen pursuant to the license.
Under the terms of the Ipsen license agreement, Ipsen is eligible to receive payments of up to $40.0 million upon the achievement of certain milestones in connection with the development, regulatory approval and commercialization of applicable licensed products, and royalties on future sales of the licensed products. Substantially, all of the aggregate payments under the Ipsen license agreement are for milestones that may be achieved no earlier than first commercial sale of the applicable licensed product, and as of December 31, 2025, we have paid $4.0 million in clinical and regulatory milestones and $9.0 million in commercial milestones. Royalties in the mid-single digits on future sales of the applicable licensed products will be due under the Ipsen license agreement on a licensed product-by-licensed product and country-by-country basis until the later of the date when sales of a licensed product in a particular country are no longer covered by patent rights licensed pursuant to the Ipsen license agreement and the tenth anniversary of the date of the first commercial sale of the applicable licensed product in the applicable country. The term of the Ipsen license agreement continues until the expiration of the applicable royalty term on a country-by-country and product-by-product basis. Upon expiration of the term of the agreement, the licensed rights granted to us under the agreement, to the extent they remain in effect at the time of expiration, will thereafter become irrevocable, perpetual and fully paid-up licenses that survive the expiration of the term. We have a right to terminate the license agreement at any time during the term for any reason on 180 days’ written notice to Ipsen. Ipsen has a right to terminate the agreement prior to expiration of its term for our material breach of the agreement, our failure to initiate or complete development of a licensed product or our bringing an action seeking to have an Ipsen license patent right declared invalid. Upon any early termination of the license agreement not due to Ipsen’s material breach, all licensed rights granted under the license agreement will terminate.
Camurus
In January 2016, we entered into a license agreement for the use of Camurus’ drug delivery technology, FluidCrystal®, to formulate setmelanotide in collaboration with Camurus. Under the terms of the agreement, Camurus granted us a worldwide license to the FluidCrystal® technology to formulate setmelanotide and to develop, manufacture, and commercialize this new formulation for once-weekly dosing, administered as a subcutaneous injection. The license granted to us is specific to the FluidCrystal® technology incorporating setmelanotide. Under the terms of the license agreement, we are responsible for manufacturing, development, and commercialization of the setmelanotide FluidCrystal® formulation worldwide. Camurus received a non-refundable and non-creditable upfront payment of $0.5 million in January 2016, and is eligible to receive progressive payments of approximately $65.0 million, of which the majority are sales milestones. As of December 31, 2025, we have made $2.3 million of milestone payments to Camurus. In addition, Camurus is eligible to receive tiered, mid to mid-high, single-digit royalties on future sales of the product.
The term of the agreement continues until the expiration of the applicable royalty term on a country-by-country and product-by-product basis. Upon expiration of the term of the agreement, the licensed rights granted to us under the agreement, to the extent they remain in effect at the time of expiration, will thereafter become irrevocable, perpetual and fully paid-up licenses that survive the expiration of the term. We have a right to terminate the license agreement at any time during the term for any reason upon 90 days’ written notice to Camurus. Camurus has a right to terminate the agreement prior to expiration of its term for our material breach of the agreement, if we voluntarily or involuntarily file for bankruptcy, or for our bringing an action seeking to have a Camurus license patent right declared invalid. Upon any early termination of the license agreement not due to Camurus’ material breach, all licensed rights granted under the license agreement will terminate.
LG Chem
In January 2024, we entered into a license agreement and share issuance agreement with LG Chem, Ltd, or LGC. Under the terms of the license agreement, we obtained worldwide rights to exploit LGC’s proprietary compound
28

bivamelagon and have assumed sponsorship of two ongoing LGC Phase 2 studies designed to evaluate safety, tolerability, pharmacokinetics and weight loss efficacy of bivamelagon. The SIGNAL trial is a randomized, placebo-controlled, double-blind study designed to enroll and evaluate approximately 28 patients with acquired hypothalamic obesity. Participants will receive one of three doses of bivamelagon by oral administration once daily for up to 52 weeks, and the primary endpoint of the study is the change from baseline in body mass index after 14 weeks of treatment. The open-label, single-arm, 16-week ROUTE trial is designed to enroll five patients with POMC or LEPR deficiency obesity.
In connection with our entry into the license agreement with LGC, we paid LGC $40.0 million in cash and issued shares of our common stock with an aggregate value of $20.0 million. The shares were issued at a per share price equal to the ten-day volume weighted-average closing price for our common stock, calculated as of the trading day immediately prior to January 4, 2024. On July 1, 2025, we made the final payment for fixed consideration of an additional $40.0 million, which under the terms of the license agreement was due and payable 18 months after the effective date of the license agreement.
In addition and subject to, among other conditions, the completion of Phase 2 development of bivamelagon, we have agreed to pay LGC royalties of between low-to-mid single digit percent of net revenues from products covered by our patent portfolio directed toward the MC4R agonists, including setmelanotide, RM-718, and bivamelagon (collectively, our “MC4R portfolio”), including bivamelagon, commencing in 2029 and also dependent upon achievement of various regulatory and indication approvals, and subject to customary deductions and anti-stacking provisions. Royalties may further increase to a low, double-digit percent royalty, though such royalty would only be applicable on net sales of bivamelagon in a region if bivamelagon is covered by a composition of matter or method of use patent controlled by LGC in such region and our MC4R portfolio is not covered by any composition of matter or method of use patents controlled by us in such region. Such increased rate would only apply on net sales of bivamelagon for the limited remainder of the royalty term in the relevant region.
Patents and Proprietary Rights
Our MC4R portfolio of licensed and exclusively owned patent families, which includes setmelanotide, RM-718, and bivamelagon, consists of 45 patent families currently being prosecuted or maintained, which include applications and patents directed to compositions of matter, formulations, and methods of making, and methods of treatment. These patent families have been filed in over 40 jurisdictions, including all major markets such as the United States, Europe, Australia, Brazil, Canada, China, India, Israel, Japan, Korea, Mexico, New Zealand, Russia, and Singapore. In the key patent families directed to selected peptide-based MC4R receptor agonists, including the composition of matter for setmelanotide, we have 20 issued United States patents and over 240 issued non-United States patents in various jurisdictions. Patents issuing in these patent families will have a standard 20-year term and expire between 2026 and 2046, in each instance provided that all appropriate maintenance fees are paid and not including any patent term adjustment, patent term extension, or supplementary protection certificates that may be available on a country-by-country basis. For example, in a key patent family providing composition of matter coverage for setmelanotide, we have received 5 years of patent term extension in the United States, extending patent protection in that patent family through 2032.
In addition to the patents and patent applications discussed above, we co-own one patent family with the University of Strasbourg and the French National Institute of Health and Medical Research, which is directed to specific uses of MC4R agonists. We also own three patent families directed to small molecule compounds for use in our CHI program, with patent claims that will expire when issued between 2043 and 2045, without factoring in any available patent term extension.
Intellectual Property Protection Strategy
We currently seek, and intend to continue seeking, patent protection whenever commercially reasonable for any patentable aspects of setmelanotide and related technology or any new products or product candidates we acquire in the future. Where our intellectual property is not protected by patents, we may seek to protect it through other means, including maintenance of trade secrets and careful protection of our proprietary information. Our license from Ipsen for the melanocortin program requires Ipsen, subject to certain exceptions and upon consultation with us, to prosecute and maintain its patent rights as they relate to the licensed compounds and methods. If Ipsen decides to cease prosecution or maintenance of any of the licensed patent rights, we have the option to take over prosecution and maintenance of those patents and Ipsen will assign to us all of its rights in such patents. For those patent rights that we own exclusively, we control all prosecution and maintenance activities.
29

The patent positions of biopharmaceutical companies are generally uncertain and involve complex legal, scientific and factual questions. In addition, the coverage claimed in a patent application can be significantly reduced before the patent is issued, and its scope can be reinterpreted after issuance. Consequently, we do not know whether the product candidate we in-license will be protectable or remain protected by enforceable patents. We cannot predict whether the patent applications we are currently pursuing will issue as patents in any particular jurisdiction, and furthermore, we cannot determine whether the claims of any issued patents will provide sufficient proprietary protection to protect us from competitors, or will be challenged, circumvented or invalidated by third parties. Because patent applications in the United States and certain other jurisdictions are maintained in secrecy for 18 months, and since publication of discoveries in the scientific or patent literature often lags behind actual discoveries, we cannot be certain of the priority of inventions covered by pending patent applications. This potential issue is exacerbated by the fact that, prior to March 16, 2013, in the United States, the first to make the claimed invention may be entitled to the patent. On March 16, 2013, the United States transitioned to a “first to file” system in which the first inventor to file a patent application may be entitled to the patent. For applications filed prior to the institution of the “first to file” system, we may have to participate in interference proceedings declared by the United States Patent and Trademark Office, or PTO, or a foreign patent office to determine priority of invention. Moreover, we may have to participate in other proceedings declared by the United States PTO or a foreign patent office, such as post-grant proceedings and oppositions, that challenge the validity of a granted patent. Such proceedings could result in substantial cost, even if the eventual outcome is favorable to us.
Although we currently have issued patents directed to a number of different attributes of our products, and pending applications on others, there can be no assurance that any issued patents would be held valid by a court of competent jurisdiction. An adverse outcome could subject us to significant liabilities to third parties, require disputed rights to be licensed from third parties or require us to cease using specific compounds or technology. To the extent prudent, we intend to bring litigation against third parties that we believe are infringing our patents.
The term of individual patents depends upon the legal term of the patents in the countries in which they are obtained. In most countries in which we file, the patent term is 20 years from the earliest date of filing a non-provisional patent application. In the United States, a patent’s term may be lengthened by patent term adjustment, which compensates a patentee for administrative delays by the United States PTO in granting a patent, or may be shortened if a patent is terminally disclaimed over another patent with an earlier expiration date.
As mentioned above, in the United States, the patent term of a patent that covers an FDA-approved drug may also be eligible for patent term extension, which permits patent term restoration as compensation for the patent term lost during the FDA regulatory review process. IMCIVREE has received FDA approval and we have been awarded patent term extension on that product. In the future, if and when our other pharmaceutical products receive FDA approval, we expect to apply for patent term extensions on patents covering those products. We intend to seek patent term adjustments and extensions to any of our issued patents in any jurisdiction where these are available; however, there is no guarantee that the applicable authorities, including the FDA in the United States, will agree with our assessment of whether such extensions should be granted, and even if granted, the length of such adjustments or extensions.
To protect our rights to any of our issued patents and proprietary information, we may need to litigate against infringing third parties, or avail ourselves of the courts, or participate in hearings to determine the scope and validity of those patents or other proprietary rights. These types of proceedings are often costly and could be very time-consuming to us, and we cannot be certain that the deciding authorities will rule in our favor. An unfavorable decision could result in the invalidation or a limitation in the scope of our patents or forfeiture of the rights associated with our patents or pending patent applications. Any such decision could result in our key technologies not being protectable, allowing third parties to use our technology without being required to pay us licensing fees or may compel us to license needed technologies from third parties to avoid infringing third-party patent and proprietary rights. Such a decision could even result in the invalidation or a limitation in the scope of our patents or could cause us to lose our rights under existing issued patents or not to have rights granted under our pending patent applications.
We also rely on trade secret protection for our confidential and proprietary information. Although we take steps to protect     our proprietary information and trade secrets, including through contractual means with our employees and consultants, no assurances can be given that others will not independently develop substantially equivalent proprietary information and techniques or otherwise gain access to our trade secrets or disclose such technology, or that we can meaningfully protect our trade secrets. It is our policy to require our employees, consultants, outside scientific collaborators, sponsored researchers and other advisors to execute confidentiality agreements upon the commencement of employment or consulting relationships with us. These agreements provide that all confidential information developed or made known to the individual during the course of the individual’s relationship with us is to be kept confidential and not
30

disclosed to third parties except in specific circumstances. In the case of employees, the confidentiality agreements further provide that all inventions conceived by the individual will be our exclusive property. There can be no assurance, however, that these agreements will provide meaningful protection or adequate remedies for our trade secrets in the event of unauthorized use or disclosure of such information.
Manufacturing
We currently contract with various third parties for the manufacture of setmelanotide and intend to continue to do so in the future. We have entered into process development and manufacturing service agreements with our CMOs, including, PolyPeptide Group, Braine L’Alleud, or Polypeptide, Neuland Laboratories, and Astrea Monts S.A.S (formerly Recipharm), or Astrea, for certain process development and manufacturing services for regulatory starting materials and/or drug substance, or API, and drug product in connection with the manufacture of setmelanotide. We have also entered into commercial supply agreements, including with Polypeptide and Astrea for manufacturing of drug substance, or API, and drug product for IMCIVREE. Under our agreements, we pay these third parties for services and/or manufacturing in accordance with the terms of mutually agreed upon work orders, which we may enter into from time to time. We may need to engage additional third-party suppliers to manufacture our clinical and commercial drug supplies in the future. In connection with our commercialization of IMCIVREE or any future product candidate, we have engaged and could engage other third parties to assist in manufacturing and/or supply chain related activities. While there are a limited number of companies that can produce raw materials and API in the quantities and with the quality and purity that we require for our product, based on our diligence to date, we believe our current network of manufacturing partners are able to fulfill these requirements, and are capable of continuing to expand capacity as needed. Additionally, we have evaluated, and will continue to evaluate potential relationships with additional suppliers to increase overall capacity as well as further reduce risks associated with reliance on a limited number of suppliers for manufacturing.
Our contract manufacturing agreements give us visibility into the expected future cost of producing setmelanotide at commercial scale. Based upon a range of prices of currently-marketed therapies indicated for orphan diseases, we believe that our cost of goods for setmelanotide will continue to be highly competitive.
We currently have no plans to build our own clinical or commercial scale manufacturing capabilities. To meet our projected needs for clinical supplies to support our activities through regulatory approval and commercial manufacturing, the CMOs with whom we currently work may need to increase scale of production or we expect that we may need to secure additional capacity or seek alternate suppliers. We believe that our current suppliers and CMOs are able to scale production to meet our clinical and commercial demands. Because we rely on these CMOs, we have personnel with pharmaceutical development and manufacturing experience who are responsible for maintaining our CMO relationships.
IMCIVREE is distributed in the United States through a specialty pharmacy and in the EU/UK through third-party service providers that deliver the medication to patients. We plan to continue building out our network for commercial distribution in jurisdictions in which IMCIVREE is approved.
Regulatory Matters
Government Regulation
Government authorities in the United States, at the federal, state and local level, and other countries extensively regulate, among other things, the research, development, testing, manufacture, quality control, approval, labeling, packaging, storage, record-keeping, promotion, advertising, distribution, marketing and export and import of drug products. A new drug must be approved by the FDA through the New Drug Application, or NDA, process or by comparable foreign regulatory authorities through similar applications before it may be legally marketed in the United States and in foreign jurisdictions. We, along with any third-party contractors, will be required to navigate the various preclinical, clinical and commercial approval requirements of the governing regulatory agencies of the countries in which we wish to conduct studies or seek approval of our products and product candidates. The process of obtaining regulatory approvals and the subsequent compliance with applicable federal, state, local and foreign statutes and regulations require the expenditure of substantial time and financial resources.
U.S. Drug Development Process
In the United States, the FDA regulates drugs under the federal Food, Drug, and Cosmetic Act (FDCA) and its implementing regulations. The process of obtaining regulatory approvals and the subsequent compliance with appropriate
31

federal, state, local and foreign statutes and regulations require the expenditure of substantial time and financial resources. The process required by the FDA before a drug may be marketed in the United States generally involves the following:
completion of preclinical laboratory tests, animal studies and formulation studies, certain of which must be conducted in accordance with FDA’s Good Laboratory Practice requirements and other applicable regulations;
submission to the FDA of an IND, which must become effective before human clinical trials may begin;
approval by an independent Institutional Review Board (IRB) or ethics committee at each clinical site before each trial may be initiated;
performance of adequate and well-controlled human clinical trials in accordance with good clinical practices (GCPs), to establish the safety and efficacy of the proposed drug for its intended use;
preparation of and submission to the FDA of an NDA after completion of all pivotal trials;
a determination by the FDA within 60 days of its receipt of an NDA to file the application for review
satisfactory completion of an FDA advisory committee review, if applicable;
satisfactory completion of an FDA inspection of the manufacturing facility or facilities at which the drug is produced to assess compliance with current Good Manufacturing Practice (cGMP) requirements to assure that the facilities, methods and controls are adequate to preserve the drug’s identity, strength, quality and purity, and potential inspection of selected clinical investigation sites to assess compliance with GCPs; and
FDA review and approval of the NDA to permit commercial marketing of the product for particular indications for use in the United States.
Prior to beginning the first clinical trial with a product candidate in the United States, a sponsor must submit an IND to the FDA. An IND is a request for allowance from the FDA to administer an investigational new drug product to humans. The central focus of an IND submission is on the general investigational plan and the protocol(s) for clinical studies. The IND also includes results of animal and in vitro studies assessing the toxicology, pharmacokinetics, pharmacology, and pharmacodynamic characteristics of the product; chemistry, manufacturing, and controls information; and any available human data or literature to support the use of the investigational product. An IND must become effective before human clinical trials may begin. The IND automatically becomes effective 30 days after receipt by the FDA, unless the FDA, within the 30- day time period, raises safety concerns or questions about the proposed clinical trial. In such a case, the IND may be placed on clinical hold and the IND sponsor and the FDA must resolve any outstanding concerns or questions before the clinical trial can begin. Submission of an IND therefore may or may not result in FDA allowance to begin a clinical trial.
Clinical trials involve the administration of the investigational product to human subjects under the supervision of qualified investigators in accordance with GCPs, which among other things, include the requirement that all research subjects provide their informed consent for their participation in any clinical study. Clinical trials are conducted under protocols detailing, among other things, the objectives of the study, the parameters to be used in monitoring safety and the effectiveness criteria to be evaluated. A separate submission to the existing IND must be made for each successive clinical trial conducted during product development and for any subsequent protocol amendments. While the IND is active, progress reports summarizing the results of the clinical trials and nonclinical studies performed since the last progress report, among other information, must be submitted at least annually to the FDA, and written IND safety reports must be submitted to the FDA and investigators for serious and unexpected suspected adverse events, findings from other studies suggesting a significant risk to humans exposed to the same or similar drugs, findings from animal or in vitro testing suggesting a significant risk to humans, and any clinically important increased incidence of a serious suspected adverse reaction compared to that listed in the protocol or investigator brochure.
Furthermore, an independent IRB for each site proposing to conduct the clinical trial must review and approve the plan for any clinical trial and its informed consent form before the clinical trial begins at that site and must monitor the study until completed. Some studies also include oversight by an independent group of qualified experts organized by the clinical study sponsor, known as a data safety monitoring board, which provides authorization for whether or not a study may move forward at designated check points based on access to certain data from the study and may halt the clinical trial
32

if it determines that there is an unacceptable safety risk for subjects or other grounds, such as no demonstration of efficacy. Depending on its charter, this group may determine whether a trial may move forward at designated check points based on access to certain data from the trial. The FDA or the sponsor may suspend a clinical trial at any time on various grounds, including a finding that the research subjects or patients are being exposed to an unacceptable health risk. Similarly, an IRB can suspend or terminate approval of a clinical trial at its institution if the clinical trial is not being conducted in accordance with the IRB’s requirements or if the drug has been associated with unexpected serious harm to patients. There are also requirements governing the reporting of ongoing clinical studies and clinical study results to public registries.
Human clinical trials are typically conducted in three sequential phases that may overlap or be combined:
Phase 1: The product candidate is initially introduced into healthy human subjects or patients with the target disease or condition. These studies are designed to test the safety, dosage tolerance, absorption, metabolism and distribution of the investigational product in humans, the side effects associated with increasing doses, and, if possible, to gain early evidence on effectiveness.
Phase 2: The product candidate is administered to a limited patient population with a specified disease or condition to evaluate the preliminary efficacy, optimal dosages and dosing schedule and to identify possible adverse side effects and safety risks. Multiple Phase 2 clinical trials may be conducted to obtain information prior to beginning larger and more expensive Phase 3 clinical trials.
Phase 3: The product candidate is administered to an expanded patient population to further evaluate dosage, to provide statistically significant evidence of clinical efficacy and to further test for safety, generally at multiple geographically dispersed clinical trial sites. These clinical trials are intended to establish the overall risk/benefit ratio of the investigational product and to provide an adequate basis for product approval.
In some cases, the FDA may require, or sponsors may voluntarily pursue, additional clinical trials after a product is approved to gain more information about the product. These so-called Phase 4 studies, may be conducted after initial marketing approval, and may be used to gain additional experience from the treatment of patients in the intended therapeutic indication. In certain instances, the FDA may mandate the performance of Phase 4 clinical trials as a condition of approval of an NDA.
Concurrent with clinical trials, companies usually complete additional animal studies and must also develop additional information about the chemistry and physical characteristics of the drug and finalize a process for manufacturing the product in commercial quantities in accordance with cGMP requirements. The manufacturing process must be capable of consistently producing quality batches of the product candidate and, among other things, the manufacturer must develop methods for testing the identity, strength, quality and purity of the final drug. In addition, appropriate packaging must be selected and tested, and stability studies must be conducted to demonstrate that the product candidate does not undergo unacceptable deterioration over its shelf life.
U.S. Review and Approval Process
Assuming successful completion of all required testing in accordance with all applicable regulatory requirements, the results of product development, including results from preclinical and other non-clinical studies and clinical trials, along with descriptions of the manufacturing process, analytical tests conducted on the chemistry of the drug, proposed labeling and other relevant information are submitted to the FDA as part of an NDA requesting approval to market the product. Data can come from company-sponsored clinical studies intended to test the safety and effectiveness of a use of the product, or from a number of alternative sources, including studies initiated by independent investigators. The submission of an NDA is subject to the payment of substantial user fees; a waiver of such fees may be obtained under certain limited circumstances. Additionally, no user fees are assessed on NDAs for products designated as orphan drugs, unless the product also includes a non-orphan indication.
The FDA conducts a preliminary review of all NDAs within the first 60 days after submission, before accepting them for filing, to determine whether they are sufficiently complete to permit substantive review The FDA may request additional information rather than accept an NDA for filing. In this event, the NDA must be resubmitted with the additional information. The resubmitted application also is subject to review before the FDA accepts it for filing. Once filed, the FDA reviews an NDA to determine, among other things, whether a product is safe and effective for its intended use and whether its manufacturing is cGMP-compliant to assure and preserve the product’s identity, strength, quality and purity. Under the Prescription Drug User Fee Act (PDUFA) guidelines that are currently in effect, the FDA has a goal of ten months from the
33

filing date to complete a standard review of an NDA for a drug that is a new molecular entity. This review typically takes twelve months from the date the NDA is submitted to FDA because the FDA has approximately two months to make a “filing” decision after it the application is submitted.
The FDA may refer an application for a novel drug to an advisory committee. An advisory committee is a panel of independent experts, including clinicians and other scientific experts, that reviews, evaluates and provides a recommendation as to whether the application should be approved and under what conditions. The FDA is not bound by the recommendations of an advisory committee, but it considers such recommendations carefully when making decisions.
Before approving an NDA, the FDA will typically inspect the facility or facilities where the product is manufactured. The FDA will not approve an application unless it determines that the manufacturing processes and facilities are in compliance with cGMP and adequate to ensure consistent production of the product within required specifications. Additionally, before approving an NDA, the FDA will typically inspect one or more clinical sites to assure compliance with GCPs.
After the FDA evaluates an NDA and conducts inspections of manufacturing facilities where the investigational product and/or its drug substance will be produced, the FDA may issue an approval letter or a Complete Response Letter (CRL). An approval letter authorizes commercial marketing of the product with specific prescribing information for specific indications. A CRL will describe all of the deficiencies that the FDA has identified in the NDA, except that where the FDA determines that the data supporting the application are inadequate to support approval, the FDA may issue the CRL without first conducting required inspections and/or reviewing proposed labeling. In issuing the CRL, the FDA may recommend actions that the applicant might take to place the NDA in condition for approval, including requests for additional information or clarification. The FDA may delay or refuse approval of an NDA if applicable regulatory criteria are not satisfied, require additional testing or information and/or require post-marketing testing and surveillance to monitor safety or efficacy of a product.
If regulatory approval of a product is granted, such approval will be granted for particular indications and may entail limitations on the indicated uses for which such product may be marketed. For example, the FDA may approve the NDA with a Risk Evaluation and Mitigation Strategy (REMS) to ensure the benefits of the product outweigh its risks. A REMS is a safety strategy to manage a known or potential serious risk associated with a medicine and to enable patients to have continued access to such medicines by managing their safe use, and could include medication guides, physician communication plans, or elements to assure safe use, such as restricted distribution methods, patient registries, and other risk minimization tools. The FDA also may condition approval on, among other things, changes to proposed labeling or the development of adequate controls and specifications. The FDA may also require one or more Phase 4 post- market studies and surveillance to further assess and monitor the product’s safety and effectiveness after commercialization, and may limit further marketing of the product based on the results of these post-marketing studies.
In addition, the Pediatric Research Equity Act (PREA) requires a sponsor to conduct pediatric clinical trials for most drugs, for a new active ingredient, new indication, new dosage form, new dosing regimen or new route of administration. Under PREA, original NDAs and supplements must contain a pediatric assessment unless the sponsor has received a deferral or waiver. The required assessment must evaluate the safety and effectiveness of the product for the claimed indications in all relevant pediatric subpopulations and support dosing and administration for each pediatric subpopulation for which the product is safe and effective. The sponsor or FDA may request a deferral of pediatric clinical trials for some or all of the pediatric subpopulations. A deferral may be granted for several reasons, including a finding that the drug is ready for approval for use in adults before pediatric clinical trials are complete or that additional safety or effectiveness data needs to be collected before the pediatric clinical trials begin. The FDA must send a non-compliance letter to any sponsor that fails to submit the required assessment, keep a deferral current or fails to submit a request for approval of a pediatric formulation.
Expedited Development and Review Programs
The FDA offers a number of expedited development and review programs for qualifying product candidates. For example, the Fast Track program is intended to expedite or facilitate the process for reviewing new products that are intended to treat a serious or life-threatening disease or condition and demonstrate the potential to address unmet medical needs for the disease or condition. Fast Track designation applies to the combination of the product and the specific indication for which it is being studied. The sponsor of a Fast Track product has opportunities for more frequent interactions with the applicable FDA review team during product development and, once an NDA is submitted, the application may be eligible for priority review. An NDA for a Fast Track product candidate may also be eligible for rolling
34

review, where the FDA may consider for review sections of the NDA on a rolling basis before the complete application is submitted, if the sponsor provides a schedule for the submission of the sections of the NDA, the FDA agrees to accept sections of the NDA and determines that the schedule is acceptable, and the sponsor pays any required user fees upon submission of the first section of the NDA.
A product candidate intended to treat a serious or life-threatening disease or condition may also be eligible for Breakthrough Therapy designation to expedite its development and review. A product candidate can receive Breakthrough Therapy designation if preliminary clinical evidence indicates that the product candidate, alone or in combination with one or more other drugs or biologics, may demonstrate substantial improvement over existing therapies on one or more clinically significant endpoints, such as substantial treatment effects observed early in clinical development. The designation includes all of the Fast Track program features, as well as more intensive FDA interaction and guidance beginning as early as Phase 1 and an organizational commitment to expedite the development and review of the product candidate, including involvement of senior managers.
Any marketing application for a drug submitted to the FDA for approval, including a product candidate with a Fast Track designation and/or Breakthrough Therapy designation, may be eligible for other types of FDA programs intended to expedite the FDA review and approval process, such as priority review. An NDA is eligible for priority review if the product candidate is designed to treat a serious or life-threatening disease or condition, and if approved, would provide a significant improvement in safety or effectiveness compared to available alternatives for such disease or condition. For new-molecular-entity NDAs, priority review designation means the FDA’s goal is to take action on the marketing application within six months of the 60-day filing date.
Additionally, depending on the design of the applicable clinical trials, product candidates studied for their safety and effectiveness in treating serious or life-threatening diseases or conditions may receive accelerated approval upon a determination that the product has an effect on a surrogate endpoint that is reasonably likely to predict clinical benefit, or on a clinical endpoint that can be measured earlier than irreversible morbidity or mortality, that is reasonably likely to predict an effect on irreversible morbidity or mortality or other clinical benefit, taking into account the severity, rarity, or prevalence of the condition and the availability or lack of alternative treatments. As a condition of accelerated approval, the FDA will generally require the sponsor to perform adequate and well-controlled confirmatory clinical studies to verify and describe the anticipated effect on irreversible morbidity or mortality or other clinical benefit, and may require that such confirmatory studies be underway prior to granting any accelerated approval. Products receiving accelerated approval may be subject to expedited withdrawal procedures if the sponsor fails to conduct the required confirmatory studies in a timely manner or if such studies fail to verify the predicted clinical benefit. In addition, the FDA currently requires as a condition for accelerated approval pre-approval of promotional materials, which could adversely impact the timing of the commercial launch of the product.
Fast Track designation, Breakthrough Therapy designation, priority review, and accelerated approval do not change the standards for approval, but may expedite the development or approval process. Even if a product candidate qualifies for one or more of these programs, the FDA may later decide that the product no longer meets the conditions for qualification or decide that the time period for FDA review or approval will not be shortened.
Orphan Drug Designation and Exclusivity
Under the Orphan Drug Act, the FDA may grant orphan designation to a drug intended to treat a rare disease or condition, defined as a disease or condition with a patient population of fewer than 200,000 individuals in the United States, or a patient population greater than 200,000 individuals in the United States and when there is no reasonable expectation that the cost of developing and making available the drug in the United States will be recovered from sales in the United States for that drug. Orphan drug designation must be requested before submitting an NDA. After the FDA grants orphan drug designation, the generic identity of the therapeutic agent and its potential orphan use are disclosed publicly by the FDA.
If a product that has orphan drug designation subsequently receives the first FDA approval for a particular active ingredient for the disease for which it has such designation, the product is entitled to orphan product exclusivity, which means that the FDA may not approve any other applications, including a full NDA, to market the same drug for the same approved indication or use for seven years, except in limited circumstances, such as a showing of clinical superiority to the product with orphan drug exclusivity within the relevant indication or use or if the FDA finds that the holder of the orphan drug exclusivity has not shown that it can assure the availability of sufficient quantities of the orphan drug to meet the needs relating to the approved indication or use of patients with the disease or condition for which the drug was designated.
35

Orphan drug exclusivity does not prevent the FDA from approving a different drug for the same indication or use, or the same drug for any indication or use within a different disease or condition. Among the other benefits of orphan drug designation are tax credits for certain research and a waiver of the NDA application user fee.
A designated orphan drug may not receive orphan drug exclusivity if it is approved for a use that is broader than the indication for which it received orphan designation. In addition, orphan drug exclusive marketing rights in the United States may be lost if the FDA later determines that the request for designation was materially defective or, as noted above, if a second applicant demonstrates that its product is clinically superior to the approved product with orphan exclusivity or the manufacturer of the approved product is unable to assure sufficient quantities of the product to meet the needs relating to the approved indication or use of patients with the rare disease or condition.
Post-approval Requirements
Drug products manufactured or distributed pursuant to FDA approvals are subject to pervasive and continuing regulation by the FDA, including, among other things, requirements relating to record-keeping, reporting of adverse experiences, periodic reporting, product sampling and distribution, and advertising and promotion of the product. After approval, most changes to the approved product, such as adding new indications or other labeling claims, are subject to prior FDA review and approval. There also are continuing, annual program fees for any marketed products. Drug manufacturers and their subcontractors are required to register their establishments with the FDA and certain state agencies, and are subject to periodic unannounced inspections by the FDA and certain state agencies for compliance with cGMP, which impose certain procedural and documentation requirements upon us and our third-party manufacturers. Changes to the manufacturing process are strictly regulated, and, depending on the significance of the change, may require prior FDA approval before being implemented. FDA regulations also require investigation and correction of any deviations from cGMP and impose reporting requirements. Accordingly, manufacturers must continue to expend time, money and effort in the area of production and quality control to maintain compliance with cGMP and other aspects of regulatory compliance.
The FDA may withdraw approval if compliance with regulatory requirements and standards is not maintained or if problems occur after the product reaches the market. Later discovery of previously unknown problems with a product, including adverse events of unanticipated severity or frequency, or with manufacturing processes, or failure to comply with regulatory requirements, may result in revisions to the approved labeling to add new safety information; imposition of post-market studies or clinical studies to assess new safety risks; or imposition of distribution restrictions or other restrictions under a REMS program. Other potential consequences include, among other things:
restrictions on the marketing or manufacturing of the product, complete withdrawal of the product from the market or product recalls;
fines, warning letters, or untitled letters;
clinical holds on clinical studies;
refusal of the FDA to approve pending applications or supplements to approved applications, or suspension or revocation of product approvals;
product seizure or detention, or refusal to permit the import or export of products;
consent decrees, corporate integrity agreements, debarment or exclusion from federal healthcare programs;
mandated modification of promotional materials and labeling and the issuance of corrective information;
the issuance of safety alerts, Dear Healthcare Provider letters, press releases and other communications containing warnings or other safety information about the product; or
injunctions or the imposition of civil or criminal penalties.
The FDA closely regulates the marketing, labeling, advertising and promotion of drug products. A company can make only those claims relating to safety and efficacy, purity and potency that are approved by the FDA and in accordance with the provisions of the approved label. The FDA and other agencies actively enforce the laws and regulations
36

prohibiting the promotion of off-label uses. Failure to comply with these requirements can result in, among other things, adverse publicity, warning letters, corrective advertising and potential civil and criminal penalties. Physicians may prescribe, in their independent professional medical judgment, legally available products for uses that are not described in the product’s labeling and that differ from those approved by the FDA. Physicians may believe that such off-label uses are the best treatment for many patients in varied circumstances. The FDA does not regulate the behavior of physicians in their choice of treatments. The FDA does, however, restrict manufacturer’s communications on the subject of off-label use of their products. However, companies may share truthful and not misleading information that is otherwise consistent with a product’s FDA-approved labelling.
Marketing Exclusivity
Exclusivity provisions authorized under the FDCA can delay the submission or the approval of certain marketing applications. The FDCA provides a five-year period of non-patent data exclusivity within the United States to the first applicant to obtain approval of an NDA for a new chemical entity. A drug is a new chemical entity if the FDA has not previously approved any other new drug containing the same active moiety, which is the molecule or ion responsible for the action of the drug substance. During the exclusivity period, the FDA may not approve or even accept for review an abbreviated new drug application (ANDA), or an NDA submitted under Section 505(b)(2) (505(b)(2) NDA), submitted by another company for another drug based on the same active moiety, regardless of whether the drug is intended for the same indication as the original innovative drug or for another indication, where the applicant does not own or have a legal right of reference to all the data required for approval. However, an application may be submitted after four years if it contains a certification of patent invalidity or non-infringement to one of the patents listed with the FDA by the innovator NDA holder.
The FDCA alternatively provides three years of non-patent exclusivity for an NDA, or supplement to an existing NDA if new clinical investigations, other than bioavailability studies, that were conducted or sponsored by the applicant are deemed by the FDA to be essential to the approval of the application, including, for example, new indications or dosages , of an existing drug. This three-year exclusivity covers only the modification for which the drug received approval on the basis of the new clinical investigations and does not prohibit the FDA from approving ANDAs or 505(b)(2) NDAs for drugs containing the active agent for the original indication or condition of use. Five-year and three-year exclusivity will not delay the submission or approval of a full NDA. However, an applicant submitting a full NDA would be required to conduct or obtain a right of reference to any preclinical studies and adequate and well-controlled clinical trials necessary to demonstrate safety and effectiveness.
Pediatric exclusivity is another type of marketing exclusivity available in the United States. Pediatric exclusivity provides for an additional six months of marketing exclusivity attached to existing periods of regulatory exclusivity if a sponsor conducts clinical trials in children in response to a written request from the FDA. The issuance of a written request from the FDA does not require the sponsor to undertake the described clinical trials. In addition, orphan drug exclusivity, as described above, may offer a seven-year period of marketing exclusivity, except in certain circumstances.
FDA Approval and Regulation of Companion Diagnostics
If safe and effective use of a therapeutic product depends on an in vitro diagnostic medical device, then the FDA generally will require approval or clearance of that diagnostic, known as an in vitro companion diagnostic device, at the same time that the FDA approves the therapeutic product. In August 2014, the FDA issued final guidance clarifying the requirements that will apply to approval of therapeutic products and in vitro companion diagnostic devices. According to the guidance, for novel drugs, an in vitro companion diagnostic device and its corresponding therapeutic should be approved or cleared contemporaneously by the FDA for the use indicated in the therapeutic product’s labeling.
If the FDA determines that an in vitro companion diagnostic device is essential to the safe and effective use of a novel therapeutic product or indication, the FDA generally will not approve the therapeutic product or new therapeutic product indication if the in vitro companion diagnostic device is not approved or cleared for that indication. Approval or clearance of the in vitro companion diagnostic device will ensure that the device has been adequately evaluated and has adequate performance characteristics in the intended population.
Under the FDCA, in vitro diagnostics, including in vitro companion diagnostic devices, are generally regulated as medical devices. In the United States, the FDCA and its implementing regulations, and other federal and state statutes and regulations govern, among other things, medical device design and development, preclinical and clinical testing, premarket clearance or approval, registration and listing, manufacturing, labeling, storage, advertising and promotion, sales and
37

distribution, export and import, and post-market surveillance. Unless an exemption applies, diagnostic tests require marketing clearance or approval from the FDA prior to commercial distribution.
After an in vitro device is authorized by the FDA and placed on the market, it remains subject to significant regulatory requirements. Medical devices may be marketed only for the uses and indications for which they are cleared or approved. Device manufacturers must also establish registration and device listings with the FDA. A medical device manufacturer’s manufacturing processes and those of its suppliers are required to comply with the applicable portions of the Quality Management System Regulation (QMSR), which among other things, sets forth the methods and documentation of the design, testing, production, processes, controls, quality assurance, labeling, packaging and shipping of medical devices. Manufacturing sites for devices also remain subject to periodic unscheduled inspections by the FDA.
Regulation of Combination Products in the United States
Certain products are comprised of components, such as drug components and device components, that would normally be subject to different regulatory frameworks by the FDA and frequently regulated by different centers at the FDA. These products are known as combination products. Under the FDCA, the FDA is charged with assigning a center with primary jurisdiction, or a lead center, for review of a combination product. The determination of which center will be the lead center is based on the “primary mode of action” of the combination product. Thus, if the primary mode of action of a drug-device combination product is attributable to the drug product, the FDA center responsible for premarket review of the drug product would have primary jurisdiction for the combination product. The FDA has also established the Office of Combination Products to address issues surrounding combination products and provide more certainty to the regulatory review process. That office serves as a focal point for combination product issues for agency reviewers and industry. It is also responsible for developing guidance and regulations to clarify the regulation of combination products, and for assignment of the FDA center that has primary jurisdiction for review of combination products where the jurisdiction is unclear or in dispute. A combination product with a primary mode of action attributable to the drug component generally would be reviewed and approved pursuant to the drug approval processes set forth in the FDCA. In reviewing the NDA for such a product, however, FDA reviewers would consult with their counterparts in the device center to ensure that the device component of the combination product met applicable requirements regarding safety, effectiveness, durability and performance. In addition, under FDA regulations, combination products are subject to cGMP requirements applicable to both drugs and devices, including the QMSR applicable to medical devices.
Foreign Regulation
In addition to regulations in the United States, we will be subject to a variety of foreign regulations governing clinical trials and commercial sales and distribution of setmelanotide to the extent we choose to sell any setmelanotide outside of the United States. Whether or not we obtain FDA approval for a product, we must obtain approval of a product by equivalent competent authorities in foreign jurisdictions before we can commence clinical trials or marketing of the product in those countries. The approval process varies from country to country and the time may be longer or shorter than that required for FDA approval. The requirements governing the conduct of clinical trials, product licensing, pricing and reimbursement vary greatly from country to country. As in the United States, post-approval regulatory requirements, such as those regarding product manufacture, marketing, pharmacovigilance, promotion, advertising or distribution would apply to any product that is approved outside the United States.
Regulation and Procedures Governing Marketing Authorization of Medicinal Products in the European Union
Non-clinical studies and clinical trials
Similarly to the United States, the various phases of non-clinical and clinical research in the EU are subject to significant regulatory controls.
Non-clinical studies are performed to demonstrate the health or environmental safety of new biological substances. Non-clinical (pharmaco-toxicological) studies must be conducted in compliance with the principles of good laboratory practice as set forth in EU Directive 2004/10/EC (unless otherwise justified for certain particular medicinal products, e.g., radio-pharmaceutical precursors for radio-labeling purposes) . In particular, non-clinical studies, both in vitro and in vivo, must be planned, performed, monitored, recorded, reported and archived in accordance with the good laboratory practices, which define a set of rules and criteria for a quality system for the organizational process and the conditions for non-clinical studies. These global laboratory practices reflect the Organization for Economic Co-operation and Development requirements.
38

Clinical trials of medicinal products in the EU must be conducted in accordance with EU and national regulations and the International Council for Harmonization of Technical Requirements for Pharmaceuticals for Human Use (ICH) guidelines on good clinical practices (GCP) as well as the applicable regulatory requirements and the ethical principles that have their origin in the Declaration of Helsinki. If the sponsor of the clinical trial is not established within the EU, it must appoint an EU entity to act as its legal representative. The sponsor must take out a clinical trial insurance policy, and in most EU member states, the sponsor is liable to provide ‘no fault’ compensation to any study subject injured in the clinical trial.
The regulatory landscape related to clinical trials in the EU has been subject to recent changes. The EU Clinical Trials Regulation (CTR), which was adopted in April 2014 and repeals the EU Clinical Trials Directive, became applicable on January 31, 2022. Unlike directives, the CTR is directly applicable in all EU member states without the need for member states to further implement it into national law. The CTR notably harmonizes the assessment and supervision processes for clinical trials throughout the EU via a Clinical Trials Information System, which contains a centralized EU portal and database.
While the EU Clinical Trials Directive required a separate clinical trial application (CTA) to be submitted in each member state in which the clinical trial takes place, to both the competent national health authority and an independent ethics committee, much like the FDA and IRB respectively, the CTR introduces a centralized process and only requires the submission of a single application for multi-center trials. The CTR allows sponsors to make a single submission to both the competent authority and an ethics committee in each member state, leading to a single decision per member state. The CTA must include, among other things, a copy of the trial protocol and an investigational medicinal product dossier containing information about the manufacture and quality of the medicinal product under investigation. The assessment procedure of the CTA has been harmonized as well, including a joint assessment by all member states concerned, and a separate assessment by each member state with respect to specific requirements related to its own territory, including ethics rules. Each member state’s decision is communicated to the sponsor via the centralized EU portal. Once the CTA is approved, clinical study development may proceed.
The CTR transition period ended on January 31, 2025, and all clinical trials (and related applications) are now fully subject to the provisions of the CTR.
Medicines used in clinical trials must be manufactured in accordance with Good Manufacturing Practice (GMP). Other national and EU-wide regulatory requirements may also apply.
Marketing Authorizations
In the EU, medicinal product candidates can only be commercialized after obtaining a marketing authorization, (MA). To obtain regulatory approval of a product candidate in the EU, we must submit an MA application, (MAA). The process for doing this depends, among other things, on the nature of the medicinal product.
There are two types of MAs:
“Centralized MAs” are issued by the European Commission (EC) through the centralized procedure, based on the opinion of the Committee for Medicinal Products for Human Use (CHMP) of the European Medicines Agency (EMA) and are valid throughout the EU. The centralized procedure is mandatory for certain types of products, such as (i) medicinal products derived from biotechnological processes, (ii) designated orphan medicinal products, (iii) advanced therapy medicinal products (ATMPs) such as gene therapy, somatic cell-therapy or tissue-engineered medicines, and (iv) medicinal products containing a new active substance indicated for the treatment certain diseases, such as HIV/AIDS, cancer, neurodegenerative diseases, diabetes, auto-immune and other immune dysfunctions and viral diseases. The centralized procedure is optional for any products containing a new active substance not yet authorized in the EU, or for products that constitute a significant therapeutic, scientific or technical innovation or for which the granting of a MA would be in the interest of public health in the EU.
“National MAs” are issued by the competent authorities of the EU member states, only cover their respective territory, and are available for product candidates not falling within the mandatory scope of the centralized procedure. Where a product has already been authorized for marketing in an EU member state, this national MA can be recognized in another member state through the mutual recognition procedure. If the product has not received a national MA in any member state at the time of application, it can be approved simultaneously in various member states through the decentralized procedure. Under the decentralized procedure an identical dossier
39

is submitted to the competent authorities of each of the member states in which the MA is sought, one of which is selected by the applicant as the reference member state.
A MA has an initial validity for five years in principle. The MA may be renewed after five years on the basis of a re-evaluation of the risk-benefit balance by the EMA or by the competent authority of the EU member state. To this end, the MA holder must provide the EMA or the competent authority with a consolidated version of the file in respect of quality, safety and efficacy, including all variations introduced since the MA was granted, at least six months before the MA ceases to be valid. The European Commission or the competent authorities of the EU member states may decide, on justified grounds relating to pharmacovigilance, to proceed with one further five year period of MA. Once subsequently definitively renewed, the MA shall be valid for an unlimited period. Any authorization which is not followed by the actual placing of the medicinal product on the EU market or on the market of the authorizing EU member state(s) within three years after authorization ceases to be valid (the so-called “sunset clause”).
Under the centralized procedure, the maximum timeframe for the evaluation of an MAA by the CHMP is 210 days, excluding clock stops, when additional information or written or oral explanation is to be provided by the applicant in response to questions of the CHMP. In exceptional cases, the CHMP might perform an accelerated review of a MAA in no more than 150 days (not including clock stops). Innovative products that target an unmet medical need and are expected to be of major public health interest may be eligible for a number of expedited development and review programs, such as the PRIME scheme, which provides incentives similar to the breakthrough therapy designation in the United States. In March 2016, the EMA launched an initiative, the Priority Medicines (PRIME) scheme, a voluntary scheme aimed at enhancing the EMA’s support for the development of medicines that target unmet medical needs. It is based on increased interaction and early dialogue with companies developing promising medicines, to optimize their product development plans and speed up their evaluation to help them reach patients earlier. Product developers that benefit from PRIME designation can expect to be eligible for accelerated assessment but this is not guaranteed. Many benefits accrue to sponsors of product candidates with PRIME designation, including but not limited to, early and proactive regulatory dialogue with the EMA, frequent discussions on clinical trial designs and other development program elements, and accelerated MAA assessment once a dossier has been submitted. Importantly, a dedicated contact and rapporteur from the CHMP is appointed early in the PRIME scheme facilitating increased understanding of the product at EMA’s committee level. An initial meeting initiates these relationships and includes a team of multidisciplinary experts at the EMA to provide guidance on the overall development and regulatory strategies.
Moreover, in the EU, a “conditional” MA may be granted in cases where all the required safety and efficacy data are not yet available. The conditional MA is subject to conditions to be fulfilled for generating the missing data or ensuring increased safety measures. It is valid for one year and has to be renewed annually until fulfillment of all the conditions. Once the pending studies are provided, it can become a “standard” MA. However, if the conditions are not fulfilled within the timeframe set by the EMA, the MA ceases to be renewed. Furthermore, MA may also be granted “under exceptional circumstances” when the applicant can show that it is unable to provide comprehensive data on the efficacy and safety under normal conditions of use even after the product has been authorized and subject to specific procedures being introduced. This may arise in particular when the intended indications are very rare and, in the present state of scientific knowledge, it is not possible to provide comprehensive information, or when generating data may be contrary to generally accepted ethical principles. This MA is close to the conditional MA as it is reserved for medicinal products to be approved for severe diseases or unmet medical needs and the applicant does not hold the complete data set legally required for the grant of a MA. However, unlike the conditional MA, the applicant does not have to provide the missing data and will never have to. Although the MA “under exceptional circumstances” is granted definitively, the risk-benefit balance of the medicinal product is reviewed annually and the MA is withdrawn in case the risk-benefit ratio is no longer favorable.
Data and marketing exclusivity
The EU also provides opportunities for market exclusivity. Upon receiving MA, reference product candidates generally receive eight years of data exclusivity and an additional two years of market exclusivity. If granted, the data exclusivity period prevents applicants generic or biosimilar applicants from relying on the pre-clinical and clinical trial data contained in the dossier of the reference product when applying for a generic or biosimilar MA in the EU during a period of eight years from the date on which the reference product was first authorized in the EU. During the market exclusivity period, an application for a generic or biosimilar MA can be submitted and a related MA may be granted, and the innovator’s data may be referenced, but no generic or biosimilar can be placed on the EU market until 10 years have elapsed from the initial MA of the reference product in the EU. The overall ten-year period can be extended to a maximum of eleven years if, during the first eight years of those ten years, the MA holder obtains an authorization for one or more new therapeutic indications which, during the scientific evaluation prior to their authorization, are held to bring a
40

significant clinical benefit in comparison with existing therapies. However, there is no guarantee that a product will be considered by the EU’s regulatory authorities to be a new chemical entity, and products may not qualify for data exclusivity.
Orphan Medicinal Products
The criteria for designating an “orphan medicinal product” in the EU are similar in principle to those in the United States. Regulation (EC) No. 141/2000, as implemented by Regulation (EC) No. 847/2000 provides that a medicinal product can be designated as an orphan if its sponsor can establish that: (1) the product is intended for the diagnosis, prevention or treatment of a life threatening or chronically debilitating condition; (2) either (a) such condition affects not more than five in ten thousand persons in the EU when the application is made, or (b) the product, without the benefits derived from the orphan status, would not generate sufficient return in the EU to justify the necessary investment; and (3) there exists no satisfactory method of diagnosis, prevention or treatment of the condition in question that has been authorized in the EU or, if such method exists, the medicinal product will be of significant benefit to those affected by that condition.
In the EU, an application for designation as an orphan product can be made any time prior to the filing of the application for MA. Orphan designation entitles a party to incentives such fee reductions or fee waivers, protocol assistance, and access to the centralized procedure. Once authorized, orphan medicinal products are entitled to a ten-years period of market exclusivity for the approved therapeutic indication, which means that the competent authorities cannot accept another MAA, or grant a MA, or accept an application to extend a MA for a similar product for the same indication for a period of ten years. The period of market exclusivity is extended by two years for orphan medicinal products that have also complied with an agreed pediatric investigation plan (PIP). No extension to any supplementary protection certificate can be granted on the basis of pediatric studies for orphan indications. Orphan designation does not convey any advantage in, or shorten the duration of, the regulatory review and approval process.
The orphan exclusivity period may, however, be reduced to six years if, at the end of the fifth year, it is established that the product no longer meets the criteria for which it received orphan destination, including where it is shown that the product is sufficiently profitable not to justify maintenance of market exclusivity, or where the prevalence of the condition has increased above the threshold. Granting of an authorization for another similar orphan medicinal product where another product has market exclusivity can happen at any time if: (i) the second applicant can establish that its product, although similar to the authorized product, is safer, more effective or otherwise clinically superior, (ii) inability of the applicant to supply sufficient quantities of the orphan medicinal product or (iii) where the applicant consents to a second orphan medicinal product application. A company may voluntarily remove a product from the orphan register.
Pediatric Development
In the EU, MAAs for new medicinal products have to include the results of trials conducted in the pediatric population, in compliance with a PIP agreed with the EMA’s Pediatric Committee (PDCO). The PIP sets out the timing and measures proposed to generate data to support a pediatric indication of the drug for which an MA is being sought. The PDCO can grant a deferral of the obligation to implement some or all of the measures of the PIP until there are sufficient data to demonstrate the efficacy and safety of the product in adults. Further, the obligation to provide pediatric clinical trial data can be waived by the PDCO when these data are not needed or appropriate because the product is likely to be ineffective or unsafe in children, the disease or condition for which the product is intended occurs only in adult populations, or when the product does not represent a significant therapeutic benefit over existing treatments for pediatric patients. Once the MA is obtained in all member states and study results are included in the product information, even when negative, the product is eligible for a six-months supplementary protection certificate extension (if any is in effect at the time of approval) or, in the case of orphan pharmaceutical products, a two year extension of the orphan market exclusivity is granted.
Post-Approval Requirements
Similar to the United States, both MA holders and manufacturers of medicinal products are subject to comprehensive regulatory oversight by the EMA, the EC and/or the competent regulatory authorities of the member states. The holder of a MA must establish and maintain a pharmacovigilance system and appoint an individual qualified person for pharmacovigilance (QPPV) who is responsible for the establishment and maintenance of that system, and oversees the safety profiles of medicinal products and any emerging safety concerns. Key obligations include expedited reporting of suspected serious adverse reactions and submission of periodic safety update reports (PSURs).
41

All new MAA must include a risk management plan (RMP) describing the risk management system that the company will put in place and documenting measures to prevent or minimize the risks associated with the product. The regulatory authorities may also impose specific obligations as a condition of the MA. Such risk-minimization measures or post-authorization obligations may include additional safety monitoring, more frequent submission of PSURs, or the conduct of additional clinical trials or post-authorization safety studies.
The advertising and promotion of medicinal products is also subject to laws concerning promotion of medicinal products, interactions with physicians, misleading and comparative advertising and unfair commercial practices. All advertising and promotional activities for the product must be consistent with the approved summary of product characteristics, and therefore all off-label promotion is prohibited. Direct-to-consumer advertising of prescription medicines is also prohibited in the EU. Although general requirements for advertising and promotion of medicinal products are established under EU directives, the details are governed by regulations in each member state and can differ from one country to another.
The aforementioned EU rules are generally applicable in the European Economic Area (EEA) which consists of the 27 EU member states plus Norway, Liechtenstein and Iceland.
Failure to comply with EU and member state laws that apply to the conduct of clinical trials, manufacturing approval, MA, of medicinal products and marketing of such products, both before and after grant of the MA, manufacturing of pharmaceutical products, statutory health insurance, bribery and anti-corruption or with other applicable regulatory requirements may result in administrative, civil or criminal penalties. These penalties could include delays or refusal to authorize the conduct of clinical trials, or to grant MA, product withdrawals and recalls, product seizures, suspension, withdrawal or variation of the MA, total or partial suspension of production, distribution, manufacturing or clinical trials, operating restrictions, injunctions, suspension of licenses, fines and criminal penalties.
Regulation of Combination Products in the European Union
The EU regulates medical devices and medicinal products separately, through different legislative instruments, and the applicable requirements will vary depending on the type of drug-device combination product. EU guidance has been published to help manufacturers select the right regulatory framework.
Drug-delivery products intended to administer a medicinal product where the medicinal product and the device form a single integral product are regulated as medicinal products in the EU. The EMA is responsible for evaluating the quality, safety and efficacy of MAAs submitted through the centralized procedure, including the safety and performance of the medical device in relation to its use with the medicinal product. The EMA or the EU member state national competent authority will assess the product in accordance with the rules for medicinal products described above but the device part must comply with the EU Medical Devices Regulation (including the general safety and performance requirements provided in Annex I). MAA must include – where available – the results of the assessment of the conformity of the device part with the EU Medical Devices Regulation contained in the manufacturer’s EU declaration of conformity of the device or the relevant certificate issued by a notified body. If the MAA does not include the results of the conformity assessment and where for the conformity assessment of the device, if used separately, the involvement of a notified body is required, the competent authority must require the applicant to provide a notified body opinion on the conformity of the device.
By contrast, in case of drug-delivery products intended to administer a medicinal product where the device and the medicinal product do not form a single integral product (but are e.g. co-packaged), the medicinal product is regulated in accordance with the rules for medicinal products described above while the device part is regulated as a medical device and will have to comply with all the requirements set forth by the EU Medical Devices Regulation. The characteristics of non-integral devices used for the administration of medicinal products may impact the quality, safety and efficacy profile of the medicinal products. To the extent that administration devices are co-packaged with the medicinal product or, in exceptional cases, where the use of a specific type of administration device is specifically provided for in the product information of the medicinal product, additional information may need to be provided in the MAA for the medicinal product on the characteristics of the medical device(s) that may impact on the quality, safety and/or efficacy of the medicinal product.
The requirements regarding quality documentation for medicinal products when used with a medical device, including single integral products, co-packaged and referenced products, are outlined in the EMA guideline of July 22, 2021, which became effective on January 1, 2022.
The aforementioned EU rules are generally applicable in the EEA.
42

Regulation of Companion Diagnostics in the European Union
In the EU, in vitro diagnostic medical devices were regulated by Directive 98/79/EC (IVDD) which regulated the placing on the market, the CE marking, the essential requirements, the conformity assessment procedures, the registration obligations for manufactures and devices as well as the vigilance procedure. In vitro diagnostic medical devices had to comply with the requirements provided for in the IVDD, and with further requirements implemented at national level (as the case may be).
The regulation of companion diagnostics is subject to further requirements since the in vitro diagnostic medical devices Regulation No 2017/746 (IVDR) became applicable on May 26, 2022. Following subsequent legislative changes, European institutions adopted a “progressive” roll-out of the IVDR to prevent disruption in the supply of in vitro diagnostic medical devices. The IVDR fully applies since May 26, 2022 but there is a tiered system extending the grace period for many devices (depending on their risk classification) before they have to be fully compliant with the IVDR.
The IVDR introduces a new classification system for companion diagnostics which are now specifically defined as diagnostic tests that support the safe and effective use of a specific medicinal product, by identifying patients that are suitable or unsuitable for treatment. Companion diagnostics will have to undergo a conformity assessment by a notified body. Before it can issue an EU certificate, the notified body must seek a scientific opinion from the EMA on the suitability of the companion diagnostic to the medicinal product concerned if the medicinal product falls exclusively within the scope of the centralized procedure for the authorization of medicines, or the medicinal product is already authorized through the centralized procedure, or a MAA for the medicinal product has been submitted through the centralized procedure. For other substances, the notified body can seek the opinion from a national competent authority or the EMA.
The aforementioned EU rules are generally applicable in the EEA.
Regulatory Framework in the United Kingdom
Following the end of the Brexit transition period on January 1, 2021 and the implementation of the Windsor Framework on January 1, 2025, the UK is not generally subject to EU laws in respect of medicines. EU laws which have been transposed into UK law through secondary legislation continue to be applicable as “retained EU law”, however new EU legislation such as the EU CTR is not applicable in the UK. The UK government has passed the Medicines and Medical Devices Act 2021, which introduces delegated powers in favor of the Secretary of State or an ‘appropriate authority’ to amend or supplement existing regulations in the area of medicinal products and medical devices. This allows new rules to be introduced in the future by way of secondary legislation, which aims to allow flexibility in addressing regulatory gaps and future changes in the fields of human medicines, clinical trials and medical devices.
As of January 1, 2021, the Medicines and Healthcare products Regulatory Agency (MHRA) is the UK’s standalone medicines and medical devices regulator. As a result of the Northern Ireland Protocol, different rules applied in Northern Ireland than in England, Wales, and Scotland, together, Great Britain (GB); broadly, Northern Ireland continued to follow the EU regulatory regime for a period of time after Brexit. However, on January 1, 2025 an arrangement called the “Windsor Framework” came into effect and reintegrated Northern Ireland under the regulatory authority of the MHRA with respect to medicinal products. The Windsor Framework removes EU licensing processes and EU labeling and serialization requirements in relation to Northern Ireland and introduces a UK-wide licensing process for medicines.
The UK regulatory framework in relation to clinical trials is governed by the Medicines for Human Use (Clinical Trials) Regulations 2004, as amended, which is derived from the EU Clinical Trials Directive, as implemented into UK national law through secondary legislation. On April 28, 2025, the UK adopted an amendment to the UK clinical trials regulations intended to support a more streamlined and flexible regulation of clinical trials, removing unnecessary administrative burdens on trial sponsors, whilst protecting the interests of trial participants. It also intends to bring the UK regulatory framework for clinical trials, which is still based on the EU Clinical Trials Directive, into closer alignment with the CTR. The amendment will become applicable on April 28, 2026 following a one-year transition period.
The MHRA has introduced changes to national licensing procedures, including procedures to prioritize access to new medicines that will benefit patients, including a 150-day assessment and a rolling review procedure. In order to use the centralized procedure to obtain an MA that will be valid throughout the EEA, companies must be established in the EEA. Therefore after Brexit, companies established in the UK can no longer use the centralized procedure and instead must follow one of the UK national authorization procedures or one of the remaining post-Brexit international cooperation procedures to obtain an MA to commercialize products in the UK. An international recognition framework has been in
43

place since January 1, 2024, whereby the MHRA will have regard to decisions on the approval of MAs made by the EMA and certain other regulators when determining an application for a new UK MA.
There is no pre-MA orphan designation in the UK. Instead, the MHRA reviews applications for orphan designation in parallel to the corresponding MA application. The criteria are essentially the same, but have been tailored for the market, i.e., the prevalence of the condition in the UK, rather than the EU, must not be more than five in 10,000. Should an orphan designation be granted, the period or market exclusivity will be set from the date of first approval of the product in the UK.
Furthermore, the regulations on medical devices and in vitro diagnostic medical devices in Great Britain continue to be based largely on the three EU Directives (Directive 93/42/EEC (EU Medical Devices Directive), Directive 90/385/EEC, and (EU) IVDD) which preceded the EU Medical Devices Regulation, as implemented into national law by the Medical Devices Regulations 2002 (SI 2002 No 618, as amended) (UK Medical Devices Regulations). However, under the terms of the Ireland/Northern Ireland Protocol, the EU Medical Devices Regulation and the (EU) IVDR apply to Northern Ireland.
On June 16, 2025, an amendment to the UK Medical Devices Regulations came into force intended to clarify and strengthen the post-market surveillance requirements for medical devices and in vitro diagnostic medical devices in Great Britain. In addition, the MHRA launched a consultation from November 14, 2024 to January 5, 2025 on proposals to update the pre-market requirements for such devices in Great Britain. On July 22, 2025, the MHRA published a response to the consultation confirming that it will incorporate feedback to this consultation into new UK legislation on pre-market requirements for such devices in Great Britain. A draft of the new legislation is expected this year. Under the UK Medical Devices Regulations, in order to be lawfully placed on the Great Britain market, Class I (non-sterile, non-measuring or non-re-useable) medical devices and general in vitro diagnostic medical devices need to be self-certified, in accordance with United Kingdom Conformity Assessment (UKCA), and other medical devices and in vitro diagnostic medical devices need to be “UKCA” certified by a UK approved body. However, certain medical devices in compliance with the EU Medical Devices Directive can continue to be placed on the Great Britain market until the sooner of certificate expiration or June 30, 2028, while certain medical devices in compliance with the EU Medical Devices Regulation can continue to be placed on the Great Britain market until June 30, 2030. In addition, certain in vitro diagnostic medical devices in compliance with the (EU) IVDD can continue to be placed on the Great Britain market until the sooner of certificate expiration or June 30, 2030; while certain in vitro diagnostic medical devices in compliance with the (EU) IVDR can continue to be placed on the Great Britain market until June 30, 2030. The MHRA has confirmed that it intends to launch a consultation regarding the indefinite recognition of such devices in Great Britain. Medical devices and in vitro diagnostic medical devices also need to bear a physical UKCA mark in order to be lawfully placed on the Great Britain market. However, the MHRA has confirmed in its response to the consultation on pre-market requirements for such devices that it intends to remove the requirement for such devices and their labeling (i.e. packaging and instructions for use) in Great Britain to bear a physical UKCA mark. Instead of requiring a medical device and an in vitro diagnostic medical device and their labeling to bear a UKCA mark, manufacturers would be required to assign a unique design identification (UDI) to such devices and their labeling and register the UDI in a publicly accessible database before such devices are placed on the Great Britain market. If this change is implemented, we may no longer be required to affix the physical UKCA mark to our medical devices and our in vitro diagnostic medical devices, but we may need to assign and affix a UDI, and register the UDI in a publicly accessible database.
Pharmaceutical Coverage and Reimbursement
In the United States and markets in other countries, patients who are prescribed treatments for their conditions and providers performing the prescribed services generally rely on Government and third-party payors to reimburse all or part of the associated healthcare costs. Patients are unlikely to use IMCIVREE unless coverage is provided and reimbursement is adequate to cover a significant portion of the cost of our products. Significant uncertainty exists as to the coverage and reimbursement status of products approved by the FDA and other government authorities. Sales will depend, in part, on the extent to which third-party payors, including government health programs in the United States such as Medicare and Medicaid, commercial health insurers and managed care organizations, provide coverage, and establish adequate reimbursement for, IMCIVREE and other product candidates we may develop and obtain approval for in the future. The process for determining whether a payor will provide coverage for a product may be separate from the process for setting the price or reimbursement rate that the payor will pay for the product once coverage is approved. Third-party payors are increasingly challenging the prices charged, examining the medical necessity, and reviewing the cost-effectiveness of medical products and services and imposing controls to manage costs. Third-party payors may limit coverage to specific
44

products on an approved list, also known as a formulary, which might not include all of the approved products for a particular indication.
In order to secure coverage and reimbursement for any product that might be approved for sale, a company may need to conduct expensive pharmacoeconomic studies in order to demonstrate the medical necessity and cost-effectiveness of the product, in addition to the costs required to obtain FDA or other comparable marketing approvals. Nonetheless, setmelanotide may not be considered medically necessary or cost effective. A decision by a third-party payor not to cover IMCIVREE or any of our product candidates, if approved, could reduce physician utilization of our products and have a material adverse effect on our sales, results of operations and financial condition. Additionally, a payor’s decision to provide coverage for a product does not imply that an adequate reimbursement rate will be approved. Further, one payor’s determination to provide coverage for a product does not assure that other payors will also provide coverage and reimbursement for the product, and the level of coverage and reimbursement can differ significantly from payor to payor. Third-party reimbursement and coverage may not be available to enable us to maintain price levels sufficient to realize an appropriate return on our investment in product development.
The containment of healthcare costs also has become a priority of federal, state and foreign governments and the prices of products have been a focus in this effort. Governments have shown significant interest in implementing cost-containment programs, including price controls, restrictions on reimbursement and requirements for substitution of generic products. Adoption of price controls and cost-containment measures, and adoption of more restrictive policies in jurisdictions with existing controls and measures, could further limit a company’s revenue generated from the sale of any approved products. Coverage policies and third-party reimbursement rates may change at any time. Even if favorable coverage and reimbursement status is attained for one or more products for which a company or its collaborators receive marketing approval, less favorable coverage policies and reimbursement rates may be implemented in the future.
Outside the United States, ensuring adequate coverage and payment for setmelanotide will face challenges. Pricing of prescription pharmaceuticals is subject to governmental control in many countries. Pricing negotiations with governmental authorities can extend well beyond the receipt of regulatory marketing approval for a product and may require us to conduct a clinical trial that compares the cost effectiveness of setmelanotide or products to other available therapies. The conduct of such a clinical trial could be expensive and result in delays in our commercialization efforts. We are also enrolled in the Medicaid Drug Rebate Program and other governmental pricing programs, and have price reporting and payment obligations under these programs.
In the EU, pricing and reimbursement schemes vary widely from one member state to another. Some member states may require the completion of additional studies that compare the cost-effectiveness of a particular medicinal product candidate to currently available therapies or so called Health Technology Assessments (HTA), in order to obtain reimbursement or pricing approval. For example, the EU provides options for its member states to restrict the range of products for which their national health insurance systems provide reimbursement and to control the prices of medicinal products for human use. EU member states may approve a specific price for a product or it may instead adopt a system of direct or indirect controls on the profitability of the company placing the product on the market. Other EU member states allow companies to fix their own prices for products, but monitor and control prescription volumes and issue guidance to physicians to limit prescriptions. The downward pressure on healthcare costs in general, and particularly in relation to prescription only medicinal products, has become more intense. As a result, increasingly high barriers are being erected to the entry of new products.
HTA of medicinal products is, however, becoming an increasingly common part of the pricing and reimbursement procedures in some EU member states, including France, Germany, Ireland, Italy, Spain and Sweden. HTA is the procedure according to which the assessment of the public health impact, therapeutic impact and the economic and societal impact of use of a given medicinal product in the national healthcare systems of the individual country is conducted. HTA generally focuses on the clinical efficacy and effectiveness, safety, cost, and cost-effectiveness of individual medicinal products as well as their potential implications for the healthcare system. Those elements of medicinal products are compared with other treatment options available on the market. The outcome of HTA regarding specific medicinal products will often influence the pricing and reimbursement status granted to these medicinal products by the competent authorities of individual EU member states. The extent to which pricing and reimbursement decisions are influenced by the HTA of the specific medicinal product varies between EU member states. In addition, pursuant to Directive 2011/24/EU on the application of patients’ rights in cross-border healthcare, a voluntary network of national authorities or bodies responsible for HTA in the individual EU member states was established. The purpose of the network is to facilitate and support the exchange of scientific information concerning HTAs. This may lead to harmonization of the criteria taken into
45

account in the conduct of HTAs between EU member states and in pricing and reimbursement decisions and may negatively affect price in at least some EU member states.
Healthcare Laws and Regulations
We are subject to healthcare regulation and enforcement by the federal government and the states where we conduct business. These laws include, without limitation, state and federal anti-kickback, fraud and abuse, false claims, and physician and other healthcare provider payment transparency laws and regulations. Foreign governments also have comparable regulations.
The federal Anti-Kickback Statute prohibits, among other things, any person from knowingly and willfully offering, soliciting, receiving or providing remuneration, directly or indirectly, to induce either the referral of an individual, for an item or service or the purchasing or ordering of a good or service, for which payment may be made under federal healthcare programs such as the Medicare and Medicaid programs. The Anti-Kickback Statute is subject to evolving interpretations. In the past, the government has enforced the Anti-Kickback Statute to reach large settlements with healthcare companies based on sham consulting and other financial arrangements with physicians. Further, a person or entity does not need to have actual knowledge of these statutes or specific intent to violate them to have committed a violation. The majority of states also have anti-kickback laws which establish similar prohibitions and in some cases may apply to items or services reimbursed by any third-party payor, including commercial insurers.
Additionally, the civil False Claims Act prohibits knowingly presenting or causing the presentation of a false, fictitious or fraudulent claim for payment to the U.S. government. Actions under the False Claims Act may be brought by the Attorney General or as a qui tam action by a private individual in the name of the government. In addition, the government may assert that a claim including items or services resulting from a violation of the federal Anti-Kickback Statute constitutes a false or fraudulent claim for purposes of the federal False Claims Act. Violations of the False Claims Act can result in very significant monetary penalties and treble damages. The federal government is using the False Claims Act, and the accompanying threat of significant liability, in its investigation and prosecution of pharmaceutical and biotechnology companies in connection with the promotion of products for unapproved uses and other sales and marketing practices. The government has obtained multi-billion dollar settlements under the False Claims Act in addition to individual criminal convictions under applicable criminal statutes. We expect that the government will continue to devote substantial resources to investigating healthcare providers’ and manufacturers’ compliance with applicable fraud and abuse laws.
The federal Health Insurance Portability and Accountability Act of 1996, or HIPAA, created new federal criminal statutes that prohibit, among other things, knowingly and willfully executing a scheme to defraud any healthcare benefit program and making false statements relating to healthcare matters. Similar to the federal Anti-Kickback Statute, a person or entity does not need to have actual knowledge of these statutes or specific intent to violate them to have committed a violation.
The federal civil monetary penalties laws, impose civil fines for, among other things, the offering or transfer of remuneration to a Medicare or state healthcare program beneficiary if the person knows or should know it is likely to influence the beneficiary’s selection of a particular provider, practitioner, or supplier of services reimbursable by Medicare or a state healthcare program, unless an exception applies.
In addition, there has been increased federal and state regulation of payments made to physicians and other healthcare providers. The Physician Payments Sunshine Act imposes new reporting requirements on drug manufacturers for payments made by them to physicians (defined to include doctors, dentists, optometrists, podiatrists and chiropractors), certain non-physician practitioners (physician assistants, nurse practitioners, clinical nurse specialists, certified registered nurse anesthetists, anesthesiology assistants, and certified nurse midwives) and teaching hospitals, as well as ownership and investment interests held by physicians and their immediate family members. Drug manufacturers must report such payments to the government by the 90th day of each calendar year.
State and foreign laws and regulations restrict business practices in the pharmaceutical industry and complicate our compliance efforts. For example, some states require companies to comply with the pharmaceutical industry’s voluntary compliance guidelines and the federal government’s compliance guidance or otherwise restrict payments to healthcare providers and other potential referral sources. Some states require manufacturers to file reports relating to pricing and marketing information. Some state and local governments require the public registration of pharmaceutical sales representatives. Certain states also mandate implementation of commercial compliance programs, impose restrictions
46

on drug manufacturer marketing practices and/or require the tracking and reporting of gifts, compensation and other remuneration to physicians.
Violation of any of such laws or any other governmental regulations that may apply to drug manufacturers may result in penalties, including, without limitation, civil and criminal penalties, damages, fines, the curtailment or restructuring of our operations, exclusion from participation in federal and state healthcare programs and imprisonment.
In the EU, interactions between pharmaceutical companies and physicians are also governed by strict laws, regulations, industry self-regulation codes of conduct and physicians’ codes of professional conduct in the individual EU member states. The provision of benefits or advantages to physicians to induce or encourage the prescription, recommendation, endorsement, purchase, supply, order or use of medicinal products is prohibited in the EU. The provision of benefits or advantages to physicians is also governed by national laws (including anti-bribery laws) of the EU member states. In the UK, the UK Bribery Act 2010 applies to any company incorporated in or “carrying on business”, irrespective of where in the world the alleged bribery activity occurs. This Act could have implications for our interactions with physicians in and outside the UK. Violation of these laws could result in substantial fines and imprisonment.
Payments made to physicians in certain EU member states must be publicly disclosed. Moreover, agreements with physicians must often be the subject of prior notification and/or approval by the physician’s employer, their competent professional organization, and/or the competent authorities of the individual EU member states. These requirements are provided in the national laws, industry codes, or professional codes of conduct, applicable in the individual EU member states. Failure to comply with these requirements could result in reputational risk, public reprimands, administrative penalties, fines or imprisonment.
Failure to comply with the EU legislation and national laws on medicinal products including on the promotion of medicinal products, interactions with physicians, misleading and comparative advertising and unfair commercial practices, statutory health insurance, bribery and anti-corruption or with other applicable regulatory requirements can result in enforcement action by the EU member state authorities, which may include any of the following: fines, imprisonment, orders forfeiting products or prohibiting or suspending their supply to the market, or requiring the manufacturer to issue public warnings, or to conduct a product recall.
Data Privacy and Security Laws
Numerous state, federal and foreign laws, regulations and standards govern the collection, use, access to, confidentiality and security of health-related and other personal information, and could apply now or in the future to our operations or the operations of our partners. In the United States, numerous federal and state laws and regulations, including data breach notification laws, health information privacy and security laws and consumer protection laws and regulations govern the collection, use, disclosure, and protection of health-related and other personal information. In addition, certain foreign laws govern the privacy and security of personal data, including health-related data. Privacy and security laws, regulations, and other obligations are constantly evolving, may conflict with each other to complicate compliance efforts, and can result in investigations, proceedings, or actions that lead to significant civil and/or criminal penalties and restrictions on data processing.
Healthcare Reform
A primary trend in the United States healthcare industry and elsewhere is cost containment. There have been a number of federal and state proposals during the last few years regarding the pricing of pharmaceutical and biopharmaceutical products, limiting coverage and reimbursement for drugs and other medical products, government control and other changes to the healthcare system in the United States.
By way of example, the United States and state governments continue to propose and pass legislation designed to reduce the cost of healthcare. The Affordable Care Act, or the ACA, was enacted in 2010 and, among other things, included changes to the coverage and payment for products under government health care programs. Among the provisions of the ACA of importance to IMCIVREE and our potential drug candidates are:
an annual, nondeductible fee on any entity that manufactures or imports specified branded prescription drugs and biologic agents, apportioned among these entities according to their market share in certain government healthcare programs, although this fee does not apply to sales of certain products approved exclusively for orphan indications;
47

expansion of manufacturers’ rebate liability under the Medicaid Drug Rebate Program by increasing the minimum rebate for both branded and generic drugs, revising the definition of “average manufacturer price,” or AMP, and extending manufacturer rebate liability from fee-for-service Medicaid utilization to include utilization of Medicaid managed care organizations as well;
expansion of the list of entity types eligible for participation in the Public Health Service 340B drug pricing program, or the 340B program, to include certain free-standing cancer hospitals, critical access hospitals, rural referral centers, and sole community hospitals, but exempting “orphan drugs,” such as IMCIVREE, from the 340B ceiling price requirements for these covered entities;
a Patient-Centered Outcomes Research Institute to oversee, identify priorities in, and conduct comparative clinical effectiveness research, along with funding for such research; and
establishment of the Center for Medicare and Medicaid Innovation within CMS to test innovative payment and service delivery models to lower Medicare and Medicaid spending, potentially including prescription drug spending.
Since its enactment, there have been judicial, executive and Congressional challenges to certain aspects of the ACA. On June 17, 2021, the U.S. Supreme Court dismissed the most recent judicial challenge to the ACA brought by several states without specifically ruling on the constitutionality of the ACA. Thus, the ACA will remain in effect in its current form.
In addition, other legislative and regulatory changes have been proposed and adopted in the United States since the ACA was enacted. These changes included an aggregate reduction in Medicare payments to providers, which went into effect on April 1, 2013 and will remain in effect through 2032, unless additional Congressional action is taken. In addition, the American Taxpayer Relief Act of 2012, which further reduced Medicare payments to several providers, including hospitals, imaging centers and cancer treatment centers, and increased the statute of limitations period for the government to recover overpayments to providers from three to five years. The American Rescue Plan Act of 2021 eliminated the statutory Medicaid drug rebate cap, beginning January 1, 2024. The rebate was previously capped at 100% of a drug’s AMP.
The Inflation Reduction Act (IRA) was enacted in 2022. This statute marks the most significant action by Congress with respect to the pharmaceutical industry since adoption of the ACA in 2010. Among other things, the IRA requires manufacturers of certain drugs to engage in price negotiations with Medicare, with prices that can be negotiated subject to a cap; imposes rebates under Medicare Part B and Medicare Part D to penalize price increases that outpace inflation (first due in 2023); redesigns the Medicare Part D benefit (beginning in 2024); and replaces the Part D coverage gap discount program with a new manufacturer discount program (beginning in 2025). CMS has published the negotiated prices for the initial ten drugs, which became effective in 2026, and the subsequent 15 drugs, which will first be effective in 2027. CMS has also published the next set of 15 drugs that will be subject to negotiation. The IRA permits the Secretary of the Department of Health and Human Services (HHS) to implement many of these provisions through guidance, as opposed to regulation, for the initial years. HHS has and will continue to issue and update guidance as these programs are implemented, although the Medicare drug price negotiation program is currently subject to legal challenges. While the impact of the IRA on the pharmaceutical industry cannot yet be fully determined, it is likely to be significant.
The One Big Beautiful Bill Act, which was enacted in July 2025, imposes significant reductions in the funding of the Medicaid program. Such reductions are expected to decrease the number of persons enrolled in Medicaid and reduce the services covered by Medicaid, which could adversely affect our sales of IMCIVREE or any other product candidate that we commercialize.
The Trump administration is pursuing a two-fold strategy to reduce drug costs in the U.S. President Trump has threatened to impose significant tariffs on pharmaceutical manufacturers that do not adopt pricing policies such as most favored nation pricing, which would tie the price for drugs in the U.S. to the lowest price in a group of other countries. In response, multiple manufacturers have reportedly entered into confidential pricing agreements with the federal government. The Trump administration is also pursuing traditional regulatory pathways to impose drug pricing policies, and published two proposed regulations in December 2025, referred to as Globe and Guard. If finalized, these regulations would implement mandatory payment models under which manufacturers of eligible drugs would be required to pay rebates to the federal government on a portion of the units of their drugs that are reimbursed by Medicare, with the rebate amount based on most favored nation pricing. Imposing a rebate in the U.S. that is based on drug prices outside the U.S. would mark a
48

drastic and unprecedented shift in the U.S. pharmaceutical market, and while the impact of the Globe and Guard proposed regulations, if finalized, cannot yet be determined, it is likely to be significant. Even regulatory proposals or executive actions that are ultimately deemed unlawful could negatively impact the U.S. pharmaceutical sector and our business. In addition, pharmaceutical pricing and marketing has long been the subject of considerable discussion in Congress and among policymakers, and it is possible that Congress could enact additional laws that negatively affect the pharmaceutical industry.
Moreover, the individual states in the United States have become increasingly active in developing proposals, passing legislation and implementing regulations designed to control drug pricing, including price or patient reimbursement constraints, discounts, formulary flexibility, marketing cost disclosure, drug price increase disclosure and other transparency measures. Some states have enacted legislation creating so-called prescription drug affordability boards, which ultimately may attempt to impose price limits on certain drugs in these states, and at least one state board is imposing an upper payment limit. States are also seeking to implement general, across the board price caps for pharmaceuticals, or are seeking to regulate drug distribution. Some measures are designed to encourage importation from other countries. These new laws and the regulations and policies implementing them, as well as other healthcare-related measures that may be adopted in the future, could materially reduce our ability to develop and commercialize IMCIVREE and our product candidates, if approved.
In the EU, on December 15, 2021, Regulation No 2021/2282 on HTA, amending Directive 2011/24/EU, was adopted. The Regulation entered into force in January 2022 and has been applicable since January 2025, with phased implementation based on the type of product, i.e. oncology and advanced therapy medicinal products as of 2025, orphan medicinal products as of 2028, and all other medicinal products by 2030. The Regulation intends to boost cooperation among EU member states in assessing health technologies, including new medicinal products, and provide the basis for cooperation at the EU level for joint clinical assessments in these areas. It will permit EU member states to use common HTA tools, methodologies, and procedures across the EU, working together in four main areas, including joint clinical assessment of the innovative health technologies with the highest potential impact for patients, joint scientific consultations whereby developers can seek advice from HTA authorities, identification of emerging health technologies to identify promising technologies early, and continuing voluntary cooperation in other areas. Individual EU member states will continue to be responsible for assessing non-clinical (e.g., economic, social, ethical) aspects of health technology, and making decisions on pricing and reimbursement.
Human Capital
We are expanding the reach of Rhythm across many fronts - the number of addressable patients, indications, geographies, pipeline assets and employees – and we fully recognize that having the talent, experience and expertise is crucial to do so. With a disciplined, sustainable, and resilient approach, we are working to execute on a global strategy built on translational research and clinical development expertise, global regulatory capabilities, and proven commercial and market access successes. As of February 1, 2026, we had 414 employees – including 126 employees in 11 countries outside of North America, and we believe our employees are committed to learning from and collaborating with each other, each contributing to our mission. In 2025, the number of employees increased by 43 percent and we are proud to have achieved a rolling turnover rate that declined to 8 percent. We believe we are recruiting and onboarding high quality talent in a competitive biotech environment, and our employees are choosing to stay and grow at Rhythm. We have been named to The Boston Globe’s Top Places to Work in Massachusetts list for three consecutive years, in 2023, 2024 and 2025.
We believe that our future success largely depends upon our continued ability to attract, hire and retain highly skilled employees. We emphasize several measures and objectives in managing our human capital assets, including, among others, employee engagement and belonging, development and training, talent acquisition and retention, employee wellness, inclusion, and competitive compensation and pay equity. We frequently assess the external market with the aim to provide our employees with competitive salaries, bonuses, opportunities for equity ownership, development opportunities that enable continued learning and growth and a robust employment package that promotes well-being across various aspects of their lives, including health care, retirement planning and paid time off. In addition, we regularly collect employee feedback in an effort to ensure open communication, measure employee engagement and identify opportunities for improvement. We maintain efforts to ensure our employees are enabled to take advantage of flexible working arrangements.
We believe that developing an inclusive culture is critical to continuing to attract and retain the top talent necessary to deliver on our growth strategy. As such, we are investing in a work environment where our employees feel inspired and included; it is our policy to pursue the best talent and to not make employment (including hiring, promotion,
49

or compensation) or other contracting decisions on the basis of any legally protected characteristics. We continue to focus on ensuring our employees understand and embrace our commitment to our patient community and our focus on changing the paradigm for treatment of rare genetic diseases of obesity. We value our employees’ courage to ask bold questions and their commitment to learning and collaboration, as each person brings a unique contribution to furthering our mission. Grounded in these guiding principles, we believe we have developed a collaborative environment where our colleagues feel respected, valued, and inspired to contribute to their fullest potential.
Corporate Information
We are a Delaware corporation organized in February 2013. We were originally incorporated under the name Rhythm Metabolic, Inc., and as of October 2015, under the name Rhythm Pharmaceuticals, Inc. Our principal executive offices are located at 222 Berkeley Street, 12th Floor, Boston, MA 02116, and our telephone number is (857) 264-4280. Our website is www.rhythmtx.com. Information that is contained on, or that can be accessed through, our website is not incorporated by reference into this Annual Report, and you should not consider information on our website to be part of this Annual Report.
Available Information
We make available free of charge on the investor relations portion of our website our Annual Reports on Form 10-K, Quarterly Reports on Form 10-Q, Current Reports on Form 8-K, Proxy Statements for our annual meetings of stockholders, and amendments to those reports, as soon as reasonably practicable after we file such material with, or furnish it to, the Securities and Exchange Commission, or SEC. These filings are available for download free of charge on the investor relations portion of our website located at https://ir.rhythmtx.com. The SEC also maintains a website that contains reports, proxy statements and other information about issuers, like us, that file electronically with the SEC. The address of that website is https://www.sec.gov.

PART II - OTHER INFORMATION
Item 1A. Risk Factors
Our operations and financial results are subject to various risks and uncertainties, including those described below, which could adversely affect our business, financial condition, results of operations, cash flows, and the trading price of our common stock. Additional risks and uncertainties that we currently do not know about or that we currently believe to be immaterial may also impair our business. You should carefully consider the risks described below and the other information in this Annual Report on Form 10-K for the period ended December 31, 2025 (the “Annual Report”), including our audited consolidated financial statements and the related notes thereto, and “Management’s Discussion and Analysis of Financial Condition and Results of Operations.”
Risks Related to Our Financial Position and Need for Capital
We are a commercial stage biopharmaceutical company with a limited operating history and have not generated significant revenue from product sales. We have incurred significant operating losses since our inception, anticipate that we will incur continued losses for the foreseeable future and may never achieve profitability.
We are a global, commercial-stage biopharmaceutical company with a limited operating history on which to base your investment decision. Our operations to date have been primarily focused on developing and commercializing IMCIVREE (setmelanotide) to treat patients living with hyperphagia and severe obesity caused by rare MC4R pathway diseases. We are currently in the early stages of commercializing IMCIVREE in its approved indications in the United States, Canada, and EU and the United Kingdom and advancing setmelanotide through clinical development for additional indications in the United States for potential additional approvals in other countries. Biopharmaceutical product development is a highly speculative undertaking and involves a substantial degree of risk. Our business activities have included acquiring rights to intellectual property, business planning, raising capital, developing our technology, identifying potential product candidates, undertaking preclinical studies and conducting research and development activities, including clinical trials, for setmelanotide. To date we have generated approximately $422.5 million of revenue from product sales.
50

We first commercialized IMCIVREE in the United States in the first quarter of 2021 and therefore do not have a long history operating as a commercial company. We are continuing to transition from a company with a research and development focus to a company capable of supporting commercial activities worldwide and we may not be successful in such transition. We are still at the early stages of demonstrating our ability to manufacture at commercial scale, or arrange for a third party to do so on our behalf, or conduct sales, marketing and distribution activities necessary for successful product commercialization. Consequently, any predictions made about our future success or viability may not be as accurate as they could be if we had a longer operating history.
In February 2023, in order to expand our pipeline and build on our focus on rare endocrinology diseases, we acquired Xinvento B.V., a Netherlands-based biotech company focused on developing therapies for congenital hyperinsulinism (CHI). Our CHI program remains in the discovery phase and we do not expect to derive revenue from our CHI program for many years, if at all. Regulatory approvals may not be received when anticipated or not at all and ultimately we may fail to realize the anticipated benefits of our CHI program or those benefits may take longer to realize than expected.
Since our inception, we have focused substantially all our efforts and financial resources on the research and development of setmelanotide, which is approved by the FDA and Health Canada and authorized by the EC and the MHRA, as noted above, and is in development to address patients affected by several other indications. We have funded our operations to date primarily through the proceeds from the sales of common stock and preferred stock, asset sales, royalty interest financing, as well as capital contributions from our former parent, Rhythm Holdings LLC, and have incurred losses in each year since our inception.
Our net losses were $196.5 million and $260.6 million for the years ended December 31, 2025 and 2024, respectively. As of December 31, 2025, we had an accumulated deficit of $1.4 billion. Substantially all our operating losses have resulted from costs incurred in connection with our development programs and from commercial and general and administrative costs associated with our operations. Our prior losses, combined with expected future losses, have had and will continue to have an adverse effect on our stockholders’ deficit and working capital. We expect our research and development expenses to significantly increase in connection with our additional clinical trials of setmelanotide, with clinical trials of our product candidates (RM-718), which is designed to be a more selective MC4R agonist with weekly administration (now in Phase 1 trials), and bivamelagon, an investigational oral small molecule, which is also designed to be a more selective MC4R agonist, (recently completed a Phase 2 clinical trial), and with the development of any other product candidates we may choose to pursue, including a product candidate for CHI, yet to be identified. We also expect to devote substantial financial resources to the research and development and potential commercialization of a product candidate for CHI.
In addition, since we have achieved market access or named patient sales of IMCIVREE for BBS or POMC and LEPR deficiencies, or both, in more than 25 countries outside of the United States, we expect to continue to incur significant sales, marketing and outsourced manufacturing expenses. Nevertheless, setmelanotide may not be a commercially successful drug. We have and will continue to incur additional costs associated with operating as a public company. As a result, we expect to continue to incur significant and increasing operating losses for the foreseeable future. Because of the numerous risks and uncertainties associated with developing pharmaceutical products, we are unable to predict the extent of any future losses or when we will become profitable, if at all. Even if we do become profitable, we may not be able to sustain or increase our profitability on a quarterly or annual basis.
Our ability to become profitable depends upon our ability to generate revenue. As of December 31, 2025, we have generated approximately $422.5 million of revenue from product sales. Our ability to generate revenue depends on a number of factors, including, but not limited to, our ability to:
continue to commercialize setmelanotide by building a commercial organization and/or entering into collaborations with third parties;
ensure IMCIVREE is available to patients;
continue to achieve market acceptance of setmelanotide in the medical community and with third-party payors;
continue to initiate and successfully complete later-stage clinical trials for setmelanotide, RM-718, bivamelagon, or other product candidates that meet their clinical endpoints;
51

continue to initiate and successfully complete all studies required to obtain U.S. and foreign marketing approvals for setmelanotide as a treatment to address patients with deficiencies affecting the MC4R pathway; and
successfully manufacture or contract with others to manufacture setmelanotide, or RM-718 and bivamelagon if approved.
We expect we may need to raise additional funding, which may not be available on acceptable terms, or at all. Failure to obtain this necessary capital when needed may force us to delay, limit or terminate our product development efforts or other operations.
We are currently in the early stages of commercializing IMCIVREE in its approved indications in the United States, Canada, the EU and the United Kingdom and advancing setmelanotide through clinical development for additional indications in the United States and for potential additional approvals in other countries. Developing pharmaceutical products is expensive and we expect our research and development expenses to increase substantially in connection with our ongoing activities, particularly as we advance setmelanotide in additional clinical trials, as well as in connection with research and development activities for setmelanotide, RM-718, and bivamelagon, and in connection with our CHI program and the potential identification and development of a product candidate for CHI. We intend to use our available cash resources to advance the clinical development of setmelanotide, for disease-education and community-building activities, patient identification, and commercialization activities related to IMCIVREE. Depending on the status of additional regulatory approvals and commercialization of setmelanotide, as well as the progress we make in sales of IMCIVREE, we may still require significant additional capital to fund the continued development of setmelanotide and our operating needs thereafter, as well as research and development activities for setmelanotide, RM-718, bivamelagon, and a product candidate for our CHI program. We may also need to raise additional funds if we choose to pursue additional indications and/or geographies for setmelanotide or otherwise expand more rapidly than we presently anticipate.
Since our inception, we have raised funds through the issuance of common and preferred equity, the sale of assets and a Revenue Interest Agreement, or RIFA. As of December 31, 2025, our cash and cash equivalents and short-term investments were approximately $388.9 million.
Our operating plan may change as a result of many factors currently unknown to us, and we may need to seek additional funds sooner than planned, through public or private equity or debt financings, government or other third-party funding, marketing and distribution arrangements and other collaborations, strategic alliances and licensing arrangements, or a combination of these approaches. We will also require additional capital to obtain additional regulatory approvals for, and to continue to commercialize, setmelanotide, as well as for research and development activities for setmelanotide, RM-718, bivamelagon, and a product candidate for our CHI program. Raising funds in the current economic and geopolitical environment may present additional challenges. Even if we believe we have sufficient funds for our current or future operating plans, we may seek additional capital if market conditions are favorable or if we have specific strategic considerations.
We maintain the majority of our cash and cash equivalents in accounts with major U.S. and multi-national financial institutions, and our deposits at certain of these institutions exceed insured limits. Market conditions can impact the viability of these institutions. In the event of failure of any of the financial institutions where we maintain our cash and cash equivalents, we may not be able to access uninsured funds in a timely manner or at all. Any inability to access or delay in accessing these funds could adversely affect our business and financial position.
Any additional fundraising efforts may divert our management from their day-to-day activities, which may adversely affect our ability to commercialize IMCIVREE and develop setmelanotide, RM-718, bivamelagon, and a product candidate for our CHI program. In addition, we cannot guarantee that future financing will be available in sufficient amounts or on terms acceptable to us, if at all. Moreover, the terms of any financing may adversely affect the holdings or the rights of our stockholders and the issuance of additional securities, whether equity or debt, by us, or the possibility of such issuance, may cause the market price of our shares to decline. The sale of additional equity or convertible securities would dilute all of our stockholders. The incurrence of indebtedness would result in increased fixed payment obligations, and we may be required to agree to certain restrictive covenants, such as limitations on our ability to incur additional debt, limitations on our ability to acquire, sell or license intellectual property rights, and other operating restrictions that could adversely impact our ability to conduct our business. We could also be required to seek funds through arrangements with collaborative partners or other third parties at an earlier stage than otherwise would be desirable and we may be required to
52

relinquish rights to setmelanotide or technologies or otherwise agree to terms unfavorable to us, any of which may have a material adverse effect on our business, operating results and prospects.
If we are unable to obtain funding on a timely basis, we may be required to significantly curtail, delay or discontinue one or more of our research or development programs or the commercialization of setmelanotide or be unable to expand our operations or otherwise capitalize on our business opportunities, as desired, which could materially adversely affect our business, financial condition and results of operations.
Our Revenue Interest Financing Agreement with Healthcare Royalty Partners could restrict our ability to commercialize IMCIVREE, limit cash flow available for our operations and expose us to risks that could adversely affect our business, financial condition and results of operations.
On June 16, 2022, we entered into the RIFA, with entities managed by HealthCare Royalty Management, collectively referred to as the RIFA Investors. Pursuant to the RIFA and subject to customary closing conditions, the RIFA Investors agreed to pay us an aggregate investment amount of up to $100.0 million (the “RIFA Investment Amount”). Under the terms of the RIFA, we received $37.5 million on June 29, 2022 upon FDA approval of IMCIVREE in BBS, and an additional $37.5 million on September 29, 2022, following EC marketing authorization for BBS on September 6, 2022. On September 12, 2023, we received the remaining $24.4 million of the RIFA Investment Amount, net of debt issuance costs, following the achievement of a specified amount of cumulative net sales of IMCIVREE between July 1, 2022 and September 30, 2023.
As consideration for the Investment Amount and pursuant to the RIFA, we agreed to pay the RIFA Investors a tiered royalty on our annual net revenues (the “Revenue Interest”), including worldwide net product sales and upfront payments and milestones. The applicable tiered percentage will initially be 11.5% on annual net revenues up to $125 million, 7.5% on annual net revenues of between $125 million and $300 million and 2.5% on annual net revenues exceeding $300 million. If the RIFA Investors have not received cumulative minimum payments equal to 60% of the amount funded by the Investors to date by March 31, 2027 or 120% of the amount funded by the RIFA Investors to date by March 31, 2029, we must make a cash payment immediately following each applicable date to the Investors sufficient to gross the Investors up to such minimum amounts after giving full consideration of the cumulative amounts paid by us to the RIFA Investors through each date, referred to as the Under Performance Payment. As the repayment of the funded amount is contingent upon worldwide net product sales and upfront payments, milestones, and royalties, the repayment term may be shortened or extended depending on actual worldwide net product sales and upfront payments, milestones, and royalties. As of December 31, 2025 we have made $40.3 million of payments.
The RIFA Investors’ rights to receive the Revenue Interests will terminate on the date on which the RIFA Investors have received payments equal to a certain percentage of the funded portion of the Investment Amount including the aggregate of all payments made to the RIFA Investors as of such date, each percentage tier referred to as the Hard Cap, unless the RIFA is earlier terminated. The total Revenue Interests payable by us to the RIFA Investors is capped between 185% and 250% of the RIFA Investment Amount paid to us, dependent on the aggregate royalty paid between 2028 and 2032. If a change of control event occurs, the RIFA Investors may accelerate payments due under the RIFA, up to the Hard Cap plus any other obligations payable under the RIFA.
Our obligations under the RIFA could have significant negative consequences for our security holders and our business, results of operations and financial condition by, among other things:
increasing our vulnerability to adverse economic and industry conditions;
limiting our ability to obtain additional financing or enter into IMCIVREE collaboration or other business agreements;
requiring the dedication of a portion of our cash flow from operations to service our indebtedness, which will reduce the amount of cash available for other purposes;
limiting our flexibility to plan for, or react to, changes in our business;
placing us at a possible competitive disadvantage with competitors that are less leveraged than us or have better access to capital; and
53

if we fail to comply with the terms of the RIFA, resulting in an event of default that is not cured or waived, Investors could seek to enforce their security interest in our cash and cash equivalents and all assets relating to IMCIVREE that secures such indebtedness.
To the extent we incur additional debt (including without limitation additional amounts under the RIFA), the risks described above could increase.
Risks Related to the Development of Setmelanotide, Bivamelagon, RM-718 and our CHI Program
Positive results from earlier clinical trials of setmelanotide may not be predictive of the results of later clinical trials of setmelanotide. If we cannot generate positive results in our later clinical trials of setmelanotide, we may be unable to successfully develop, obtain regulatory approval for, and commercialize additional indications for setmelanotide.
Positive results from any of our Phase 1, Phase 2, or Phase 3 clinical trials of setmelanotide, or initial results from other clinical trials of setmelanotide, may not be predictive of the results of later clinical trials. The duration of effect of setmelanotide tested in our Phase 1 and Phase 2 clinical trials was often for shorter periods than in our pivotal Phase 3 clinical trials. The duration of effect of setmelanotide has only been studied in long-term durations for a small number of patients in our Phase 2 and Phase 3 clinical trials and safety or efficacy issues may arise when more patients are studied in longer trials and on commercial drug. It is possible that the effects seen in short-term clinical trials will not be replicated in long-term or larger clinical trials. In addition, not all of our trials demonstrated statistically significant weight loss in all patient populations studied and there can be no guarantee that future trials will achieve their endpoints.
Positive results observed in one patient population are not necessarily predictive of positive results for other populations. We have demonstrated statistically significant and clinically meaningful reductions in weight and hunger in Phase 3 clinical trials in obesity due to POMC, PCSK1 or LEPR deficiencies, BBS and hypothalamic obesity, and believe we have demonstrated proof of concept in Phase 2 clinical trials in impairments due to a variant in one of the two alleles in the POMC, PCSK1, or LEPR genes (HET obesity), as well as the SRC1 and SH2B1 genes, all genetic diseases of extreme and unrelenting appetite and obesity. We hypothesize that patients with other upstream genetic variants in genes upstream of the MC4R in the MC4R pathway may also respond with reductions in weight and hunger after treatment with setmelanotide. However, patients with other upstream genetic variants may not have a similar response to setmelanotide, and until we obtain more clinical data in other genetic variants, we will not be sure that we can achieve proof of concept or magnitude of response sufficient to demonstrate statistical significance in such populations.
We are actively working to advance additional genetic variants related to patient populations carrying such genetic variants in other MC4R pathway related genes in the MC4R pathway through our clinical development programs. Our continued development efforts are focused on obesity related to several single gene, or monogenic, MC4R pathway impairments: BBS; obesity due to a genetic variant in one of the two alleles of the POMC, PCSK1 or LEPR gene, or HETs; obesity due to steroid receptor coactivator 1, or SRC1, variants; obesity due to SH2B adapter protein 1, or SH2B1; hypothalamic obesity; Prader-Willi syndrome (PWS) and MC4R deficiency obesity. For example, our pivotal Phase 3 EMANATE trial is a randomized, double-blind, placebo-controlled study with four independent sub-studies evaluating setmelanotide in patients with: heterozygous POMC/PCSK1 obesity; heterozygous LEPR obesity; certain variants of the SRC1; or certain variants of SH2B1 genes. Each of the four sub-studies is entirely independent of the others and, if successful, is designed to support separate regulatory submissions to the FDA and EMA in each studied population. However, the FDA and EMA may not view positive results in one sub-study, even if such results are statistically significant and clinically meaningful, as being sufficient for approval for any given indication.
Success in a basket trial, or any trial in one cohort, may not predict success in another cohort. In contrast, in the event of an adverse safety issue, clinical hold, or other adverse finding in one or more cohorts being tested, such event could adversely affect our trials in the other cohorts and may delay or prevent completion of such clinical trials.
Many companies in the pharmaceutical and biotechnology industries have suffered significant setbacks in later stage clinical trials after achieving positive results in early-stage development, and we cannot be certain that we will not face similar setbacks. These setbacks have been caused by, among other things, pre-clinical findings made while clinical trials were underway.
Additionally, setbacks may be caused by new safety or efficacy observations in clinical trials or in post-approval use in the real world, including previously unreported adverse events, or AEs. Moreover, preclinical and clinical data are often susceptible to varying interpretations and analyses, and many companies that believed their product candidates
54

performed satisfactorily in preclinical studies and clinical trials nonetheless failed to obtain FDA approval or a marketing authorization from the EC or foreign regulatory authorities. If we fail to obtain positive results in our Phase 3 clinical trials of setmelanotide, the development timeline and regulatory approval and commercialization prospects for setmelanotide and, correspondingly, our business and financial prospects, would be materially adversely affected, but even if we obtain results in our Phase 3 clinical trials that we believe are positive, there is no guarantee that the FDA or the EC or foreign regulatory authorities will agree that such results are sufficient to support submission or approval of an NDA or NDA supplement.
Interim, “topline” and preliminary data from our preclinical and clinical trials that we announce or publish from time to time may change as more data become available and are subject to audit and verification procedures that could result in material changes in the final data.
From time to time, we may publicly disclose preliminary or topline data from our preclinical studies and clinical trials, which is based on a preliminary analysis of then-available data, and the results and related findings and conclusions are subject to change following a more comprehensive review of the data related to the particular study or trial. We make assumptions, estimations, calculations and conclusions as part of our analyses of data, and we may not have received or had the opportunity to fully and carefully evaluate all data. As a result, the topline or preliminary results that we report may differ from future results of the same studies, or different conclusions or considerations may qualify such results, once additional data have been received and fully evaluated. Topline data also remain subject to audit and verification procedures that may result in the final data being materially different from the preliminary data we previously published or reported. As a result, topline data should be viewed with caution until the final data are available.
From time to time, we may also disclose interim data from our preclinical studies and clinical trials. Interim data from clinical trials that we may complete are subject to the risk that one or more of the clinical outcomes may materially change as patient enrollment continues and more patient data become available. Adverse differences between preliminary or interim data and final data could significantly harm our business prospects. Further, disclosure of interim data by us or by our competitors could result in volatility in the price of our common stock.
From time to time, we may also disclose real-world data from early access programs in particular patient cohorts, which are not controlled trials and may not be predictive of future results.
Further, others, including regulatory agencies, may not accept or agree with our assumptions, estimates, calculations, conclusions or analyses or may interpret or weigh the importance of data differently, which could impact the value of a particular program, the approvability or commercialization of the particular product candidate or product and our Company in general. In addition, the information we choose to publicly disclose regarding a particular study or clinical trial is based on what is typically extensive information, and others may not agree with what we determine is material or otherwise appropriate information to include in our disclosure.
If the interim, topline, or preliminary data that we report differ from actual results, or if others, including regulatory authorities, disagree with the conclusions reached, our ability to obtain approval for, and commercialize, our product candidates may be harmed, which could harm our business, operating results, prospects or financial condition.
The exclusive license agreement with LGC is important to our business. If we or LGC fail to adequately perform under the agreement, the development of bivamelagon could be delayed, or if we or LGC terminate the agreement, we would lose our rights to develop and commercialize bivamelagon.
In January 2024, we entered into a license agreement and share issuance agreement with LGC. Pursuant to the terms of the license agreement, we obtained exclusive worldwide rights to develop LGC’s proprietary compound bivamelagon. We agreed to pay LGC royalties of between low- to mid-single digit percent of net revenues from our MC4R portfolio, including bivamelagon, commencing in 2029 and dependent upon achievement of various regulatory and indication approvals, and subject to customary deductions and anti-stacking. Royalties may further increase to a low double-digit percent royalty, though such royalty would only be applicable on net sales of bivamelagon in a region if bivamelagon is covered by a composition of matter or method of use patent controlled by LGC in such region and the Company’s MC4R portfolio is not covered by any composition of matter or method of use patents controlled by the Company in such region. Such increased rate would only apply on net sales of bivamelagon for the limited remainder of the royalty term in the relevant region. The license agreement will continue until the expiration of the obligation to pay royalties in all countries or regions, unless terminated earlier. We or LGC can terminate the license agreement in certain circumstances, including for the other party’s material uncured breach. If the license agreement is terminated, we would
55

lose our rights to develop and commercialize bivamelagon, and, under some circumstances, we could be subject to certain ongoing payments, penalties and fees, all of which in turn would have a material adverse effect on our business.
The number of patients with each of the MC4R pathway variants we are targeting is small and has not been established with precision. If the actual number of patients is smaller than we estimate, our revenue and ability to achieve profitability may be materially adversely affected.
Due to the rarity of our target indications, there is no comprehensive patient registry or other method of establishing with precision the actual number of patients with MC4R pathway deficiencies. As a result, we have had to rely on other available sources to derive clinical prevalence estimates for our target indications. In addition, we have internal genetic sequencing results from individuals with severe obesity that provide another approach to estimating prevalence. As of December 31, 2025, our database had approximately 120,000 sequencing samples. Since the published epidemiology studies for these genetic variants are based on relatively small population samples, and are not amenable to robust statistical analyses, it is possible that these projections may significantly exceed the addressable population, particularly given the need to genotype patients to definitively confirm a diagnosis.
Based on multiple epidemiological methods, we have estimated the potential addressable patient populations with these MC4R pathway deficiencies based on the following sources and assumptions (which remain subject to change based on ongoing research and publications by us or any third party):
POMC Deficiency Obesity. POMC Deficiency Obesity is defined by the presence of biallelic variants in the POMC or PCSK1 genes that are interpreted as pathogenic, likely pathogenic, or of uncertain significance. Our addressable patient population estimate for POMC deficiency obesity is approximately 100 to 500 patients in the United States, with a comparable addressable patient population in Europe. Our estimates are based on:
approximately 50 patients with POMC deficiency obesity noted in a series of published case reports, each mostly reporting a single or small number of patients. However, we believe our addressable patient population for this deficiency may be approximately 100 to 500 patients in the United States, and a comparable addressable patient population in Europe, as most of the reported cases are from a small number of academic research centers, and because genetic testing for POMC deficiency obesity is often unavailable and currently is rarely performed;
our belief, based on discussions with experts in rare diseases, that the number of diagnosed cases could increase several-fold with increased awareness of this deficiency and the availability of new treatments;
U.S. Census Bureau figures for adults and children, and Centers for Disease Control and Prevention, or CDC, prevalence numbers for adults with severe obesity (body mass index, or BMI, greater than 40 kg/m2) and for children with severe early-onset obesity (99th percentile at ages two to 17 years old); and
our internal sequencing yield for POMC deficiency obesity patients (including both POMC and PCSK1 gene diseases), defined as patients having biallelic variants in the POMC or PCSK1 genes that are interpreted as pathogenic, likely pathogenic, or of uncertain significance, of approximately 0.05%.
LEPR Deficiency Obesity. LEPR Deficiency Obesity is defined by the presence of biallelic variants in the LEPR gene that are interpreted as pathogenic, likely pathogenic, or of uncertain significance. Our addressable patient population estimate for LEPR deficiency obesity is approximately 500 to 2,000 patients in the United States, with a comparable addressable patient population in Europe. Our estimates are based on:
epidemiology studies on LEPR deficiency obesity in small cohorts of patients comprising children with severe obesity and adults with severe obesity who have a history of early onset obesity;
56

U.S. Census Bureau figures for adults and children and CDC prevalence numbers for adults with severe obesity (BMI, greater than 40 kg/m2) and for children with severe early-onset obesity (99th percentile at ages two to 17 years old);
with wider availability of genetic testing expected for LEPR deficiency obesity and increased awareness of new treatments, our belief that up to 40% of patients with these diseases may eventually be diagnosed; and
our internal sequencing yield for LEPR deficiency obesity patients, defined as patients having biallelic variants in the LEPR gene that are interpreted as pathogenic, likely pathogenic, or of uncertain significance, of approximately 0.09%.
Bardet-Biedl Syndrome. Our addressable patient population estimate for BBS is approximately 4,000 to 5,000 patients in the United States based on:
published prevalence estimates of one in 100,000 in North America, which projects to approximately 3,250 people in the United States. We believe the majority of these patients are addressable patients;
comparisons to our patient identification efforts in Europe where we believe there are approximately 1,500 patients diagnosed and being cared for at academic centers in Europe;
our patient identification efforts to date in the United States;
our internal sequencing yield for biallelic pathogenic or likely pathogenic variants in BBS genes of approximately 0.3%; and
our belief that with wider availability of genetic testing expected for BBS and increased awareness of new treatments, the number of patients diagnosed with this disorder will increase.
POMC, PCSK1, or LEPR Heterozygous Obesities; SRC1 and SH2B1 Obesities. Our potential setmelanotide-responsive patient population estimate for POMC, PCSK1, or LEPR heterozygous, SRC1 and SH2B1 obesity patients with at least one variant interpreted as pathogenic, likely pathogenic, or of uncertain significance suspected pathogenic is approximately 53,000 patients in the United States. Our estimates are based on:
U.S. Census Bureau population data and CDC prevalence numbers for early onset obesity (≥120% the 95th percentile with onset prior to 6 years of age);
our internal sequencing yield of patients with POMC, PCSK1, or LEPR heterozygous, SRC1 or SH2B1 variants interpreted as pathogenic, likely pathogenic, or of uncertain significance of approximately 10-15%; and
a clinical response rate of 40% for patients carrying pathogenic or likely pathogenic variants, and 20% for patients carrying a variant of uncertain significance.
The clinical response rate used in this calculation is based on the clinical data currently available to us from our trials and may change as more data become available.
MC4R Deficiency Obesity. Our addressable patient population estimate for MC4R-rescuable deficiency obesity is approximately 10,000 patients in the United States. This estimate is based on:
U.S. Census Bureau population data and CDC prevalence numbers for early onset obesity (≥120% the 95th percentile between the ages of 2-5 years);
a comprehensive biochemical screening study indicating there may be a defined subset of individuals who carry MC4R variants that may be rescued by an MC4R agonist; and
57

our internal sequencing yield for MC4R deficiency obesity patients of approximately 2.0% prior to application of functional filters.
Obesity due to a deficiency in the MC4R pathway caused by variants in the SEMA3 family, PHIP, TBX3 or PLXNA family. Our addressable patient population estimate for obesity patient with variants in these genes is approximately 63,500 patients in the United States. This estimate is based on:
results from our URO genetic testing program with samples from more than 36,000 participants, classification of variants for pathogenic, likely pathogenic and 20% of with a variant of uncertain significance and applied to established estimate of approximately 5 million people in the United States with early-onset obesity.
We believe that the patient populations in the EU are similar to those in the United States. However, we do not have comparable epidemiological data from the EU and these estimates are therefore based solely on applying relative population percentages to the Company-derived estimates described above.
Defining the exact genetic variants that result in MC4R pathway diseases is complex, so if any approval that we obtain is based on a narrower definition of these patient populations than we had anticipated, then the potential market for setmelanotide for these indications will be smaller than we originally believed. In either case, a smaller patient population in our target indications would have a materially adverse effect on our ability to achieve commercialization and generate revenues.
Hypothalamic obesity. Our addressable patient population estimate for hypothalamic obesity (HO) is approximately 10,000 patients in the United States. We estimate there are 5,000 to 8,000 people living with hypothalamic obesity in Japan, and approximately 10,000 people living with hypothalamic obesity in the E.U. These estimates are based on:
diagnosis of an underlying HO etiology such as craniopharyngioma (CP), astrocytoma, or other brain tumors with CP accounting for approximately 50% of HO etiologies;
an annual incidence of CP of approximately 1.3 to 2.2 per million per year in the United States, which projects to approximately 600 cases of CP per year based on a United States population of approximately 329 million;
approximately 50% (based on a published range of 6% to 91%) of CP patients develop HO;
published estimates of overall survival (OS) after CP diagnosis, with a 20-year OS of 84%;
allowing for patients that develop HO due to other factors besides CP, results in an estimated HO prevalence after CP diagnosis in the United States exceeding 2,500-7,500 patients; and
internal Company estimate is based on reported incidence of hypothalamic obesity following CP and long-term survival rates.
Given the etiology of the disease, our estimates on HO are based on our internal review and interpretation of the literature and available prevalence data.
If we experience delays or difficulties in the enrollment and/or retention of patients in clinical trials, our regulatory submissions or receipt of additional marketing approvals could be delayed or prevented.
We may not be able to initiate or continue our planned clinical trials on a timely basis or at all for our product candidates if we are unable to recruit and enroll a sufficient number of eligible patients to participate in these trials through completion of such trials as required by the FDA or other comparable foreign regulatory authorities. Patient enrollment is a significant factor in the timing of clinical trials. Our ability to enroll eligible patients may be limited or may result in slower enrollment than we anticipate.
Our clinical trials will compete with other clinical trials that are in the same therapeutic areas as our product candidates, including general obesity, and this competition reduces the number and types of patients available to us, as
58

some patients who might have opted to enroll in our trials may instead opt to enroll in a trial being conducted by one of our competitors. Because the number of qualified clinical investigators and clinical trial sites is limited, we expect to conduct some of our clinical trials at the same clinical trial sites that some of our competitors use, which will reduce the number of patients who are available for our clinical trials at such clinical trial sites. In addition, there are limited patient pools from which to draw for clinical studies. In addition to the rarity of genetic diseases of obesity, the eligibility criteria of our clinical studies will further limit the pool of available study participants as we will require that patients have specific characteristics that we can measure or to assure their disease is either severe enough or not too advanced to include them in a study. Patient enrollment for our current or any future clinical trials may be affected by other factors, including:
size and nature of the patient population;
severity of the disease under investigation;
availability and efficacy of approved drugs for the disease under investigation;
patient eligibility criteria for the trial in question as defined in the protocol;
perceived risks and benefits of the product candidate under study;
clinicians’ and patients’ perceptions as to the potential advantages of the product candidate being studied in relation to other available therapies, including any new products that may be approved or future product candidates being investigated for the indications we are investigating;
clinicians’ willingness to screen their patients for genetic markers to indicate which patients may be eligible for enrollment in our clinical trials;
delays in or temporary suspension of the enrollment of patients in our planned clinical trial due to public health emergencies;
ability to obtain and maintain patient consents;
patient referral practices of physicians;
the ability to monitor patients adequately during and after treatment;
proximity and availability of clinical trial sites for prospective patients; and
the risk that patients enrolled in clinical trials will drop out of the trials before completion, including as a result of health conditions or being forced to quarantine, or, because they may be late-stage cancer patients or for other reasons, will not survive the full terms of the clinical trials.
In addition, the pediatric population is an important patient population for setmelanotide, RM-718, and bivamelagon, and our addressable patient population estimates include pediatric populations. However, it may be more challenging to conduct studies in younger participants, and to locate and enroll pediatric patients. These factors may make it difficult for us to enroll enough patients to complete our clinical trials in a timely and cost-effective manner. Our inability to enroll a sufficient number of patients for our clinical trials would result in significant delays or may require us to abandon one or more clinical trials altogether. Enrollment delays in our clinical trials may also result in increased development costs for setmelanotide and any future product candidates and jeopardize our ability to obtain additional marketing approvals for the sale of setmelanotide. Furthermore, even if we are able to enroll a sufficient number of patients for our clinical trials, we may have difficulty maintaining participation in our clinical trials through the treatment and any follow-up periods.
Failures or delays in the commencement or completion of our planned clinical trials could result in increased costs to us and could delay, prevent or limit our ability to generate revenue, achieve profitability and continue our business.
Successful completion of our ongoing and planned clinical trials is a prerequisite to submitting an NDA or NDA supplement to the FDA, a marketing authorization application (“MAA”) to the EMA, and other applications for marketing authorization to equivalent competent authorities in foreign jurisdictions, and consequently, successful completion of such
59

trials, at a minimum, will be required for regulatory approvals and the commercial marketing of setmelanotide for additional indications as well as RM-718 and bivamelagon.
We do not know whether our planned clinical trials will begin or whether any of our clinical trials will be completed on schedule, if at all, as the commencement and successful completion of clinical trials can be delayed or prevented for a number of reasons, including but not limited to:
inability to generate sufficient preclinical or other in vivo or in vitro data to support the initiation of clinical studies;
delays in the completion of preclinical laboratory tests, animal studies and formulation studies in accordance with FDA’s good laboratory practice requirements and other applicable regulations;
the FDA or other equivalent competent authorities in foreign jurisdictions may deny permission to proceed with our ongoing or planned trials or any other clinical trials we may initiate, or may place a clinical trial on hold or such trial may be suspended;
delays in filing or receiving authorization to proceed under an additional investigational new drug application, or IND, or similar foreign application if required;
delays in reaching a consensus with the FDA and other regulatory agencies on study design and obtaining regulatory authorization to commence clinical trials;
delays in reaching or failing to reach agreement on acceptable terms with prospective CROs and clinical trial sites, the terms of which can be subject to extensive negotiation and may vary significantly among different CROs and trial sites;
difficulties in obtaining or maintaining Institutional Review Board, or IRB, and/or ethics committee approval or opinion to conduct a clinical trial at a prospective site or sites;
since many already diagnosed patients are at academic sites, delays in conducting clinical trials at academic sites due to the particular challenges and delays typically associated with those sites, as well as the lack of alternatives to these sites which have already diagnosed patients;
inadequate quantity or quality of setmelanotide, RM-718, bivamelagon or other materials necessary to conduct clinical trials, including delays in the manufacturing of sufficient supply of finished drug product;
challenges in identifying, recruiting and training suitable clinical investigators;
challenges in recruiting and enrolling suitable patients to participate in clinical trials;
severe or unexpected drug related side effects experienced by patients in a clinical trial, including side effects previously identified in our completed clinical trials;
difficulty collaborating with patient groups and investigators;
failure by our CROs, other third parties or us to perform in accordance with the FDA’s or any other regulatory authority’s GCPs or applicable regulatory guidelines in other countries;
occurrence of adverse events associated with setmelanotide, RM-718 or bivamelagon that are viewed to outweigh their potential benefits, or occurrence of adverse events in trial of the same or similar class of agents conducted by other companies;
changes to the clinical trial protocols;
clinical sites deviating from trial protocol or dropping out of a trial;
changes in regulatory requirements and guidance that require amending or submitting new clinical protocols;
60

changes in the standard of care on which a clinical development plan was based, which may require new or additional trials;
selection of clinical endpoints that require prolonged periods of observation or analyses of resulting data;
the cost of clinical trials of our product candidates being greater than we anticipate;
clinical trials or related non-clinical trials of our product candidates producing negative or inconclusive results, which may result in our deciding, or regulators requiring us, to conduct additional clinical trials or delay or abandon development of such product candidates; and
development of antibodies to the drug or adjuvants may result in loss of efficacy or safety events.
In addition, a clinical trial may be suspended or terminated by us, the FDA or other equivalent competent authorities in foreign jurisdictions, the IRB at the sites where the IRBs are overseeing a clinical trial, a data and safety monitoring board, or DSMB, or Safety Monitoring Committee, or SMC, overseeing the clinical trial at issue or other equivalent competent authorities due to a number of factors, including, among others:
failure to conduct the clinical trial in accordance with regulatory requirements or our clinical trial protocols;
inspection of the clinical trial operations or trial sites by the FDA or other equivalent competent authorities that reveals deficiencies or violations that require us to undertake corrective action, including the imposition of a clinical hold;
inconclusive results, unforeseen safety issues, adverse side effects or lack of effectiveness;
changes in government regulations or administrative actions;
problems with clinical trial supply materials; and
lack of adequate funding to continue the clinical trial.
Delays in the completion of any preclinical or non-clinical studies or clinical trials of setmelanotide, RM-718 or bivamelagon will increase our costs, slow down our product candidate development and the regulatory approval processes and delay or potentially jeopardize our ability to commence product sales, generate product revenue and achieve profitability. In addition, many of the factors that cause, or lead to, a delay in the commencement or completion of clinical trials may also ultimately lead to the denial of a regulatory approval for setmelanotide, RM-718 or bivamelagon. Any delays to our preclinical studies or clinical trials that occur as a result could shorten any period during which we may have the exclusive right to commercialize setmelanotide, RM-718 or bivamelagon, in each case if approved, and our competitors may be able to bring products to market before we do, and the commercial viability of our product candidates could be significantly reduced. Any of these occurrences may harm our business, financial condition and prospects significantly.
In addition, the FDA’s and other regulatory authorities’ policies with respect to clinical trials may change and additional government regulations may be enacted. For instance, the EU Clinical Trials Regulation (CTR) which was adopted in April 2014 and repeals the EU Clinical Trials Directive, became applicable on January 31, 2022. While the EU Clinical Trials Directive required a separate clinical trial application (CTA) to be submitted in each member state in which the clinical takes place, to both the competent national health authority and an independent ethics committee, the CTR introduces a centralized process and only requires the submission of a single application for multi-center trials. The CTR allows sponsors to make a single submission to both the competent authority and an ethics committee in each member state, leading to a single decision per member state. The assessment procedure of the CTA has been harmonized as well, including a joint assessment by all member states concerned, and a separate assessment by each member state with respect to specific requirements related to its own territory, including ethics rules. Each member state’s decision is communicated to the sponsor via the centralized EU portal. Once the CTA is approved, clinical study development may proceed. The CTR transition period ended on January 31, 2025 and all clinical trials (and related applications) are now fully subject to the provisions of the CTR. Compliance with the CTR requirements by us and our third-party service providers, such as CROs, may impact our development plans.
61

Furthermore, on April 28, 2025, the UK adopted an amendment to the UK clinical trials regulations intended to support a more streamlined and flexible regulation of clinical trials, removing unnecessary administrative burdens on trial sponsors, whilst protecting the interests of trial participants. It also intends to bring the UK regulatory framework for clinical trials, which is still based on the EU Clinical Trials Directive, into closer alignment with the (EU) CTR. The amendment will become applicable on April 28, 2026 following a one-year transition period.
If we are slow or unable to adapt to changes in existing requirements or the adoption of new requirements or policies governing clinical trials, our development plans may be impacted.
Research and development in the pharmaceutical industry is costly, risky, time-intensive and complicated. In particular, our CHI program is a pre-clinical discovery-stage program and we may not succeed in identifying a CHI program candidate to translate to development and even if we do we may not succeed in developing a CHI program product candidate.
Research and development in the pharmaceutical industry is an expensive, high-risk, lengthy, complicated, resource intensive process. In order to develop a product successfully, we must, among other things:
conduct scientific discovery in areas that are uncertain, unproven and complex;
identify potential product candidates;
submit for and receive regulatory approvals or allowances to perform clinical trials;
design and conduct appropriate preclinical studies and clinical trials according to good laboratory practices and good clinical practices and disease-specific expectations of the FDA and other regulatory bodies;
Select and recruit suitable clinical investigators and subjects for our clinical trials;
Obtain and correctly interpret data establishing adequate safety of our product candidates and demonstrating that our product candidates are effective for their proposed indications;
Submit for and receive regulatory approvals; and
Manufacture the product candidates according to current Good Manufacturing Practices, or cGMPs, and other applicable standards and regulations.
There is a high rate of failure inherent in this process, and potential products that appear promising at early stages of the research and development process may fail for a number of reasons. Importantly, positive results from preclinical studies of a product candidate may not be predictive of similar results in human clinical trials, promising results from earlier clinical trials of a product candidate may not be replicated in later clinical trials, and observations from ongoing trials, including observations based on interim, preliminary, or blinded data, may not be representative of results after the trials are completed and all data are collected and analyzed. Many companies in the pharmaceutical and biotechnology industries have suffered significant setbacks in late-stage clinical trials even after achieving positive results in earlier stages of development and have abandoned development efforts or sought partnerships in order to continue development.
In addition, there are many other difficulties and uncertainties inherent in pharmaceutical research and development that could significantly delay or otherwise materially impair our ability to develop future product candidates, including the following:
Conditions imposed by regulators, ethics committees or institutional review boards for preclinical testing and clinical trials relating to the scope or design of our clinical trials, including selection of endpoints and number of required patients or clinical sites;
Challenges in designing clinical trials that may support any potential claims of superiority over current standard of care or future competitive therapies;
62

Restrictions placed upon, or other difficulties with respect to, clinical trials and clinical trial sites, including with respect to potential clinical holds or suspension or termination of clinical trials due to, among other things, potential safety or ethical concerns or noncompliance with regulatory requirements;
Delayed or reduced enrollment in clinical trials, high discontinuation rates or overly concentrated patient enrollment in specific geographic regions;
Failure by third-party contractors, contract research organizations, or CROs, clinical investigators, clinical laboratories, or suppliers to comply with regulatory requirements or meet their contractual obligations in a timely manner;
Greater than anticipated cost of our clinical trials; and
Insufficient product supply or inadequate product quality.
Evolving competitive landscape for our products and product candidates, which could cause us to modify our development programs, notwithstanding positive data or trial results in existing trials, in order to seek alternate indications or routes of administration or to substitute or otherwise modify our product candidates in light of the evolving competitive landscape and changing commercial prospects for our product and product candidates.
In addition, we cannot state with certainty when or whether our CHI program will ever identify a product candidate to translate from research to the development stage or whether our other product candidates now under development will be approved or launched; whether, if initially granted, such approval will be maintained; whether we will be able to develop, license, or otherwise acquire additional products or product candidates; or whether our products, once launched, will be commercially successful.
Failure to successfully develop setmelanotide for additional indications or to develop product candidates for any of the foregoing reasons may materially adversely affect our business, financial condition, results of operations and prospects and the value of our common stock.
Setmelanotide, RM-718 or bivamelagon may cause undesirable side effects that could delay or prevent additional regulatory approvals, limit the commercial profile of approved labeling, or result in significant negative consequences following marketing approval.
First generation MC4R agonists were predominantly small molecules that failed in clinical trials due to significant safety issues, particularly increases in blood pressure, and had limited efficacy. Undesirable side effects caused by setmelanotide, RM-718 or bivamelagon could cause us or regulatory authorities to interrupt, delay or halt clinical trials and could result in a more restrictive labeling or the delay or denial of additional regulatory approvals by the FDA or other equivalent competent authorities in foreign jurisdictions. Treatment-related side effects could also affect patient recruitment or the ability of enrolled patients to complete the trial or result in potential product liability claims. Any of these occurrences may prevent us from achieving or maintaining market acceptance of the affected product candidate and may adversely affect our business, financial condition and prospects significantly.
Setmelanotide, RM-718 and bivamelagon are MC4R agonists. Potential side effects of MC4R agonism, which have been noted either with setmelanotide or with other MC4R agonists in clinical trials and preclinical studies, may include:
adverse effects on cardiovascular parameters, such as increases in heart rate and blood pressure;
erections in males and similar effects in women, such as sexual arousal, clitoral swelling and hypersensitivity;
nausea and vomiting;
reduced appetite;
headache;
63

effects on mood, depression, anxiety and other psychiatric manifestations; and
other effects, for which an investigator reported as unrelated to setmelanotide or for which no increased incidence or pattern or causal relationship is currently evident.
In addition, injection site reactions have been seen in subcutaneous, or SC, injections with setmelanotide. Also, setmelanotide has likely off target effects on the closely related MC1 receptor, which mediates skin pigmentation in response to sun exposure. Other MC1 receptor mediated effects include darkening of skin blemishes, such as freckles and moles, and hair color change. These MC1 receptor mediated skin effects are not tolerated by all patients, as a small number of patients have withdrawn from treatment due to skin darkening. These effects have generally been reversible in clinical trials after discontinuation of setmelanotide, but it is still unknown if they will be reversible with long term exposure. The MC1 receptor mediated effects may also carry risks. The long term impact of MC1 receptor activation has not been tested in clinical trials, and could potentially include increases in skin cancer, excess biopsy procedures and cosmetic blemishes. These skin changes may also result in unblinding, which could make interpretation of clinical trial results more complex and possibly subject to bias. We have also initiated trials of setmelanotide in potential new indications that include patients who might have more serious underlying conditions. It is possible that the underlying conditions in these patients, such as congestive heart failure and potentially other conditions, may confound the understanding of the safety profile of setmelanotide.
If these or other significant adverse events or other side effects are observed in any of our ongoing or planned clinical trials, we may have difficulty recruiting patients to the clinical trials, patients may drop out of our trials, or we may be required to abandon the trials or our development efforts of that product candidate altogether. We, the FDA, other comparable regulatory authorities or an IRB may also suspend clinical trials of a product candidate at any time for various reasons, including a belief that subjects in such trials are being exposed to unacceptable health risks or adverse side effects. Some potential therapeutics developed in the biotechnology industry that initially showed therapeutic promise in early-stage trials have later been found to cause side effects that prevented their further development. Even if the side effects do not preclude setmelanotide, RM-718 or bivamelagon from obtaining or maintaining marketing approval or obtaining additional approvals, undesirable side effects may inhibit market acceptance due to its tolerability versus other therapies. Any of these developments could materially adversely affect our business, financial condition and prospects.
Further, if we or others identify undesirable side effects associated with or caused by the products, or any other similar product, before or after regulatory approvals, a number of potentially significant negative consequences could result, including:
regulatory authorities may request that we withdraw the product from the market or may limit or vary their approval of the product through labeling or other means;
regulatory authorities may require the addition of labeling statements, such as a “boxed” warning or a contraindication;
the FDA, the EU competent authorities and other equivalent competent authorities in foreign jurisdictions may require the addition of a Risk Evaluation and Mitigation Strategy, or REMS, or other specific obligations as a condition for marketing authorization due to the need to limit treatment to rare patient populations, or to address safety concerns;
we may be required to change the way the product is distributed or administered or change the labeling of the product;
we may be required to conduct additional studies and clinical trials or comply with other post-market requirements to assess possible serious risks;
we may be required to conduct long term safety follow-up evaluations, including setting up disease and drug based registries;
we may decide to remove the product from the marketplace;
our other MC4 agonist products or product candidates may be perceived by regulators or other third parties as unsafe, which could adversely affect our development efforts and product portfolio;
64

we could be sued and held liable for injury caused to individuals exposed to or taking the product; and
our reputation may suffer.
Any of these events could prevent us from achieving or maintaining market acceptance of setmelanotide, RM-718 or bivamelagon, and could substantially increase the costs of commercializing setmelanotide, RM-718 or bivamelagon and significantly impact our ability to successfully commercialize setmelanotide, RM-718 or bivamelagon and generate revenues.
We may not be able to obtain or maintain orphan drug designations for setmelanotide, RM-718 or bivamelagon or to obtain or maintain orphan exclusivity. Even with exclusivity, competitors may obtain approval for different drugs that treat the same indications as setmelanotide, RM-718 and bivamelagon.
The FDA may designate drugs for relatively small patient populations as orphan drugs. Under the Orphan Drug Act of 1983, or the Orphan Drug Act, the FDA may designate a product candidate as an orphan drug if it is intended to treat a rare disease or condition, which is defined under the Federal Food, Drug and Cosmetic Act, or FDCA, as having a patient population of fewer than 200,000 individuals in the United States, or a patient population greater than 200,000 in the United States where there is no reasonable expectation that the cost of developing the drug will be recovered from sales in the United States.
Generally, if a product candidate with an orphan drug designation receives the first marketing approval for the disease or condition for which it has such designation, the product is entitled to a period of seven years of marketing exclusivity, which precludes the FDA from approving another marketing application for a product that constitutes the same drug with the same approved use or indication within such disease or condition for that marketing exclusivity period, except in limited circumstances.
The exclusivity period in the United States can be extended by six months if the NDA sponsor submits pediatric data that fairly respond to a written request from the FDA for such data. Orphan drug exclusivity may be revoked if the FDA determines that the request for designation was materially defective or if the manufacturer is unable to assure sufficient quantity of the product to meet the needs of patients with the rare disease or condition. Other potential benefits of orphan drug designation and/or approval of a designated drug include eligibility for: exemption from certain prescription drug user fees, tax credits for certain qualified clinical testing expenses, and waivers from the pediatric assessment requirements of the Pediatric Research Equity Act.
In the EU, orphan designation is granted by the EC based on a scientific opinion of the EMA’s Committee for Orphan Medicinal Products. A medicinal product may be designated as orphan if its sponsor can establish that (i) the product is intended for the diagnosis, prevention or treatment of a life-threatening or chronically debilitating condition; (ii) either (a) such condition affects no more than 5 in 10,000 persons in the EU when the application is made, or (b) the product, without the benefits derived from orphan status, would not generate sufficient return in the EU to justify investment; and (iii) there exists no satisfactory method of diagnosis, prevention or treatment of such condition authorized for marketing in the EU, or if such a method exists, the medicinal product will be of significant benefit to those affected by the condition. The application for orphan designation must be submitted before the application for marketing authorization.
Grant of orphan designation by the EC also entitles the holder of this designation to financial incentives such as reduction of fees or fee waivers, protocol assistance, and access to the centralized marketing authorization procedure. In addition to a range of other benefits during the development and regulatory review, orphan medicinal products are, upon grant of marketing authorization and assuming the requirement for orphan designation are also met at the time the marketing authorization is granted, entitled to ten years of exclusivity in all EU member states for the approved therapeutic indication, which means that the competent authorities cannot accept another MAA, grant a marketing authorization, or accept an application to extend a marketing authorization for a similar product for the same indication for a period of ten years. The period of market exclusivity is extended by two years for orphan medicinal products that have also complied with an agreed pediatric investigation plan, or PIP. No extension to any supplementary protection certificate can be granted on the basis of pediatric studies for orphan indications. Orphan medicinal product designation does not convey any advantage in, or shorten the duration of, the regulatory review and approval process.
The ten-year market exclusivity in the EU may be reduced to six years if, at the end of the fifth year, it is established that the product no longer meets the criteria for which it received orphan designation, including where it is shown that the product is sufficiently profitable not to justify maintenance of market exclusivity, or where the prevalence
65

of the condition has increased above the threshold. Additionally granting of an authorization for another similar orphan medicinal product where another product has market exclusivity can happen at any time: (i) the second applicant can establish that its product, although similar, is safer, more effective or otherwise clinically superior; (ii) the applicant cannot supply enough orphan medicinal product or (iii) where the applicant consents to a second orphan medicinal product application.
In connection with IMCIVREE’s approval, the FDA granted us seven years of orphan drug exclusivity for setmelanotide for chronic weight management in adult and pediatric patients 6 years of age and older with obesity due to POMC, PCSK1, or LEPR deficiency confirmed by genetic testing demonstrating variants in POMC, PCSK1, or LEPR genes that are interpreted as pathogenic, likely pathogenic, or of uncertain significance. The FDA also granted us seven years of orphan drug exclusivity for setmelanotide for chronic weight management in adult and pediatric patients 6 years of age and older with monogenic or syndromic obesity due to BBS. In the EU, we obtained ten years of market exclusivity for setmelanotide for the treatment of obesity and the control of hunger associated with genetically confirmed loss-of-function biallelic POMC, including PCSK1, deficiency or biallelic LEPR deficiency in adults and children 6 years of age and above. Following the FDA’s approval in December 2024 of the expanded indication for IMCIVREE to include patients as young as 2 years of age, in March 2025, the FDA expanded the scope of the current orphan drug exclusivity for IMCIVREE to provide for seven years of orphan-drug exclusivity for setmelanotide to reduce excess body weight and maintain weight reduction long term in pediatric patients aged 2 years to less than 6 years with syndromic or monogenic obesity due to POMC, PCSK1, LEPR deficiency as determined by an FDA-approved test demonstrating variants in POMC, PCSK1, or LEPR genes that are interpreted as pathogenic, likely pathogenic, or VUS.
We have also been granted orphan designation for setmelanotide for the treatment of: (i) Alström syndrome in both the United States and the EU; (ii) Prader-Willi syndrome in the United States and the EU; and (iii) acquired hypothalamic obesity in the EU and Japan.
We may not be able to maintain the benefits of orphan drug exclusivity, or that the FDA or the EC or Japan’s Ministry of Health, Labour and Welfare will grant orphan designations for setmelanotide for other uses. In addition, orphan drug designation neither shortens the development time or regulatory review time of a drug nor gives the drug any advantage in the regulatory review or approval process.
Even though we have obtained orphan drug exclusivity for certain uses of setmelanotide, such exclusivities may not effectively protect setmelanotide from competition because different drugs can be approved for the same indications and uses. In the United States, even after an orphan drug is approved, the FDA may subsequently approve another drug for the same indication or use within the relevant rare disease or condition if the FDA concludes that the latter drug is not the same drug or is clinically superior with respect to the relevant indication or use in that it is shown to be safer, more effective or makes a major contribution to patient care. As discussed above, similar rules apply in the EU.
Although we have obtained Breakthrough Therapy designation for setmelanotide for the treatment of obesity associated with certain defects upstream of the MC4R in the leptin melanocortin pathway, which includes POMC deficiency obesity, LEPR deficiency obesity, Bardet-Biedl syndrome and Alström syndrome, as well as hypothalamic obesity in the United States and PRIME designation in the EU for setmelanotide for the treatment of obesity and the control of hunger associated with deficiency disorders of the MC4R pathway, the FDA may rescind the Breakthrough Therapy designation and the EMA may withdraw the PRIME designation and we may be unable to obtain Breakthrough Therapy designation or the PRIME designation for other uses. In addition, Breakthrough Therapy designation by the FDA or PRIME designation by the EMA may not lead to a faster development, regulatory review or approval process, and neither do they increase the likelihood that setmelanotide will receive additional marketing approvals in the United States or additional marketing authorizations in the EU.
The FDA is authorized under the FDCA to give certain product candidates “Breakthrough Therapy designation.” A Breakthrough Therapy product candidate is defined as a product candidate that is intended, alone or in combination with one or more other drugs or biologics, to treat a serious or life-threatening disease or condition, where preliminary clinical evidence indicates that such product candidate may demonstrate substantial improvement on one or more clinically significant endpoints over existing therapies. The FDA will seek to ensure the sponsor of Breakthrough Therapy product candidate receives intensive guidance on an efficient drug development program, intensive involvement of senior managers and experienced staff on a proactive, collaborative and cross disciplinary review. In addition, the FDA may consider reviewing portions of an NDA before the sponsor submits the complete application, a process also known as rolling review. Product candidates designated as breakthrough therapies by the FDA may be eligible for other expedited programs, such as priority review, provided the relevant criteria are met.
66

Designation as Breakthrough Therapy is within the discretion of the FDA. Accordingly, even if we believe our product candidates meet the criteria for designation as Breakthrough Therapy, the FDA may disagree. In any event, the receipt of Breakthrough Therapy designation for a product candidate, or acceptance for one or more of the FDA’s other expedited programs, may not result in a faster development process, review or approval compared to products considered for approval under conventional FDA procedures and does not guarantee ultimate approval by the FDA. Regulatory standards to demonstrate safety and efficacy must still be met. Additionally, the FDA may later decide that the product candidate no longer meets the conditions for designation and may withdraw designation at any time or decide that the time period for FDA review or approval will not be shortened.
The PRIME (PRIority MEdicines) scheme was launched by the EMA in 2016. In the EU, innovative products that target an unmet medical need and are expected to be of major public health interest may be eligible for a number of expedited development and review programs, such as the PRIME scheme, which provides incentives similar to the Breakthrough Therapy designation in the United States. PRIME is a voluntary scheme aimed at enhancing the EMA’s support for the development of medicines that target unmet medical needs. It is based on increased interaction and early dialogue with companies developing promising medicines, to optimize their product development plans and speed up their evaluation to help them reach patients earlier. The benefits of a PRIME designation include the appointment of a rapporteur before submission of an MAA, early dialogue and scientific advice at key development milestones, and the potential to qualify products for accelerated review earlier in the application process. In late June 2018, setmelanotide was granted eligibility to PRIME by the Committee for Medicinal Products for Human Use, or CHMP for the treatment of obesity and the control of hunger associated with deficiency disorders of the MC4R receptor pathway. Acknowledging that setmelanotide targets an unmet medical need, the EMA offers enhanced support in the development of the medicinal product through enhanced interaction and early dialogue to optimize our development plans and speed up regulatory evaluation in the EU. As part of this designation, the EMA has provided guidance to us concerning the development of setmelanotide. However, the EMA may later decide that such product candidates no longer meet the conditions for qualification or decide that the time period for review or approval will not be shortened. Neither does the PRIME designation guarantee that the EC will grant additional marketing authorizations for setmelanotide.
Product developers that benefit from PRIME designation may be eligible for accelerated assessment (in 150 days instead of 210 days), which may be granted for medicinal products of major interest from a public health perspective or that target an unmet medical need, but this is not guaranteed.
We may not be able to translate the once-daily, subcutaneous injection formulations of setmelanotide into alternate formulations, including alternate methods of delivery for setmelanotide or alternative methods of delivery for or other product candidates that would be acceptable to the FDA or other equivalent competent authorities in foreign jurisdictions or commercially successful.
Setmelanotide is currently administered by once-daily subcutaneous (SC) injection using small insulin type needles and syringes. SC injection is generally less well received by patients than other methods of administration, such as oral administration. Considerable additional resources and efforts, including potential studies, may be necessary in order to translate the once-daily formulation of setmelanotide into a once-weekly formulation that may be well received by patients.
We have entered into a license agreement with Camurus AB, or Camurus, for the use of Camurus’ drug delivery technology, FluidCrystal, to formulate once-weekly setmelanotide. This formulation, if successfully developed for setmelanotide, and approved by the FDA and other regulatory authorities, will be delivered subcutaneously, similar to our once-daily formulation, except that we anticipate it would be injected once weekly. In addition, we have initiated development of an auto-injector device designed to make administration of our once-weekly product candidate easier and more convenient for our patients.
While we have started consultations with regulatory authorities about the potential path for approval of the once-weekly formulation, and have initiated clinical studies of the once-weekly formulation, we cannot yet estimate the requirements for non-clinical and clinical data, manufacturing program, time, cost, and probability of success for approval. Regulatory authorities have limited experience evaluating Camurus’ formulations, which further complicates our understanding regarding the information that may be required to obtain approval of a once-weekly formulation.
While we believe that this once-weekly formulation may be more convenient and less burdensome than setmelanotide, which is currently approved as a once-daily administration, we have paused development of this once-weekly formulation in favor of advancing RM-718. In the event RM-718 shows sufficiently positive efficacy and safety results, we plan to discontinue development of the weekly formulation of setmelanotide. Concurrently, we are engaging
67

with applicable regulatory authorities to address the impact of our discontinuing development of the weekly formulation of setmelanotide, which was a component of our pediatric investigation plan, or PIP, in the EU (and the United Kingdom). In Q1 2025, we submitted a request to modify the PIP to remove elements related to the weekly formulation with agreement received in Q2 2025. We cannot estimate the probability of success with respect to our development of additional formulations, nor the resources and time needed to succeed. If we are unable to develop and gain approval of new formulations of setmelanotide or of our other product candidates, our products may not achieve significant market acceptance and our business, financial condition and results of operations may be materially harmed.
Our approach to treating patients with MC4R pathway deficiencies requires the identification of patients with unique genetic subtypes, for example, POMC genetic deficiency. The FDA or other equivalent competent authorities in foreign jurisdictions could require the clearance, approval or certification of an in vitro companion diagnostic device to ensure appropriate selection of patients as a condition of approving setmelanotide in additional indications. The requirement that we obtain clearance, approval or certification of an in vitro companion diagnostic device would require substantial financial resources, and could delay or prevent the receipt of additional regulatory approvals for setmelanotide, or adversely affect those approvals we have already obtained.
We have focused our development of setmelanotide as a treatment for obesity caused by certain genetic deficiencies affecting the MC4R pathway. To date, we have employed in vitro genetic diagnostic testing to select patients for enrollment in our clinical trials, including our clinical trials for IMCIVREE and for other potential indications for setmelanotide. If the safe and effective use of any of our product candidates depends on an in vitro diagnostic that is not otherwise commercially available, then the FDA may require approval or clearance of that diagnostic, known as a companion diagnostic, at the same time as, or in connection with, the FDA approval of such product candidates.
In the EU, until May 25, 2022, in vitro diagnostic medical devices were regulated by Directive 98/79/EC, or the IVDD, which has been repealed and replaced by Regulation (EU) No 2017/746, or the IVDR. Unlike the IVDD, the IVDR is directly applicable in EU member states without the need for member states to implement into national law. The regulation of companion diagnostics is now subject to further requirements set forth in the IVDR. Following subsequent legislative changes, European institutions adopted a “progressive” roll-out of the IVDR to prevent disruption in the supply of in vitro diagnostic medical devices. The IVDR became applicable on May 26, 2022 but there is a tiered system extending the grace period for many devices (depending on their risk classification) before they have to be fully compliant with the regulation. For instance, under these provisions, class C devices (including devices that are intended to be used as companion diagnostics) had until May 26, 2026 to comply with the new requirements. In June 2024, to address issues related to notified body capacity, the EC adopted an extension of the grace period, resulting in an extended transition period until December 31, 2028 for certain class C devices, subject to compliance with the transitional provisions. The IVDR introduces a new classification system for companion diagnostics which are now specifically defined as diagnostic tests that support the safe and effective use of a specific medicinal product, by identifying patients that are suitable or unsuitable for treatment. Companion diagnostics will have to undergo a conformity assessment by a notified body. Before it can issue an EU certificate, the notified body must seek a scientific opinion from the EMA on the suitability of the companion diagnostic to the medicinal product concerned if the medicinal product falls exclusively within the scope of the centralized procedure for the authorization of medicines, or the medicinal product is already authorized through the centralized procedure, or MAA for the medicinal product has been submitted through the centralized procedure. For other substances, the notified body can seek the opinion from a national competent authority or the EMA. These modifications may make it more difficult and costly for us to obtain regulatory clearances or approvals or certification for our companion diagnostics or to manufacture, market or distribute our products after clearance, approval or certification is obtained. Compliance with the new requirements may impact our development plans for setmelanotide.
If the FDA or a comparable regulatory authority requires clearance, approval or certification of a companion diagnostic for setmelanotide, RM-718 or bivamelagon, any delay or failure by us or our current and future collaborators to develop or obtain regulatory clearance or approval of, or certification of, such tests, if necessary, could delay or prevent us from obtaining additional approvals for setmelanotide, or adversely affect the approvals we have already obtained. For example, IMCIVREE is currently approved by the FDA for use in adults and pediatric patients two years of age and older with syndromic or monogenic obesity due to BBS and due to POMC, PCSK1, or LEPR deficiencies as determined by a companion diagnostic demonstrating variants in POMC, PCSK1, or LEPR genes that are interpreted as pathogenic, likely pathogenic, or of uncertain significance. Any delay or failure by us or our current or future collaborators to develop or obtain regulatory clearance or approval of, or certification of, such tests, if and when necessary, could delay or prevent us from obtaining such additional approvals for setmelanotide, or adversely affect the approvals we have already obtained.
68

We rely, and expect that we will continue to rely, on third parties to conduct research and discovery activities and in our clinical trials. If these third parties do not successfully carry out their contractual obligations or meet expected timelines, we may not be able to advance our pre-clinical and clinical programs or obtain, on a timely basis or at all, additional regulatory approvals for or commercialize our product candidates, and our business could be substantially harmed.
We have agreements with third-party CROs to operationalize, provide monitors for and to manage data for our research and discovery efforts (including in our CHI program) and our ongoing clinical trials. We rely heavily on these parties for the execution of research and discovery activities and clinical trials and control only certain aspects of their activities. As a result, we have less direct control over the start-up, conduct, timing and completion of these activities and clinical trials, and the management of data developed through these activities and clinical trials than would be the case if we were relying entirely upon our own staff. Communicating with outside parties can also be challenging, potentially leading to mistakes as well as difficulties in coordinating activities. However, we remain responsible for the conduct of these activities and these trials and are subject to enforcement which may include civil and criminal liabilities for any violations of FDA rules and regulations and the comparable foreign regulatory provisions during the conduct of our clinical trials. Outside parties may:
have staffing difficulties;
fail to comply with contractual obligations;
devote inadequate resources to our clinical trials;
experience regulatory compliance issues;
undergo changes in priorities or become financially distressed; or
form more favorable relationships with other entities, some of which may be our competitors.
These factors, among others, may materially adversely affect the willingness or ability of third parties to conduct our research and discovery activities and our clinical trials and may subject us to unexpected cost increases that are beyond our control. Nevertheless, we are responsible for ensuring that all of our activities and each of our studies is conducted in accordance with the applicable protocol, legal, regulatory and scientific standards, and our reliance on third parties, including CROs, does not relieve us of our regulatory responsibilities. We and our CROs are required to comply with GCPs, which are regulations and guidelines enforced by the FDA, the competent authorities of the EU member states and equivalent competent authorities in foreign jurisdictions for any products in clinical development. The FDA and foreign regulatory authorities enforce GCPs through periodic inspections of clinical trial sponsors, principal investigators, and trial sites, and IRBs. If we or our CROs fail to comply with applicable GCPs, the clinical data generated in our clinical trials may be deemed unreliable and the FDA or other equivalent competent authorities in foreign jurisdictions may require us to perform additional clinical trials before approving our marketing applications, if ever. We cannot assure you that, upon inspection, the FDA or foreign regulatory authorities will determine that any of our clinical trials have complied with GCPs. In addition, our clinical trials must be conducted with products produced under cGMPs and similar foreign requirements. Our failure or the failure of our CROs to comply with these regulations may require us to repeat clinical trials, which would delay the regulatory approval process and could also subject us to enforcement action up to and including civil and criminal penalties.
If any of our relationships with these third-party CROs terminate, we may not be able to enter into arrangements with alternative CROs. If CROs do not successfully carry out their contractual obligations or meet expected timelines, if they need to be replaced or if the quality or accuracy of the clinical and other data they obtain are compromised due to the failure to adhere to our protocols, regulatory requirements or for other reasons, any related activities or clinical trials may be extended, delayed or terminated, and we may not be able to obtain regulatory approval for, or successfully commercialize a CHI therapeutic product, setmelanotide, RM-718 or bivamelagon. As a result, our financial results and the commercial prospects for setmelanotide, RM-718 or bivamelagon, would be harmed, our costs could increase and our ability to generate revenue could be delayed.
Risks Related to the Commercialization of IMCIVREE and, if Approved, our Products Candidates
69

The successful commercialization of IMCIVREE and any other product candidates for which we obtain approval will depend in part on the extent to which governmental authorities, private health insurers, and other third-party payors provide coverage and adequate reimbursement. Failure to obtain or maintain coverage and adequate reimbursement for IMCIVREE or our other product candidates, if any and if approved, could limit our ability to market those products and decrease our ability to generate revenue.
Our ability to successfully commercialize IMCIVREE or any other product candidates for which we obtain approval will depend in part on the extent to which coverage and reimbursement for these product candidates and related treatments will be available from government authorities, private health insurers and other organizations. Government authorities and third-party payors, such as private health insurers and health maintenance organizations, decide which medications they will pay for and provide reimbursement.
Increasing efforts by governmental and third-party payors in the United States and abroad to cap or reduce healthcare costs may cause such organizations to limit both coverage and the level of reimbursement for recently approved products, such as IMCIVREE, and, as a result, they may not cover or provide adequate payment. Even if we show improved efficacy or improved convenience of administration, third-party payors may deny or revoke the reimbursement status of our product candidates, if approved, or establish prices for our product candidates at levels that are too low to enable us to realize an appropriate return on our investment. If reimbursement is not available or is available only at limited levels, we may not be able to successfully commercialize IMCIVREE or other product candidates, and may not be able to obtain a satisfactory financial return. Further, as we continue to grow as an organization, previously-established prices may no longer be sufficient and could create additional pricing pressure for us.
No uniform policy for coverage and reimbursement for products exist among third-party payors in the United States. Therefore, coverage and reimbursement for products can differ significantly from payor to payor. As a result, the coverage determination process is often a time-consuming and costly process that may require us to provide scientific and clinical support for the use of IMCIVREE to each payor separately, and coverage and adequate reimbursement may not be applied consistently or obtained in the first instance or that step edits or other conditions on reimbursement may be imposed. Furthermore, rules and regulations regarding reimbursement change frequently, in some cases on short notice, and we believe that changes in these rules and regulations are likely.
In some foreign countries, particularly in Canada, the United Kingdom and in the EU member states, the pricing and reimbursement of prescription only medicinal products is subject to strict governmental control which varies widely between countries. In these countries, pricing negotiations with governmental authorities can take six to twelve months or longer after the receipt of regulatory approval and product launch. To obtain favorable reimbursement for the indications sought or pricing approval in some countries, we may be required to conduct a clinical trial that compares the cost effectiveness of IMCIVREE with other available therapies. If reimbursement for IMCIVREE is unavailable in any country in which we seek reimbursement, if it is limited in scope or amount, if it is conditioned upon our completion of additional clinical trials or if pricing is set at unsatisfactory levels, our operating results could be materially adversely affected.
In the EU, in particular, each EU member state can restrict the range of medicinal products for which its national health insurance system provides reimbursement and can control the prices of medicinal products for human use marketed in its territory. As a result, following receipt of marketing authorization in an EU member state, through any application route, an applicant is required to engage in pricing discussions and negotiations with the competent pricing authority in the individual EU member states. Some EU member states operate positive and negative list systems under which products may only be marketed once a reimbursement price has been agreed upon. Other EU member states approve a specific price for the medicinal product or may instead adopt a system of direct or indirect controls on the profitability of the company placing the medicinal product on the market. The downward pressure on healthcare costs in general, particularly prescription drugs, has become more intense. As a result, increasingly high barriers are being erected to the entry of new products. In addition, we may face competition for IMCIVREE from lower priced products in foreign countries that have placed price controls on pharmaceutical products.
Health Technology Assessment, or HTA, of medicinal products, however, is becoming an increasingly common part of the pricing and reimbursement procedures in Canada, the United Kingdom and some EU member states, including France, Germany, Italy, Spain, the Netherlands, Belgium, Norway and Sweden. HTA is the procedure according to which the assessment of the public health impact, therapeutic impact and the economic and societal impact of use of a given medicinal product in the national healthcare systems of the individual country is conducted. HTA generally focuses on the clinical efficacy and effectiveness, safety, cost, and cost effectiveness of individual medicinal products as well as their potential implications for the healthcare system. Those elements of medicinal products are compared with other treatment
70

options available on the market. The outcome of HTA regarding specific medicinal products will often influence the pricing and reimbursement status granted to these medicinal products by the competent authorities. The extent to which pricing and reimbursement decisions are influenced by the HTA of the specific medicinal product varies . In addition, in the EU, pursuant to Directive 2011/24/EU on the application of patients’ rights in cross border healthcare, a voluntary network of national authorities or bodies responsible for HTA in the individual EU member states was established. The purpose of the network is to facilitate and support the exchange of scientific information concerning HTAs. This may lead to harmonization of the criteria taken into account in the conduct of HTAs between EU member states and in pricing and reimbursement decisions and may negatively affect price in at least some EU member states.
On December 13, 2021, Regulation No 2021/2282 on HTA, amending Directive 2011/24/EU, was adopted. The Regulation entered into force in January 2022 and has been applicable since January 2025, with phased implementation based on the type of product, i.e. oncology and advanced therapy medicinal products as of 2025, orphan medicinal products as of 2028, and all other medicinal products by 2030. This Regulation intends to boost cooperation among EU member states in assessing health technologies, including new medicinal products, and provide the basis for cooperation at the EU level for joint clinical assessments in these areas. It will permit EU member states to use common HTA tools, methodologies, and procedures across the EU, working together in four main areas, including joint clinical assessment of the innovative health technologies with the highest potential impact for patients, joint scientific consultations whereby developers can seek advice from HTA authorities, identification of emerging health technologies to identify promising technologies early, and continuing voluntary cooperation in other areas. Individual EU member states will continue to be responsible for assessing non-clinical (e.g., economic, social, ethical) aspects of health technology, and making decisions on pricing and reimbursement.
Based on data from our Phase 2 trial, in 2023 setmelanotide was granted pre-marketing early-access authorization (AP1) in France for use in patients with hypothalamic obesity. This authorization was granted within France's early-access framework by the French National Agency for Medicines and Health Products Safety (ANSM), with the involvement of the French High Health Authority (HAS), and permits temporary access to a (presumed) innovative product candidate prior to European marketing authorization provided that certain conditions are met and especially when no suitable alternatives exist and when the benefit‑risk profile is considered favorable. Through the AP1 program we have collected real‑world evidence that we believe may support the potential of setmelanotide in this patient population; however, such data may not be predictive of outcomes in controlled trials or of any future regulatory decisions. Early‑access authorization is time‑limited, subject to ongoing review and renewal, may be modified, suspended, or terminated at any time by the competent authorities, and does not constitute, nor imply, marketing authorization in France, the EU, or elsewhere. AP1 status may not be maintained or extended, additional patients may not receive treatment under this program, and European or other regulatory authorities may not approve setmelanotide for hypothalamic obesity.
If we are unable to establish, maintain or expand our sales, marketing and distribution capabilities or enter into agreements with third parties to market, sell, and distribute IMCIVREE, we may not be able to generate revenue.
In order to market IMCIVREE, we must continue to build our sales, marketing, distribution, managerial and other non-technical capabilities or make arrangements with third parties to perform these services. Although we have received FDA and Health Canada approval, and EC and MHRA marketing authorization for certain indications, we are early in our commercialization efforts. Therefore, you should not compare us to commercial-stage biotechnology companies, and you should not expect that we will generate substantial revenues or become profitable in the near term. If we are unable to establish, maintain or expand our sales, marketing, market access, named patient sales, patient services, reimbursement and distribution capabilities, whether independently or with third parties, or if we are unable to do so on commercially reasonable terms, our business, results of operations, financial condition and prospects would be materially adversely affected.
In the United States, which accounts for the largest portion of our total revenues, the Company sells its product through a specialty pharmacy and through a 3PL company. Internationally, we make sales primarily to specialty distributors and retail pharmacy chains, as well as hospitals, many of which are government-owned or supported. We believe our pharmacy and distribution partners are appropriate and optimized for our commercialization efforts at present, however, these arrangements may not continue to operate as intended or be sufficient as we expand our commercialization efforts to include additional indications, such as acquired hypothalamic obesity. In particular, we partner with our U.S. specialty pharmacy for a significant portion of our revenue. Switching to an alternative, or adding another, specialty pharmacy or distributor would involve substantial cost and require extensive management time and focus. In addition, there is a natural transition period when a new specialty pharmacy or distributor commences work. If we choose to or are required to transition to a new specialty pharmacy or distributor, such transition could result in a material decline in our revenue, results of operations and cash flows.
71

We may never receive regulatory approval to market setmelanotide outside of the United States, Canada, the European Union and the United Kingdom.
We intend to seek marketing authorizations in various countries worldwide. In order to market any product outside of the United States, Canada, the EU or the United Kingdom, we must establish and comply with the numerous and varying safety, efficacy and other regulatory requirements of other countries. Marketing authorization procedures vary among countries and can involve additional setmelanotide testing and additional administrative review periods. The time required to obtain marketing authorization in other countries might differ from that required to obtain FDA approval or marketing authorization from the EC or the MHRA. The marketing authorization processes in other countries may implicate all of the risks detailed above regarding FDA approval in the United States as well as other risks. In particular, in many countries outside of the United States and Europe, products must receive pricing and reimbursement approval before the product can be commercialized. Obtaining this approval can result in substantial delays in bringing products to market in such countries. Grant of marketing authorization in one country does not ensure grant of marketing authorization in another country, but a failure or delay in obtaining marketing authorization in one country may have a negative effect on the regulatory process or commercial activities in others. Failure to obtain marketing authorization in other countries or any delay or other setback in obtaining such authorizations would impair our ability to market setmelanotide in such foreign markets. Any such impairment would reduce the size of our potential market share and could have a material adverse impact on our business, results of operations and prospects.
We may not achieve or maintain market acceptance for IMCIVREE, which would limit the revenue that we generate from the sale of IMCIVREE.
The commercial success of IMCIVREE will also depend upon the awareness and acceptance of IMCIVREE within the medical community, including physicians, patients and third-party payors. If IMCIVREE does not achieve or maintain an adequate level of acceptance by patients, physicians and third-party payors, we may not generate sufficient revenue to become or remain profitable. Before granting reimbursement approval, third-party payors may require us to demonstrate that, in addition to treating obesity caused by certain genetic deficiencies affecting the MC4R pathway, IMCIVREE also provides incremental health benefits to patients. Our efforts to educate the medical community and third-party payors about the benefits of IMCIVREE may require significant resources and may never be successful. All of these challenges may impact our ability to ever successfully market and sell IMCIVREE.
Market acceptance of IMCIVREE will depend on a number of factors, including, among others:
the ability of IMCIVREE to provide chronic weight management in patients with obesity caused by certain genetic deficiencies affecting the MC4R pathway and, if required by any competent authority in connection with the approval for these indications, to provide patients with incremental health benefits, as compared with other available treatments, therapies, devices or surgeries;
the complexities of clinical diagnosis and/or genetic testing, as needed, for certain of IMCIVREE’s indications, including obtaining and interpreting clinical or genetic results that support patient treatment with IMCIVREE;
the relative convenience and ease of SC injections as the necessary method of administration of IMCIVREE, including as compared with other treatments for patients with obesity;
the prevalence and severity of any adverse side effects associated with IMCIVREE;
limitations or warnings contained in the labeling approved for IMCIVREE by the FDA or the specific obligations imposed as a condition for marketing authorization imposed by other equivalent competent authorities in foreign jurisdictions, particularly by the EC;
availability of alternative treatments, including a number of obesity therapies already approved or expected to be commercially launched in the near future;
our ability to increase awareness of these diseases among our target populations through marketing and other cross-functional efforts;
72

the size of the target patient population, and the willingness of the target patient population to try new therapies and of physicians to prescribe these therapies;
the ability of IMCIVREE to treat the maximum range of pediatric patients, and any limitations on its indications for use;
the strength of marketing and distribution support and timing of market introduction of competitive products;
publicity concerning IMCIVREE or competing products and treatments;
pricing and cost effectiveness;
the effectiveness of our sales and marketing strategies and our ability to increase awareness of IMCIVREE through marketing efforts;
our ability to obtain sufficient third-party coverage or reimbursement;
the willingness of patients to pay out-of-pocket in the absence of third-party coverage (including in the case of named patient sales, which can be a costly and uncertain source of revenues) and the willingness of healthcare providers to obtain reimbursement, which can be challenging and may factor into their decision to prescribe IMCIVREE; and
the likelihood that competent authorities in foreign jurisdictions may require development of a REMS or other specific obligations as a condition of approval or post-approval, may not agree with our proposed REMS or other specific obligations, or may impose additional requirements that limit the promotion, advertising, distribution or sales of IMCIVREE.
Our industry is intensely competitive. If we are not able to compete effectively against current and future competitors, we may not be able to generate revenue from the sale of IMCIVREE, our business will not grow and our financial condition and operations will suffer.
The biotechnology and pharmaceutical industries are intensely competitive and subject to rapid and significant technological change. We have competitors in a number of jurisdictions, many of which have substantially greater name recognition, commercial infrastructures and financial, technical and personnel resources than we have. Established competitors may invest heavily to quickly discover and develop compounds and generate data that could, even absent regulatory approvals, establish a perception of efficacy in our targeted patient population, which could make IMCIVREE appear obsolete or uneconomical. Any new product that competes with an approved product may need to demonstrate compelling advantages in efficacy, convenience, tolerability and safety to be commercially successful. In addition, payors may require that patients try other medications known as step therapy or a “step-edit,” including medications approved for treatment of general obesity, before receiving reimbursement for IMCIVREE. Other competitive factors, including generic competition, could force us to lower prices or could result in reduced sales. In addition, new products developed by others could emerge as competitors to IMCIVREE and our other product candidates. If we are not able to compete effectively against our current and future competitors, our business will not grow and our financial condition and operations will suffer.
We face potential product liability exposure, and, if claims are brought against us, we may incur substantial liability.
The use of setmelanotide, RM-718, and bivamelagon in clinical trials and the sale of IMCIVREE exposes us to the risk of product liability claims. Product liability claims might be brought against us by patients, healthcare providers or others selling or otherwise coming into contact with IMCIVREE. For example, we may be sued if any product we develop allegedly causes injury or is found to be otherwise unsuitable during product testing, manufacturing, marketing or sale. Any such product liability claims may include allegations of defects in manufacturing, defects in design or a failure to warn of dangers inherent in the product, including as a result of interactions with alcohol or other drugs, negligence, strict liability and a breach of warranties. Claims could also be asserted under state consumer protection laws and any equivalent laws in foreign countries. If we become subject to product liability claims and cannot successfully defend ourselves against them, we could incur substantial liabilities. In addition, regardless of merit or eventual outcome, product liability claims may result in, among other things:
73

withdrawal of patients from our clinical trials;
substantial monetary awards to patients or other claimants;
decreased demand for IMCIVREE or any future product candidates following marketing approval, if obtained;
damage to our reputation and exposure to adverse publicity;
litigation costs;
distraction of management’s attention from our primary business;
loss of revenue; and
the inability to successfully commercialize IMCIVREE or any future product candidates, if approved.
We maintain product liability insurance coverage for our clinical trials and commercial product with a $20.0 million annual aggregate coverage limit. Our insurance coverage may be insufficient to reimburse us for any expenses or losses we may suffer. Moreover, in the future, we may not be able to maintain insurance coverage at a reasonable cost or in sufficient amounts to protect us against losses, including if insurance coverage becomes increasingly expensive. Large judgments have been awarded in class action lawsuits based on drugs that had unanticipated side effects. The cost of any product liability litigation or other proceedings, even if resolved in our favor, could be substantial, particularly in light of the size of our business and financial resources. A product liability claim or series of claims brought against us could cause our stock price to decline and, if we are unsuccessful in defending such a claim or claims and the resulting judgments exceed our insurance coverage, our financial condition, business and prospects could be materially adversely affected.
We rely completely on third-party suppliers to manufacture our clinical and commercial drug supplies of setmelanotide, RM-718, and bivamelagon, and we intend to rely on third parties to produce preclinical, clinical and commercial supplies of any future product candidate.
We do not currently have, nor do we plan to acquire, the infrastructure or capability to manufacture our clinical and commercial drug supply internally for setmelanotide, RM-718, bivamelagon, or any future product candidates, for use in the conduct of our preclinical studies and clinical trials, and we lack the internal resources and the capability to manufacture any product candidate on a clinical or commercial scale. The facilities used by our contract manufacturing organizations, or CMOs, to manufacture the active pharmaceutical ingredient, or API, and final drug product must successfully complete inspection by the FDA and other equivalent competent authorities in foreign jurisdictions pursuant to inspections that have been and will be conducted following submission of NDAs, NDA supplements or comparable foreign regulatory submissions to the other equivalent competent authorities in foreign jurisdictions. Our failure or the failure of our CMOs to successfully complete any potential preapproval inspections of the manufacturing facilities of setmelanotide, RM-718, and bivamelagon could delay the regulatory approval process. In addition, our clinical trials must be conducted with products produced in accordance with GMP and similar foreign regulations. Our failure or the failure of our CROs or CMOs to comply with these regulations may require us to repeat clinical trials, which would delay the regulatory approval process and could also subject us to enforcement action, including civil and criminal penalties. When we import any drugs or drug substances, we would be subject to FDA, United States Department of Agriculture, and U.S. Bureau of Customs and Border Patrol import regulation requirements. Such enforcement for our failure or our CROs or CMOs’ failure to comply with these regulations could result in import delays, detention of products, and, depending on criteria such as the history of violative activities, the FDA could place a foreign firm or certain drug substances or products on Import Alert and require that all such drug substances or products be subject to detention without physical examination which could significantly impact the global supply chain for setmelanotide, RM-718, and bivamelagon. With the exception of those on the FDA’s drug shortage list or properly imported by individuals, the FDCA prohibits the importation of prescription drug products for commercial use if they were manufactured in a foreign country, unless they have been approved or are otherwise authorized to be marketed in the United States and are labeled accordingly.
We currently contract with third parties for the manufacture of setmelanotide, RM-718, and bivamelagon and intend to continue to do so in the future. We have entered into process development and manufacturing service agreements with our CMOs, PolyPeptide Group, Braine L'Alleud, or Polypeptide, Neuland Laboratories, and Astrea Monts S.A.S. (formerly Recipharm), or Astrea, for certain process development and manufacturing services for regulatory starting materials and/or raw materials in connection with the manufacture of setmelanotide. We have entered into commercial
74

supply agreements with various CMOs, including with PolyPeptide and Astrea for manufacturing of drug substance and drug product for IMCIVREE. Under our agreements, we pay these third parties for services and or manufacturing in accordance with the terms of mutually agreed upon work orders, which we may enter into from time to time. We may engage additional third-party suppliers to manufacture our clinical and/or commercial drug supplies in the future. We also have engaged other third parties to assist in, among other things, distribution, post-approval safety reporting and pharmacovigilance activities. We cannot be certain that we can engage third-party suppliers on terms as favorable as those that are currently in place. There are a limited number of companies that can produce raw materials and API in the quantities and with the quality and purity that we require for our product. We believe our current network of manufacturing partners are able to fulfill our requirements, and are capable of continuing to expand capacity as needed. However,if our current suppliers are not able to continue to provide us with the quantities, quality, or purity of raw materials and API that we currently require or in the future will require, it could materially harm our ability to manufacture our products until a new source of supply, if any, could be identified and qualified in a reasonable time or on commercially reasonable terms. Any performance failure on the part of our suppliers could interrupt production of our products, which could have a material adverse effect on our business.
Additionally, we have evaluated, and will continue to evaluate, potential relationships with additional suppliers to increase overall capacity as well as further reduce risks associated with reliance on a limited number of suppliers for manufacturing.
We do not perform the manufacturing of any drug products and are completely dependent on our CMOs to comply with GMPs and similar foreign requirements for manufacture of both drug substance, or API and finished drug product. We recognize that we are ultimately responsible for ensuring that our drug substances and finished drug product are manufactured in accordance with GMPs and similar foreign requirements, and, therefore, the company’s management practices and oversight, including routine auditing, are critical. If our CMOs cannot successfully manufacture material that conforms to our specifications and the strict regulatory requirements of the FDA or other equivalent competent authorities in foreign jurisdictions, they may be subject to administrative and judicial enforcement for non-compliance and the drug products would be deemed misbranded or adulterated and prohibited from distribution into interstate commerce. Furthermore, all of our CMOs are engaged with other companies to supply and/or manufacture materials or products for such companies, which exposes our manufacturers to regulatory risks for the production of such materials and products. As a result, failure to satisfy the regulatory requirements for the production of those other company materials and products may affect the regulatory clearance of our CMOs’ facilities generally. In addition, satisfying the regulatory requirements for production of setmelanotide, RM-718, and bivamelagon with multiple suppliers, while assuring more robust drug availability in the future, adds additional complexity and risk to regulatory approval. If the FDA or another equivalent competent foreign regulatory agency does not approve these facilities for the manufacture of setmelanotide, RM-718, and bivamelagon or if it withdraws its approval in the future, we may need to find alternative manufacturing facilities, which would adversely impact our ability to develop, obtain regulatory approval for or market setmelanotide, RM-718, or bivamelagon.
Our CMOs are manufacturing finished drug product for use in our upcoming or ongoing clinical trials and for commercial supply. We believe we currently have a sufficient amount of finished setmelanotide, RM-718, bivamelagon, and placebo to complete our ongoing and planned clinical trials, and for commercial IMCIVREE supply. However, these projections could change based on delays encountered with manufacturing activities, equipment scheduling and material lead times. Any such delays in the manufacturing of finished drug product could delay our planned clinical trials of setmelanotide, RM-718, and bivamelagon, and our commercial IMCIVREE supply, which could delay, prevent or limit our ability to generate revenue and continue our business.
We do not have long term supply agreements in place with all of our contractors involved with the manufacturing of our weekly formulation of setmelanotide, RM-718, and bivamelagon. We currently place individual batch or campaign orders with the CMOs/suppliers that are individually contracted under existing master services and quality agreements for the weekly formulation of setmelanotide, RM-718, and bivamelagon. If we engage new contractors, such contractors must be approved by the FDA and other equivalent competent authorities in foreign jurisdictions. We will need to submit information to the FDA and other equivalent competent authorities in foreign jurisdictions describing the manufacturing changes. If manufacturing changes occur post-approval, the FDA and foreign regulatory authorities may have to approve these changes. We plan to continue to rely upon CMOs and, potentially, collaboration partners to manufacture commercial quantities of setmelanotide, RM-718, and bivamelagon, if approved. Our current scale of manufacturing appears adequate to support all of our current needs for clinical trial and initial commercial supplies for setmelanotide, RM-718, and bivamelagon, if approved. However, going forward, we may need to identify additional CMOs or partners to produce setmelanotide, RM-718, and bivamelagon on a larger scale.
75

Certain of our pharmaceutical products are manufactured outside of the United States. Recently, the U.S. government has initiated substantial changes in U.S. trade policy and U.S. trade agreements, including the initiation of tariffs on certain foreign goods, and has indicated an intention to impose tariffs on imported pharmaceutical products. In response to these tariffs, foreign governments have instituted or are considering imposing tariffs on certain U.S. goods, in addition to other retaliatory measures. If the U.S. imposes additional tariffs or other trade measures on pharmaceutical products, and in response other countries take further retaliatory trade measures, these actions could impose additional costs on our business.
Risks Related to Our Intellectual Property Rights
If we are unable to adequately protect our proprietary technology or maintain issued patents directed to setmelanotide, RM-718, and bivamelagon, others could compete against us sooner, which could have a material adverse impact on our business, results of operations, financial condition and prospects.
Our commercial success will depend in part on our success in obtaining and maintaining issued patents and other intellectual property rights in the United States and elsewhere and protecting our proprietary technology. If we do not adequately protect our intellectual property and proprietary technology, competitors may be able to use our technologies and erode or negate any competitive advantage we may have, which could harm our business and ability to achieve profitability.
Our patents may not have, and any of our pending patent applications that mature into issued patents may not include, claims with a scope sufficient to protect setmelanotide, RM-718, and bivamelagon. In addition, our CHI program intellectual property may not have the scientific value and commercial potential which we envision. Other parties have developed technologies that may be related or competitive to our approach, and may have filed or may file patent applications and may have received or may receive patents that may overlap with our patent applications, either by claiming the same methods or formulations or by claiming subject matter that could dominate our patent positions. The patent positions of biotechnology and pharmaceutical companies, including our patent positions, involve complex legal and factual questions, and, therefore, the issuance, scope, validity and enforceability of any patent claims that we may obtain cannot be predicted with certainty.
Although an issued patent is presumed valid and enforceable, its issuance is not conclusive as to its validity or its enforceability and such patent may not provide us with adequate proprietary protection or competitive advantages against competitors with similar products. Patents, if issued, may be challenged, deemed unenforceable, invalidated or circumvented. U.S. patents and patent applications or the patents and patent application obtained or submitted pursuant to comparable foreign laws, may also be subject to interference proceedings, ex parte reexamination, inter partes review proceedings, post-grant review proceedings, supplemental examination and challenges in court. Patents may be subjected to opposition or comparable proceedings lodged in various foreign, both national and regional, patent offices. These proceedings could result in either loss of the patent or denial of the patent application or loss or reduction in the scope of one or more of the claims of the patent or patent application. In addition, such proceedings may be costly. Thus, any patents that we may own or exclusively license may not provide any protection against competitors. Furthermore, an adverse decision in an interference proceeding can result in a third party receiving the patent right sought by us, which in turn could affect our ability to develop, market or otherwise commercialize setmelanotide, RM-718, or bivamelagon.
Competitors may also be able to design around our patents. Other parties may develop and obtain patent protection for more effective technologies, designs or methods. The laws of some foreign countries may not protect our proprietary rights to the same extent as the laws of the United States, and we may encounter significant problems in protecting our proprietary rights in these countries. If these developments were to occur, they could have a material adverse effect on our sales.
In addition, proceedings to enforce or defend our patents could put our patents at risk of being invalidated, held unenforceable or interpreted narrowly. Such proceedings could also provoke third parties to assert claims against us, including that some or all of the claims in one or more of our patents are invalid or otherwise unenforceable. If any of our patents covering setmelanotide, RM-718, or bivamelagon are invalidated or found unenforceable, our financial position and results of operations would be materially and adversely impacted. In addition, if a court found that valid, enforceable patents held by third parties covered setmelanotide, RM-718, or bivamelagon, our financial position and results of operations would also be materially and adversely impacted.
The degree of future protection for our proprietary rights is uncertain, and we cannot ensure that:
76

any of our patents, or any of our pending patent applications, if issued, will include claims having a scope sufficient to protect setmelanotide, RM-718, or bivamelagon;
any of our pending patent applications will issue as patents;
we will be able to successfully commercialize IMCIVREE or our other product candidates before our relevant patents expire;
we were the first to make the inventions covered by each of our patents and pending patent applications;
we were the first to file patent applications for these inventions;
others will not develop similar or alternative technologies that do not infringe our patents;
any of our patents will be found to ultimately be valid and enforceable;
any patents issued to us will provide a basis for an exclusive market for our commercially viable products, will provide us with any competitive advantages or will not be challenged by third parties;
we will develop additional proprietary technologies or product candidates that are separately patentable; or
our commercial activities or products will not infringe upon the patents of others.
We rely upon unpatented trade secrets, unpatented know-how, and continuing technological innovation to develop and maintain our competitive positions, which we seek to protect, in part, by confidentiality agreements with employees, consultants, collaborators and vendors. We also have agreements with employees and selected consultants that obligate them to assign their inventions to us. It is possible that technology relevant to our business will be independently developed by a person who is not a party to such an agreement. We may not be able to prevent the unauthorized disclosure or use of our technical knowledge or trade secrets by consultants, collaborators, vendors, former employees and current employees. Furthermore, if the parties to our confidentiality agreements breach or violate the terms of these agreements, we may not have adequate remedies for any such breach or violation, and we could lose our trade secrets through such breaches or violations. Further, our trade secrets could otherwise become known or be independently discovered by our competitors.
We may be involved in lawsuits to protect or enforce our patents or the patents of our licensors, which could be expensive, time consuming and unsuccessful.
Competitors may infringe our patents or the patents of our licensors. To counter infringement or unauthorized use, we may be required to file infringement claims, which can be expensive and time consuming and divert the attention of our management and key personnel from our business operations. Even if we prevail in any lawsuits that we initiate, the damages or other remedies awarded may not be commercially meaningful. In addition, in an infringement proceeding, a court may decide that a patent of ours or our licensors is not valid, is unenforceable and/or is not infringed, or may refuse to stop the other party from using the technology at issue on the grounds that our patents do not cover the technology in question. An adverse result in any litigation or defense proceedings could put one or more of our patents at risk of being invalidated or interpreted narrowly and could put our patent applications at risk of not issuing.
Interference proceedings provoked by third parties or brought by us may be necessary to determine the priority of inventions with respect to our patents or patent applications or those of our licensors. An unfavorable outcome could require us to cease using the related technology or to attempt to license rights to it from the prevailing party. Our business could be harmed if the prevailing party does not offer us a license on commercially reasonable terms. Our defense of litigation or interference proceedings may fail and, even if successful, may result in substantial costs and distract our management and other employees. We may not be able to prevent, alone or with our licensors, misappropriation of our intellectual property rights, particularly in countries where the laws may not protect those rights as fully as in the United States.
Furthermore, because of the substantial amount of discovery required in connection with intellectual property litigation, there is a risk that some of our confidential information could be compromised by disclosure during this type of litigation. There could also be public announcements of the results of hearings, motions or other interim proceedings or
77

developments. If securities analysts or investors perceive these results to be negative, it could have a material adverse effect on the price of our common stock.
We may infringe the intellectual property rights of others, which may prevent or delay our product development efforts and stop us from commercializing or increase the costs of commercializing IMCIVREE or our other product candidates.
Our success will depend in part on our ability to operate without infringing the intellectual property and proprietary rights of third parties. We cannot assure you that our business, products and methods do not or will not infringe the patents or other intellectual property rights of third parties. For example, numerous third-party U.S. and non-U.S. patents and pending applications exist that cover melanocortin receptor analogs and methods of using these analogs.
The pharmaceutical industry is characterized by extensive litigation regarding patents and other intellectual property rights. Other parties may allege that setmelanotide, RM-718, or bivamelagon or the use of our technologies infringes patent claims or other intellectual property rights held by them or that we are employing their proprietary technology without authorization.
Patent and other types of intellectual property litigation can involve complex factual and legal questions, and their outcome is uncertain. Any claim relating to intellectual property infringement that is successfully asserted against us may require us to pay substantial damages, including treble damages and attorney’s fees if we are found to be willfully infringing another party’s patents, for past use of the asserted intellectual property and royalties and other consideration going forward if we are forced or choose to take a license. In addition, if any such claim were successfully asserted against us and we could not obtain such a license, we may be forced to stop or delay developing, manufacturing, selling or otherwise commercializing IMCIVREE or our other product candidates.
If we are unable to avoid infringing the patent rights of others, we may be required to seek a license, defend an infringement action or challenge the validity of the patents in court, or redesign our products. Patent litigation is costly and time consuming. We may not have sufficient resources to bring these actions to a successful conclusion.
In addition, in order to avoid infringing the intellectual property rights of third parties and any resulting intellectual property litigation or claims, we could be forced to do one or more of the following, which may not be possible and, even if possible, could be costly and time-consuming:
cease development of setmelanotide and commercialization of IMCIVREE or our other product candidates;
pay substantial damages for past use of the asserted intellectual property;
obtain a license from the holder of the asserted intellectual property, which license may not be available on reasonable terms, if at all; and
in the case of trademark claims, rename setmelanotide and/or its trade name IMCIVREE.
Any of these risks coming to fruition could have a material adverse effect on our business, results of operations, financial condition and prospects.
We may be subject to claims challenging the inventorship or ownership of our patents and other intellectual property.
We may also be subject to claims that former employees, collaborators or other third parties have an inventorship or ownership interest in our patents or other intellectual property. Litigation may be necessary to defend against these and other claims challenging inventorship or ownership. If we fail in defending any such claims, in addition to paying monetary damages, we may lose valuable intellectual property rights, such as exclusive ownership of, or right to use, such intellectual property. Such an outcome could have a material adverse effect on our business. Even if we are successful in defending against such claims, litigation could result in substantial costs and be a distraction to management and other employees.
Issued patents covering setmelanotide or our other product candidates could be found invalid or unenforceable if challenged in court.
78

If we or one of our licensing partners threatened or initiated legal proceedings against a third party to enforce a patent covering setmelanotide or one of our other product candidates, the defendant could claim that the patent covering setmelanotide or the other product candidates are invalid and/or unenforceable. In patent litigation in the United States, defendant counterclaims alleging invalidity and/or unenforceability are commonplace. Grounds for a validity challenge include alleged failures to meet any one of several statutory requirements, including novelty, non-obviousness and enablement. Grounds for unenforceability assertions include allegations that someone connected with prosecution of the patent withheld material information from the U.S. PTO, or made a misleading statement, during patent prosecution. Third parties may also raise similar claims before administrative bodies in the United States or abroad, even outside the context of litigation. Such mechanisms include re-examination, inter partes review, post grant review and equivalent proceedings in foreign jurisdictions, for example, opposition proceedings. Such proceedings could result in revocation or amendment of our patents in such a way that they no longer cover setmelanotide, our other product candidates, or competitive products. The outcome following legal assertions of invalidity and/or unenforceability is unpredictable. With respect to validity, for example, we cannot be certain that there is no invalidating prior art, of which we and the patent examiner were unaware during prosecution. If a defendant were to prevail on a legal assertion of invalidity and/or unenforceability, we would lose at least part, and perhaps all, of the patent protection on setmelanotide or our other product candidates. Such a loss of patent protection would have a material adverse impact on our business.
We do not seek to protect our intellectual property rights in all jurisdictions throughout the world and we may not be able to adequately enforce our intellectual property rights even in the jurisdictions where we seek protection.
Filing, prosecuting and defending patents on setmelanotide and our other product candidates in all countries and jurisdictions throughout the world would be prohibitively expensive, and our intellectual property rights in some countries outside the United States could be less extensive than those in the United States. In addition, the laws of some foreign countries do not protect intellectual property rights to the same extent as federal and state laws in the United States. Consequently, we may not be able to prevent third parties from practicing our inventions in all countries outside the United States, or from selling or importing products made using our inventions in and into the United States or other jurisdictions. Competitors may use our technologies in jurisdictions where we have not obtained patent protection to develop their own products and further, may export otherwise infringing products to territories where we have patent protection, but enforcement is not as strong as that in the United States. These products may compete with our product and our patents or other intellectual property rights may not be effective or sufficient to prevent them from competing.
Many companies have encountered significant problems in protecting and defending intellectual property rights in foreign jurisdictions. The legal systems of certain countries, particularly certain developing countries, do not favor the enforcement of patents and other intellectual property protection, particularly those relating to biopharmaceuticals, which could make it difficult for us to stop the infringement of our patents or marketing of competing products in violation of our proprietary rights generally. For example, an April 2024 report from the Office of the United States Trade Representative identified a number of countries, including India and China, where challenges to the procurement and enforcement of patent rights have been reported. Several countries, including India and China, have been listed in the report every year since 1989. Proceedings to enforce our patent rights in foreign jurisdictions could result in substantial costs and divert our efforts and attention from other aspects of our business, could put our patents at risk of being invalidated or interpreted narrowly, could put our patent applications at risk of not issuing and could provoke third parties to assert claims against us. We may not prevail in any lawsuits that we initiate and the damages or other remedies awarded, if any, may not be commercially meaningful. Accordingly, our efforts to enforce our intellectual property rights around the world may be inadequate to obtain a significant commercial advantage from the intellectual property that we develop or license.
We are dependent on licensed intellectual property. If we were to lose our rights to licensed intellectual property, we may not be able to continue developing or commercializing setmelanotide or bivamelagon.
We have licensed our rights to setmelanotide from Ipsen, and our rights to bivamelagon from LGC. Our licenses with Ipsen and LGC impose various obligations on us, and provide Ipsen and LGC the right to terminate the license in the event of our material breach of the license agreement, our failure to initiate or complete certain development of a licensed product, or our commencement of an action seeking to have an Ipsen or LGC licensed patent right declared invalid. Termination of our license from Ipsen or LGC would result in our loss of the right to use the licensed intellectual property, which would materially adversely affect our ability to develop and commercialize setmelanotide and bivamelagon, respectively, as well as harm our competitive business position and our business prospects. Furthermore, if our license agreement with LGC were terminated, we may be subject to certain refunds or be subject to certain payments to LGC.
79

We also have licensed from Camurus its drug delivery technology, FluidCrystal®, to formulate once-weekly setmelanotide. Our license with Camurus imposes various obligations on us, and provides Camurus the right to terminate the license in the event of our material breach of the license agreement. Termination of our license from Camurus would result in our inability to use the licensed intellectual property.
We may enter into additional license agreements to third-party intellectual property that are necessary or useful to our business. Future licensors may also allege that we have breached our license agreement and may accordingly seek to terminate our license with them. In addition, future licensors may have the right to terminate our license at will. Any termination could result in our loss of the right to use the licensed intellectual property, which could materially adversely affect our ability to develop and commercialize setmelanotide, as well as harm our competitive business position and our business prospects.
Any termination could result in our loss of the right to use the licensed intellectual property, which could materially adversely affect our ability to develop and commercialize setmelanotide or bivamelagon, as well as harm our competitive business position and our business prospects.
While we have registered trademarks for the commercial trade name IMCIVREE (setmelanotide) in the United States, the European Union, and other jurisdictions, we have not yet obtained trademark protection for IMCIVREE in certain foreign jurisdictions and failure to secure such registrations could adversely affect our business.
While we have received registered trademarks for the commercial trade name IMCIVREE (setmelanotide) and its logo in the United States, the EU, and other countries, we have not yet obtained trademark protection for IMCIVREE in certain foreign jurisdictions and are pursuing trademark registrations in other jurisdictions. Our trademark applications may be rejected during trademark registration proceedings. Although we would be given an opportunity to respond to those rejections, we may be unable to overcome them. In addition, in the U.S. PTO and in comparable agencies in many foreign jurisdictions, third parties are given an opportunity to oppose pending trademark applications and to seek to cancel registered trademarks. Opposition or cancellation proceedings may be filed against our trademarks, and our trademarks may not survive those proceedings.
If we do not obtain additional protection under the Hatch-Waxman Amendments and similar foreign legislation by extending the patent terms and obtaining product exclusivity for setmelanotide and our other product candidates, our business may be materially harmed.
Depending upon the timing, duration and specifics of FDA marketing approval for setmelanotide and our other product candidates, one or more of the U.S. patents we own or license may be eligible for limited patent term restoration under the Drug Price Competition and Patent Term Restoration Act of 1984, referred to as the Hatch Waxman Amendments. The Hatch Waxman Amendments permit a patent term restoration of up to five years as compensation for patent term lost during product development and the FDA regulatory review process. We have received patent term extension for IMCIVREE and will apply for patent term extension for our other product candidates at the appropriate time, however, we may not be granted an extension for these other product candidates because of, for example, failure to apply within applicable deadlines, failure to apply prior to expiration of relevant patents or otherwise failure to satisfy applicable requirements. Moreover, the applicable time period or the scope of patent protection afforded could be less than we request. If we are unable to obtain patent term extension or restoration or the term of any such extension is less than we request, our competitors may obtain approval of competing products following our patent expiration, and our ability to generate revenues could be materially adversely affected.
Because setmelanotide contains active ingredients that the FDA determined to be a new chemical entity, it was afforded five years of non-patent data exclusivity by the FDA. Following the expiration of this exclusivity period, the FDA may approve generic products referencing the information included in our NDA for setmelanotide. Manufacturers may seek to launch these generic products, even if we still have patent protection for setmelanotide. Legislation enacted by Congress has created, among other things, new causes of action against innovator companies that refuse to offer samples of drugs for purposes of testing and developing generic or biosimilar products or to allow companies to participate in a shared Risk Evaluation and Mitigation Strategy (REMS). Competition that setmelanotide may face from generic versions could materially and adversely impact our future revenue, profitability and cash flows and substantially limit our ability to obtain a return on the investments we have made in setmelanotide.
80

If we fail to obtain an extension of patent protection under similar foreign legislation, where applicable, our competitors may obtain approval of competing products following our patent expiration, and our ability to generate revenues could be materially adversely affected in the foreign countries concerned.
Changes in U.S. patent law could diminish the value of patents in general, thereby impairing our ability to protect our products.
The United States enacted the America Invents Act of 2011, wide is a wide-ranging patent reform legislation. Further, the U.S. Supreme Court has ruled on several patent cases in recent years, either narrowing the scope of patent protection available in certain circumstances or weakening the rights of patent owners in certain situations. In addition to increasing uncertainty with regard to our ability to obtain future patents, this combination of events has created uncertainty with respect to the value of patents, once obtained. Depending on decisions by the U.S. Congress, the federal courts and the U.S. PTO, the laws and regulations governing patents could change in unpredictable ways that would weaken our ability to obtain new patents or to enforce our existing patents or future patents.
We may be subject to damages resulting from claims that we or our employees have wrongfully used or disclosed alleged trade secrets of their former employers.
Our employees have been previously employed at other biotechnology or pharmaceutical companies, including competitors or potential competitors. We may be subject to claims that these employees or we have inadvertently or otherwise used or disclosed trade secrets or other proprietary information of the former employers of our employees. Litigation may be necessary to defend against these claims. Even if we are successful in defending against these claims, litigation could result in substantial costs and be a distraction to management. If we fail in defending such claims, in addition to paying money damages, we may lose valuable intellectual property rights or personnel. A loss of key personnel or their work product could hamper or prevent our ability to commercialize setmelanotide or our other product candidates, which would materially adversely affect our commercial development efforts.
Risks Related to Regulatory Approval and Marketing of IMCIVREE and Other Legal and Compliance Matters
Even if we complete the necessary clinical trials, the regulatory and marketing approval process is expensive, time consuming and uncertain and may prevent us from obtaining additional approvals for the commercialization of our product candidates. If we are not able to obtain, or if there are delays in obtaining, required regulatory approvals for our product candidates, we will not be able to commercialize such candidates and our ability to generate revenue will be materially impaired.
Our business depends largely on its successful clinical development, regulatory approval and commercialization of our product candidates. In the United States, IMCIVREE is approved to reduce excess body weight and maintain weight reduction long term in adults and pediatric patients 2 years of age and older with syndromic or monogenic obesity due to BBS or POMC, PCSK1 or LEPR deficiency as determined by an FDA-approved test demonstrating variants in POMC, PCSK1 or LEPR genes that are interpreted as pathogenic, likely pathogenic, or of uncertain significance. Health Canada has approved IMCIVREE for weight management in adult and pediatric patients 6 years of age and older with obesity due to BBS or genetically-confirmed POMC, PCSK1, or LEPR deficiency due to variants interpreted as pathogenic, likely pathogenic, or of VUS. The EC has authorized setmelanotide for the treatment of obesity and the control of hunger associated with genetically confirmed BBS or genetically confirmed loss-of-function biallelic POMC, including PCSK1, deficiency or biallelic LEPR deficiency in adults and children 2 years of age and above. The UK’s MHRA authorized setmelanotide for the treatment of obesity and the control of hunger associated with genetically confirmed BBS or genetically confirmed loss-of-function biallelic POMC, including PCSK1, deficiency or biallelic LEPR deficiency in adults and children 2 years of age and above. Setmelanotide will require substantial additional clinical development, testing and regulatory approval before we are permitted to commence commercialization in indications beyond those currently approved for IMCIVREE in the United States, the EU and the United Kingdom, and our other product candidates will require similar efforts before we are permitted to commercialize them for any indication. The clinical trials, manufacturing and marketing of our product candidates are subject to extensive and rigorous review and regulation by numerous government authorities in the United States and in other countries where we intend to test and, if approved, market such product candidates.
Before obtaining regulatory approvals for the commercial sale of any product candidate, we must demonstrate through nonclinical testing and clinical trials that the product candidate is safe and effective for use in each target indication. This process can take many years and approval, if any, may be conditional on postmarketing studies and
81

surveillance, and will require the expenditure of substantial resources beyond our existing cash resources. Of the large number of drugs in development in the United States and in other countries, only a small percentage will successfully complete the FDA regulatory approval process or the equivalent process in foreign jurisdictions and will be commercialized. In addition, we have not discussed all of our proposed development programs with the FDA or the competent authorities of foreign jurisdictions. Accordingly, even if we are able to obtain the requisite financing to continue to fund our development and clinical trials, we cannot assure you that setmelanotide will be successfully developed or commercialized.
In addition, obtaining FDA or EC approval is a complex, lengthy, expensive and uncertain process, and the FDA, EMA or equivalent competent authorities in foreign jurisdictions may delay, limit or deny approval of our product candidates for many reasons, including, among others:
the FDA, the EMA, or other equivalent competent authorities in foreign jurisdictions may disagree with our interpretation of data from clinical trials, or may change the requirements for approval even after it has reviewed and commented on the design for our clinical trials;
we may not be able to demonstrate to the satisfaction of the FDA, the EMA, or other equivalent competent authorities in foreign jurisdictions that our product candidates are safe and effective for their intended uses;
the results of our clinical trials may not be interpretable or meet the level of statistical or clinical significance required by the FDA, the EMA, or other equivalent competent authorities in foreign jurisdictions for marketing approval. For example, the potential unblinding of setmelanotide studies due to easily identifiable AEs may raise the concern that potential bias has affected the clinical trial results;
the FDA, the EMA, or other equivalent competent authorities in foreign jurisdictions may disagree with the number, size, conduct or implementation of our clinical trials;
the FDA, the EMA, or other equivalent competent authorities in foreign jurisdictions may require that we conduct additional clinical trials or pre-clinical studies;
the FDA, the EMA, or other equivalent competent authorities in foreign jurisdictions or the applicable foreign regulatory agency may identify deficiencies in our chemistry, manufacturing or controls of our product candidates, or in the commercial production of such product candidates that may be required to support product approval;
the CROs that we retain to conduct our clinical trials may take actions outside of our control that materially adversely impact our clinical trials;
the FDA, the EMA, or other equivalent competent authorities in foreign jurisdictions may find the data from preclinical studies and clinical trials insufficient to demonstrate that clinical and other benefits of a product candidate outweigh its safety risks;
the FDA, the EMA, or other equivalent competent authorities in foreign jurisdictions may disagree with our interpretation of data from our preclinical studies and clinical trials;
the FDA or other equivalent competent authorities in foreign jurisdictions may not approve the formulation, labeling or specifications of our product candidates;
the FDA, the EMA, or other equivalent competent authorities in foreign jurisdictions may not accept data generated at our clinical trial sites;
the FDA, the EMA, or the equivalent competent authorities in foreign jurisdictions may require, as a condition of approval, additional preclinical studies or clinical trials, limitations on approved labeling or distribution and use restrictions;
we may not be able to meet any post-market requirements or commitments agreed to in connection with regulatory approvals
82

the FDA may require development of a REMS as a condition of additional approvals or may impose additional requirements that limit the promotion, advertising, distribution, or sales of our product candidate;
the EC may grant only conditional marketing authorization or based on the EMA’s opinion impose specific obligations as a condition for marketing authorization, or may require us to conduct post authorization safety studies as a condition of grant of marketing authorization;
the FDA or other equivalent competent foreign regulatory agencies may deem our manufacturing processes or our facilities or the facilities of our CMOs inadequate to preserve the identity, strength, quality, purity, or potency of our product; or
the FDA or the equivalent competent authorities in foreign jurisdictions may change its approval policies or adopt new regulations and guidance.
Any of these factors, many of which are beyond our control, could jeopardize our ability to obtain additional regulatory approvals, or to successfully market IMCIVREE. Moreover, because our business is largely dependent upon setmelanotide, any such setback in our pursuit of regulatory approvals would have a material adverse effect on our business and prospects.
Future regulatory legislation or regulation may increase the difficulty and cost for us to obtain marketing approval of and commercialize our product candidates.
The EU pharmaceutical legislation has been undergoing a complete review process, in the context of the Pharmaceutical Strategy for Europe initiative, launched by the EC in November 2020. The EC’s proposal for a revision of several legislative instruments related to medicinal products was published on April 26, 2023. The proposed changes were since discussed and negotiated by the European Parliament and the Council of the EU as part of the EU ordinary legislative process. A provisional agreement has been reached by the European Parliament and Council of the EU on the proposed revisions on December 11, 2025. The proposed revisions (affecting the duration of regulatory data protection and market protection, including for orphan medicinal products, revising the eligibility for expedited pathways, etc.) remain to be formally adopted by the two institutions, which is not anticipated before early 2026. The proposed changes are not expected to enter into application before 2028. Furthermore, on April 28, 2025, the UK adopted an amendment to the UK clinical trials regulations intended to support a more streamlined and flexible regulation of clinical trials, removing unnecessary administrative burdens on trial sponsors, while protecting the interests of trial participants. It also intends to bring the UK regulatory framework for clinical trials, which is still based on the EU Clinical Trials Directive, into closer alignment with the (EU) CTR. The amendment will become applicable April 28, 2026, following a one-year transition period. The revisions, may, however, have a significant impact on the pharmaceutical industry and our business in the long term.
In the United States, the FDA oversees the rare pediatric disease priority review voucher program (the “PRV Program”), which aims to incentive drug development for rare pediatric diseases. Under the PRV Program, a company sponsor that receives a drug approval may qualify for a voucher that can be redeemed to receive priority review for a different product and these vouchers can be transferred or sold. Under the current provisions in the law enacting the PRV Program, the PRV Program began to sunset after December 20, 2024. These changes to the PRV Program could impact existing and future development programs and could negatively impact our business.
Disruptions at the FDA, including those caused by changing policy priorities, funding shortages staffing or other resource limitations could hinder their ability to hire, retain or deploy key leadership and other personnel, or otherwise prevent new or modified products from being developed, approved or commercialized in a timely manner or at all, which could negatively impact our business.
The ability of the FDA and foreign regulatory authorities to review and or approve new products can be affected by a variety of factors, including reductions in force or hiring freezes, government budget and funding levels, statutory, regulatory, and policy changes, the FDA’s and foreign regulatory authorities’ ability to hire and retain key personnel and accept the payment of user fees, and other events that may otherwise affect the FDA’s and foreign regulatory authorities’ ability to perform routine functions, including uncertainty associated with the new presidential administration in the United States. Average review times at the FDA and foreign regulatory authorities have fluctuated in recent years as a result of some of these factors and could also fluctuate in the future. In addition, government funding of other government agencies that fund research and development activities is subject to the political process, which is inherently fluid and unpredictable.
83

Disruptions at the FDA and other agencies may also slow the time necessary for new drugs and biologics to be reviewed and/or approved by necessary government agencies, which would adversely affect our business. For example, in recent years, the U.S. government has shut down several times and certain regulatory agencies, such as the FDA, have had to furlough critical FDA employees and stop critical activities. In addition, the current U.S. Presidential administration has issued and started to implement certain policies and Executive Orders directed towards reducing the employee headcount and costs associated with U.S. administrative agencies, including the FDA, and it remains unclear the degree to which these efforts may limit or otherwise adversely affect the FDA’s ability to conduct activities.
If a prolonged government shutdown occurs, or if policy changes, funding shortages or staffing limitations or any other disruptions prevent or hinder the FDA or other regulatory authorities from conducting their regular inspections, reviews, or other activities, including providing us with advice on our development programs in a timely manner, such events could significantly impact the ability of the FDA or other regulatory authorities to timely review and process our regulatory submissions, which could have a material adverse effect on our business. It could also impact our ability to access the public markets and obtain necessary capital in order to fund our operations.
Our failure to obtain marketing approval in foreign jurisdictions would prevent setmelanotide or our other product candidates from being marketed abroad, and any current or future approvals we have been or may be granted for setmelanotide or other products in the United States would not assure approval of setmelanotide or other products in foreign jurisdictions.
In order to market and sell setmelanotide and any other product candidate that we may develop in the EU and many other jurisdictions, we or our third-party collaborators must obtain separate marketing authorizations and comply with numerous and varying regulatory requirements. The marketing authorization procedure varies among countries and can involve additional testing. The time required to obtain marketing authorization may differ substantially from that required to obtain FDA approval. The marketing authorization process outside the United States generally includes all of the risks associated with obtaining FDA approval. In addition, in many countries outside the United States, it is required that the product be approved for reimbursement before the product can be sold in that country. We or these third parties may not obtain marketing authorization from competent authorities outside the United States on a timely basis, if at all. Approval by the FDA does not ensure grant of marketing authorization by competent authorities in other countries or jurisdictions, and grant of marketing authorization by one competent authority outside the United States does not ensure grant of marketing authorization by competent authorities in other countries or jurisdictions or by the FDA. We may not be able to file for marketing authorizations and may not receive necessary marketing authorization to commercialize setmelanotide in any market.
The terms of our current and future potential marketing approvals for setmelanotide and other product candidates and ongoing regulation may limit how we manufacture and market setmelanotide and other products, and compliance with such requirements may involve substantial resources, which could materially impair our ability to generate revenue.
Regulatory authorities may impose significant restrictions on setmelanotide’s indicated uses or marketing or impose ongoing requirements for potentially costly post approval studies, and the same may be true for our other product candidates, if approved. We and setmelanotide will also be subject to ongoing requirements by the FDA and foreign regulatory authorities, governing labeling, packaging, storage, advertising, promotion, marketing, distribution, importation, exportation, post-approval changes, manufacturing, recordkeeping, and submission of safety and other post market information. Advertising and promotional materials must comply with the FDCA and implementing regulations and foreign regulations and are subject to FDA and foreign regulatory authorities oversight and post-marketing reporting obligations, in addition to other potentially applicable federal and state laws. The FDA and the other competent foreign authorities have significant post market authority, including, for example, the authority to require labeling changes based on new safety information and to require post market studies or clinical trials to evaluate serious safety risks related to the use of a drug. The FDA and foreign regulatory authorities also has the authority to require, as part of an NDA or similar foreign application or post approval, the submission of a REMS or other specific obligations, which may include Elements to Assure Safe Use. Any REMS or other specific obligations required by the FDA or foreign regulatory authorities may lead to increased costs to assure compliance with new post approval regulatory requirements and potential requirements or restrictions on the sale of approved products, all of which could lead to lower sales volume and revenue. The holder of an approved NDA also must submit new or supplemental applications and obtain FDA approval for certain changes to the approved product, product labeling or manufacturing process, or adding new manufacturers. Similar requirements apply in foreign jurisdictions.
84

Manufacturers of drug products and their facilities may be subject to payment of application and program fees and are subject to continual review and periodic inspections by the FDA and other equivalent competent authorities for compliance with cGMPs and other regulations. If we or a regulatory agency discover problems with setmelanotide, such as AEs of unanticipated severity or frequency, or problems with the facility where setmelanotide is manufactured or disagrees with the promotion, marketing or labeling of the product, a regulatory agency may impose restrictions on setmelanotide, the manufacturer or us, including requiring withdrawal of setmelanotide from the market or suspension of manufacturing. If we or the manufacturing facilities for setmelanotide fail to comply with applicable regulatory requirements, a regulatory agency may, among other things:
issue warning letters or untitled letters;
seek an injunction or impose civil or criminal penalties or monetary fines;
vary, suspend or withdraw marketing approval;
suspend any ongoing clinical trials;
refuse to approve pending applications or supplements to applications submitted by us;
suspend or impose restrictions on operations, including costly new manufacturing requirements; or
seize or detain setmelanotide, refuse to permit the import or export of setmelanotide, or request that we initiate a product recall.
Any government investigation of alleged violations of law could require us to expend significant time and resources in response and could generate negative publicity. The occurrence of any event or penalty described above may inhibit our ability to commercialize our product candidates and adversely affect our business, financial condition, results of operations and prospects.
Accordingly, we and our CMOs will continue to expend time, money and effort in all areas of regulatory compliance, including manufacturing, production, product surveillance and quality control. If we are not able to comply with post-approval regulatory requirements, we could have the marketing approvals for setmelanotide withdrawn by regulatory authorities and our ability to market any future products could be limited, which could adversely affect our ability to achieve or sustain profitability. Thus, the cost of compliance with post-approval regulations may have a negative effect on our operating results and financial condition.
In addition, a sponsor’s responsibilities and obligations under the FDCA and FDA regulations, and those of equivalent foreign regulatory agencies, may change and additional government regulations may be enacted that could prevent, limit or delay regulatory approval of our product candidates. We cannot predict the likelihood, nature or extent of government regulation that may arise from future legislation or administrative action, either in the United States or abroad. If we are slow or unable to adapt to changes in existing requirements or the adoption of new requirements or policies, or if we are not able to maintain regulatory compliance, we may be subject to enforcement action and we may not achieve or sustain profitability.
Similar to the United States, both marketing authorization holders and manufacturers of medicinal products are subject to comprehensive regulatory oversight by the EMA and the competent authorities of the individual EU member states, both before and after grant of the manufacturing and marketing authorizations. This oversight includes control of compliance with GMP rules, which govern quality control of the manufacturing process and require documentation policies and procedures. We and our third-party manufacturers would be required to ensure that all of our processes, methods, and equipment are compliant with GMP. Failure by us or by any of our third-party partners, including suppliers, manufacturers, and distributors to comply with EU laws and the related national laws of individual EU member states governing the conduct of clinical trials, manufacturing approval, marketing authorization of medicinal products, both before and after grant of marketing authorization, and marketing of such products following grant of authorization may result in administrative, civil, or criminal penalties. These penalties could include delays in or refusal to authorize the conduct of clinical trials or to grant marketing authorization, product withdrawals and recalls, product seizures, suspension, revocation or variation of the marketing authorization, total or partial suspension of production, distribution, manufacturing, or clinical trials, operating restrictions, injunctions, suspension of licenses, fines, and criminal penalties.
85

In addition, EU legislation related to pharmacovigilance, or the assessment and monitoring of the safety of medicinal products, provides that the EMA and the competent authorities of the EU member states have the authority to require companies to conduct additional post-approval clinical efficacy and safety studies. The legislation also governs the obligations of marketing authorization holders with respect to additional monitoring, AE management and reporting. Under the pharmacovigilance legislation and its related regulations and guidelines, we may be required to conduct a labor intensive collection of data regarding the risks and benefits of marketed products and may be required to engage in ongoing assessments of those risks and benefits, including the possible requirement to conduct additional clinical studies, which may be time consuming and expensive and could impact our profitability. Noncompliance with such obligations can lead to the variation, suspension or withdrawal of marketing authorization or imposition of financial penalties or other enforcement measures.
Current and future healthcare reform legislation or regulation may increase the difficulty and cost for us and any future collaborators to commercialize setmelanotide and may adversely affect the prices we, or they, may obtain and may have a negative impact on our business and results of operations.
In the United States and some foreign jurisdictions there have been, and continue to be, a number of legislative and regulatory changes and proposed changes regarding the healthcare system that could, among other things, restrict or regulate post-approval activities with respect to IMCIVREE and affect our ability, or the ability of any future collaborators, to profitably sell our products. Among policy makers and payors in the United States and elsewhere, there is significant interest in promoting changes in healthcare systems with the stated goals of containing healthcare costs, improving quality and/or expanding access. In the United States and elsewhere, the pharmaceutical industry has been a particular focus of these efforts and has been significantly affected by major legislative and regulatory initiatives. We expect that current laws, as well as other healthcare reform measures that may be adopted in the future, may result in more rigorous coverage criteria and additional downward pressure on the price that we, or any future collaborators, may receive for IMCIVREE or any product candidates approved for sale. New and changing laws and regulations may also create uncertainty about how such laws and regulations will be interpreted and applied. If the Company is found to have violated laws and regulations, it could materially adversely affect the Company’s business, results of operations and financial condition.
The Patient Protection and Affordable Care Act (ACA) was signed into law in 2010. The ACA substantially changed the way healthcare is financed by both governmental and private insurers, and significantly affects the U.S. pharmaceutical industry. Among the provisions of the ACA of importance to our business, including, without limitation, our ability to commercialize and the prices we may obtain for any product candidates that are approved for sale, are the following:
an annual, nondeductible fee on any entity that manufactures or imports specified branded prescription drugs and biologic agents, apportioned among these entities according to their market share in certain government healthcare programs, although this fee does not apply to sales of certain products approved exclusively for orphan indications;
expansion of manufacturers’ rebate liability under the Medicaid Drug Rebate Program by increasing the minimum rebate for both branded and generic drugs, revising the “average manufacturer price” definition, and extending manufacturer rebate liability from fee-for-service Medicaid utilization to include the utilization of Medicaid managed care organizations as well;
expansion of the list of entity types eligible for participation in the Public Health Service 340B drug pricing program, or the 340B program, to include certain free-standing cancer hospitals, critical access hospitals, rural referral centers, and sole community hospitals, but exempting “orphan drugs,” such as IMCIVREE, from the 340B ceiling price requirements for these covered entities;
a Patient Centered Outcomes Research Institute to oversee, identify priorities in, and conduct comparative clinical effectiveness research, along with funding for such research; and
establishment of the Center for Medicare and Medicaid Innovation within CMS to test innovative payment and service delivery models to lower Medicare and Medicaid spending, including prescription drug spending.
Since its enactment, certain provisions of the ACA have been subject to judicial, executive, and legislative challenges and may be subject to additional challenges in the future. In addition, other legislative changes have been
86

proposed and adopted since the ACA was enacted. For example, additional changes that may affect our business include the expansion of new programs such as Medicare payment for performance initiatives for physicians under the Medicare Access and CHIP Reauthorization Act of 2015, or MACRA, which was fully implemented in 2019. The cost of prescription pharmaceuticals in the United States has also been the subject of considerable discussion in the United States. There have been several Congressional inquiries, as well as legislative and regulatory initiatives and executive orders designed to, among other things, bring more transparency to product pricing, review the relationship between pricing and manufacturer patient programs, and reform government program reimbursement methodologies for drug products.
The Inflation Reduction Act or (IRA) was enacted in 2022. This statute marks the most significant action by Congress with respect to the pharmaceutical industry since adoption of the ACA in 2010. Among other things, the IRA requires manufacturers of certain drugs to engage in price negotiations with Medicare, with prices that can be negotiated subject to a cap; imposes rebates under Medicare Part B and Medicare Part D to penalize price increases that outpace inflation (first due in 2023); redesigns the Medicare Part D benefit (beginning in 2024); and replaces the Part D coverage gap discount program with a new manufacturer discount program (beginning in 2025). CMS has published the negotiated prices for the initial ten drugs, which became effective in 2026, and the subsequent 15 drugs, which will first be effective in 2027. CMS has also published the next set of 15 drugs that will be subject to negotiation. The IRA permits the Secretary of the Department of Health and Human Services (HHS) to implement many of these provisions through guidance, as opposed to regulation, for the initial years. HHS has and will continue to issue and update guidance as these programs are implemented, although the Medicare drug price negotiation program is currently subject to legal challenges. The impact of the IRA on us and the pharmaceutical industry cannot yet be fully determined, but is likely to be significant.
Under the IRA manufacturer discount program that replaced the coverage gap discount program as of January 1, 2025, manufacturers must give a 10 percent discount on Part D drugs in the initial coverage phase, and a 20 percent discount on Part D drugs in the so-called “catastrophic phase” (the phase after the patient incurs costs above the initial phase out-of-pocket threshold, which is $2,000 beginning in 2025). The IRA allows the 10 and 20 percent discounts to be phased in over time for certain drugs for “specified manufacturers.” In April 2024, CMS informed us that we are deemed a specified manufacturer. We are still evaluating the potential impact of this status on our future revenues.
IMCIVREE is not currently reimbursed under Medicare Part D, but if we were to be reimbursed under Medicare Part D in the future, the reimbursement amount will be impacted by the 10 and 20 percent discounts under the IRA’s new discounting program. We anticipate that these increased discounts could impact IMCIVREE revenues, while also having an industry-wide impact on the cost of Part D drugs. The impact on IMCIVREE revenues could be offset because the IRA’s redesign of certain Part D components, some of which went into effect in 2024, resulted in an increase in the number of patients able to afford this therapy. The amount of the offset, if any, is inherently uncertain and difficult to predict.
The IRA manufacturer discounting program also increases financial obligations of Part D prescription drug plans with respect to beneficiaries in the catastrophic coverage phase. This may incentivize Part D prescription drug plans to seek greater price concessions from us in order to include IMCIVREE on their formularies.
The One Big Beautiful Bill Act, which was enacted in July 2025, imposes significant reductions in the funding of the Medicaid program. Such reductions are expected to decrease the number of persons enrolled in Medicaid and reduce the services covered by Medicaid, which could adversely affect our sales of IMCIVREE or any other product candidate that we commercialize.
The Trump administration is pursuing a two-fold strategy to reduce drug costs in the U.S. While it is unclear whether and how the Trump proposals will be implemented, the Trump policies are likely to have a negative impact on the pharmaceutical industry and on our ability to receive adequate revenues for IMCIVREE. On the one hand, President Trump has threatened to impose significant tariffs on pharmaceutical manufacturers that do not adopt pricing policies such as most favored nation pricing, which would tie the price for drugs in the U.S. to the lowest price in a group of other countries. In response, multiple manufacturers have reportedly entered into confidential pricing agreements with the federal government. On the other hand, the Trump administration is pursuing traditional regulatory pathways to impose drug pricing policies, and published two proposed regulations in December 2025, referred to as Globe and Guard. If finalized, these regulations would implement mandatory payment models under which manufacturers of eligible drugs would be required to pay rebates to the federal government on a portion of the units of their drugs that are reimbursed by Medicare, with the rebate amount based on most favored nation pricing. Imposing a rebate in the U.S. that is based on drug prices outside the U.S. would mark a drastic and unprecedented shift in the U.S. pharmaceutical market, and while the impact of the Globe and Guard proposed regulations, if finalized, cannot yet be determined, it is likely to be significant. Even regulatory proposals or executive actions that are ultimately deemed unlawful could negatively impact the U.S. pharmaceutical sector and our business. In addition, pharmaceutical pricing and marketing has long been the subject of considerable discussion in
87

Congress and among policymakers, and it is possible that Congress could enact additional laws that negatively affect the pharmaceutical industry.
Moreover, the individual states in the United States have become increasingly active in developing proposals, passing legislation and implementing regulations designed to control drug pricing, including price or patient reimbursement constraints, discounts, formulary flexibility, marketing cost disclosure, drug price increase reporting, and other transparency measures. Some states have enacted legislation creating so-called prescription drug affordability boards, with the goal of imposing price limits on certain drugs in these states, and at least one state board is imposing an upper payment limit. States are also seeking to implement general, across the board price caps for pharmaceuticals, or are seeking to regulate drug distribution. Some measures are designed to encourage importation from other countries. These types of initiatives may result in additional reductions in Medicare, Medicaid, and other healthcare funding, and may otherwise affect the prices we may obtain for IMCIVREE or the frequency with which IMCIVREE is prescribed or used.
We expect that these and other healthcare reform measures that may be adopted in the future may result in more rigorous coverage and payment criteria and in additional downward pressure on the price that we receive for any approved drug. Any reduction in reimbursement from Medicare or other government programs may result in a similar reduction in payments from private payors. The implementation of cost containment measures or other healthcare reforms may prevent us from being able to generate revenue, attain profitability, or commercialize our drugs. We expect that additional state and federal healthcare reform measures will be adopted in the future, any of which could limit the amounts that federal and state governments will pay for healthcare products and services, which could result in reduced demand for our product candidates or additional pricing pressures. We cannot predict with certainty what impact any federal or state health reforms will have on us, but such changes could impose new or more stringent regulatory requirements on our activities or result in reduced reimbursement for our products, any of which could adversely affect our business, results of operations and financial condition.
The pricing of prescription pharmaceuticals is also subject to governmental control outside the United States. In these countries, pricing negotiations with governmental authorities can take considerable time after the receipt of marketing approval for a product. To obtain reimbursement or pricing approval in some countries, we may be required to conduct a clinical trial that compares the cost effectiveness of setmelanotide to other available therapies. If reimbursement of our products is unavailable or limited in scope or amount, or if pricing is set at unsatisfactory levels, our ability to generate revenues and become profitable could be impaired. For more details concerning the risks related to pricing and reimbursement in the EU, please refer to the discussion in the risk factor “The successful commercialization of IMCIVREE and any other product candidates for which we obtain approval will depend in part on the extent to which governmental authorities, private health insurers, and other third-party payors provide coverage and adequate reimbursement levels. Failure to obtain or maintain coverage and adequate reimbursement for IMCIVREE or our other product candidates, if any and if approved, could limit our ability to market those products and decrease our ability to generate revenue” in this Annual Report.
If we fail to comply with our reporting and payment obligations under the Medicaid Drug Rebate Program or other governmental pricing programs in which we participate, we could be subject to additional reimbursement requirements, penalties, sanctions and fines, which could have a material adverse effect on our business, financial condition, results of operations and growth prospects.
Medicaid is a joint federal and state program administered by the states for low income and disabled beneficiaries. We participate in and have certain price reporting obligations under the Medicaid Drug Rebate Program, or the MDRP, as a condition of having covered outpatient drugs payable under Medicaid and, if applicable, under Medicare Part B. The MDRP requires us to pay a rebate to state Medicaid programs every quarter for each unit of our covered outpatient drugs dispensed to Medicaid beneficiaries and paid for by a state Medicaid program. The rebate is based on pricing data that we must report on a monthly and quarterly basis to the Centers for Medicare & Medicaid Services, or CMS, the federal agency that administers the MDRP and other governmental healthcare programs. These data include the average manufacturer price (AMP) for each drug and, in the case of innovator products, the best price, which in general represents the lowest price available from the manufacturer to certain entities in the United States in any pricing structure, calculated to include all sales and associated rebates, discounts and other price concessions. The Medicaid rebate consists of two components, the basic rebate and the additional rebate, which is triggered if the AMP for a drug increases faster than inflation. If we become aware that our MDRP government price reporting submission for a prior quarter was incorrect or has changed as a result of recalculation of the pricing data, we must resubmit the corrected data for up to three years after those data originally were due. If we fail to provide information timely or are found to have knowingly submitted false information to the government, we may be subject to civil monetary penalties and other sanctions, including termination from the MDRP.
88

In the event that CMS terminates our rebate agreement pursuant to which we participate in the MDRP, no federal payments would be available under Medicaid or Medicare Part B for our covered outpatient drugs. Our failure to comply with our MDRP price reporting and rebate payment obligations could negatively impact our financial results.
The recently-enacted IRA imposes rebates under Medicare Part B and Medicare Part D that are triggered by price increases that outpace inflation (first due in 2023), as described under the risk factor “Current and future healthcare reform legislation or regulation may increase the difficulty and cost for us and any future collaborators to obtain marketing approval of and commercialize setmelanotide and may adversely affect the prices we, or they, may obtain and may have a negative impact on our business and results of operations,” above. The Medicare Part D rebate, if applicable, will be calculated on the basis of the AMP figures we report pursuant to the MDRP.
Federal law requires that any company that participates in the MDRP also participate in the Public Health Service’s 340B drug pricing program in order for federal funds to be available for the manufacturer’s drugs under Medicaid and, if applicable, Medicare Part B. We participate in the 340B program, which is administered by the Health Resources and Services Administration (“HRSA”), and requires us to charge statutorily defined covered entities no more than the 340B “ceiling price” for our covered outpatient drugs. These 340B covered entities include a variety of community health clinics and other entities that receive health services grants from the Public Health Service, as well as hospitals that serve a disproportionate share of low-income patients. The ACA expanded the list of covered entities to include certain free-standing cancer hospitals, critical access hospitals, rural referral centers and sole community hospitals, but exempts “orphan drugs,” such as IMCIVREE, from the ceiling price requirements for these covered entities. The 340B ceiling price is calculated using a statutory formula based on the AMP and rebate amount for the covered outpatient drug as calculated under the MDRP, and in general, products subject to Medicaid price reporting and rebate liability are also subject to the 340B ceiling price calculation and discount requirement. We must report 340B ceiling prices to HRSA on a quarterly basis, and HRSA publishes those prices to 340B covered entities. In addition, HRSA has finalized regulations regarding the calculation of the 340B ceiling price and the imposition of civil monetary penalties on manufacturers that knowingly and intentionally overcharge covered entities for 340B-eligible drugs. HRSA has also finalized a revised regulation implementing an administrative dispute resolution process through which 340B covered entities may pursue claims against participating manufacturers for overcharges, and through which manufacturers may pursue claims against 340B covered entities for engaging in unlawful diversion or duplicate discounting of 340B drugs. Our failure to comply 340B program requirements could negatively impact our financial results. Any additional future changes to the definition of average manufacturer price and the Medicaid rebate amount under legislation or regulation could affect our 340B ceiling price calculations and also negatively impact our financial results.
In order for IMCIVREE or any product candidates, if approved, to be paid for with federal funds under the Medicaid and Medicare Part B programs and purchased by certain federal agencies and grantees, we also participate in the U.S. Department of Veterans Affairs, or VA, Federal Supply Schedule, or FSS, pricing program. As part of this program, we are required to make our products available for procurement on an FSS contract under which we must comply with standard government terms and conditions and charge a price that is no higher than the statutory Federal Ceiling Price, or FCP, to four federal agencies (VA, U.S. Department of Defense, or DOD, Public Health Service, and U.S. Coast Guard). The FCP is based on the Non-Federal Average Manufacturer Price, or Non-FAMP, which we must calculate and report to the VA on a quarterly and annual basis. Pursuant to applicable law, knowing provision of false information in connection with a Non-FAMP filing can subject a manufacturer to significant civil monetary penalties for each item of false information. The FSS pricing and contracting obligations also contain extensive disclosure and certification requirements.
We also participate in the Tricare Retail Pharmacy program, under which we are required to pay quarterly rebates on utilization of innovator products that are dispensed through the Tricare Retail Pharmacy network to Tricare beneficiaries. The rebates are calculated as the difference between the annual Non-FAMP and FCP. We are required to list our innovator products on a Tricare Agreement in order for them to be eligible for DOD formulary inclusion. If we overcharge the government in connection with our FSS contract or Tricare Agreement, whether due to a misstated FCP or otherwise, we are required to refund the difference to the government. Failure to make necessary disclosures and/or to identify contract overcharges could result in allegations against us under the False Claims Act and other laws and regulations. Unexpected refunds to the government, and responding to a government investigation or enforcement action, would be expensive and time-consuming, and could have a material adverse effect on our business, financial condition, results of operations and growth prospects.
Individual states continue to consider and have enacted legislation to limit the growth of healthcare costs, including the cost of prescription drugs and combination products. A number of states have either implemented or are considering implementation of drug price transparency legislation. Requirements of pharmaceutical manufacturers under
89

such laws include advance notice of planned price increases, reporting price increase amounts and factors considered in taking such increases, wholesale acquisition cost information disclosure to prescribers, purchasers, and state agencies, and new product notice and reporting. Such legislation could limit the price or payment for certain drugs, and a number of states are authorized to impose civil monetary penalties or pursue other enforcement mechanisms against manufacturers who fail to comply with drug price transparency requirements, including the untimely, inaccurate, or incomplete reporting of drug pricing information.
Pricing and rebate calculations vary among products and programs. The calculations are complex and are often subject to interpretation by us, governmental or regulatory agencies, and the courts. CMS, the Department of Health & Human Services Office of Inspector General, and other governmental agencies have pursued manufacturers that were alleged to have failed to report these data to the government in a timely or accurate manner. Governmental agencies may also make changes in program interpretations, requirements or conditions of participation, some of which may have implications for amounts previously estimated or paid. We cannot assure you that any submissions we are required to make under the MDRP, the 340B program, the VA/FSS program, the Tricare Retail Pharmacy Program, and other governmental drug pricing programs will not be found to be incomplete or incorrect.
The FDA and other regulatory agencies actively enforce the laws and regulations prohibiting the promotion of off-label uses.
In the United States, the FDA strictly regulates marketing, labeling, advertising and promotion of prescription drugs. These regulations include standards and restrictions for direct-to-consumer advertising, industry-sponsored scientific and educational activities, promotional activities involving the internet and off-label promotion. Any regulatory approval that the FDA grants is limited to those specific diseases and indications for which a product is deemed to be safe and effective by the FDA. For example, the FDA-approved label for IMCIVREE is limited to the reduction of excess body weight and maintenance of weight reduction long term in adult and pediatric patients 2 years of age and older with monogenic or syndromic obesity due to BBS or POMC, PCSK1, or LEPR, deficiency confirmed by FDA-approved test demonstrating variants in POMC, PCSK1, or LEPR genes that are interpreted as pathogenic, likely pathogenic, or of uncertain significance.
While physicians in the United States may choose, and are generally permitted, to prescribe drugs for uses that are not described in the product’s labeling and for uses that differ from those tested in clinical trials and approved by the regulatory authorities, our ability to promote the products is narrowly limited to those indications that are specifically approved by the FDA. These “off-label” uses are common across medical specialties and may constitute an appropriate treatment for some patients in varied circumstances. For example, we are actively evaluating setmelanotide, the active ingredient in IMCIVREE, in subjects with other forms of obesity caused by defects in the MCR4 pathway. We are not currently permitted to, and do not, market or promote setmelanotide for these uses.
Regulatory authorities in the United States generally do not regulate the behavior of physicians in their choice of treatments. Regulatory authorities do, however, restrict communications by pharmaceutical companies on the subject of off-label use. Although recent court decisions suggest that certain off-label promotional activities may be protected under the First Amendment, the scope of any such protection is unclear. If our promotional activities fail to comply with the FDA’s regulations or guidelines, we may be subject to warnings from, or enforcement action by, these authorities. In addition, our failure to follow FDA rules and guidelines relating to promotion and advertising may cause the FDA to issue warning letters or untitled letters, bring an enforcement action against us, suspend or withdraw an approved product from the market, require a recall or institute fines or civil fines, or could result in disgorgement of money, operating restrictions, injunctions or criminal prosecution, any of which could harm our reputation and our business.
In the EU, the advertising and promotion of our products are subject to EU laws governing promotion of medicinal products, interactions with physicians, misleading and comparative advertising and unfair commercial practices. In addition, other legislation adopted by individual EU member states may apply to the advertising and promotion of medicinal products. These laws require that promotional materials and advertising in relation to medicinal products comply with the product’s Summary of Product Characteristics, or SmPC, as approved by the competent authorities. The SmPC is the document that provides information to physicians concerning the safe and effective use of the medicinal product. It forms an intrinsic and integral part of the marketing authorization granted for the medicinal product. Promotion of a medicinal product that does not comply with the SmPC is considered to constitute off label promotion. The off label promotion of medicinal products is prohibited in the EU. The applicable laws at EU level and in the individual EU member states also prohibit the direct to consumer advertising of prescription only medicinal products. Violations of the rules governing the promotion of medicinal products in the EU could be penalized by administrative measures, fines and
90

imprisonment. These laws may further limit or restrict the advertising and promotion of our products to the general public and may also impose limitations on our promotional activities with health care professionals.
We may be subject to federal, state and foreign healthcare laws and regulations, including fraud and abuse laws, health information privacy and security laws, and antitrust laws. If we are unable to comply or have not fully complied with such laws and regulations, we could face criminal sanctions, damages, substantial civil penalties, reputational harm and diminished profits and future earnings.
Healthcare providers, physicians and others will play a primary role in the recommendation and prescription of setmelanotide, and other product candidates, if approved. Our arrangements and interactions with healthcare professionals, third-party payors, patients and others will expose us to broadly applicable fraud and abuse, antikickback, false claims and other healthcare laws and regulations that may constrain the business or financial arrangements and relationships through which we market, sell and distribute setmelanotide, if we obtain marketing approval. The U.S. federal, state and foreign healthcare laws and regulations that may affect our ability to operate include, but are not limited to:
The United States federal healthcare Anti-Kickback Statute, which prohibits, among other things, persons and entities from knowingly and willfully soliciting, offering, paying, or receiving remuneration, (anything of value), directly or indirectly, in cash or in kind, to induce or reward either the referral of an individual for, or the purchase, lease order or arranging for or recommending the purchase, lease or order of any good or service for which payment may be made, in whole or in part, by federal healthcare programs such as Medicare and Medicaid. This statute has been interpreted to apply to arrangements between pharmaceutical companies on one hand and prescribers, purchasers, formulary managers, and patients on the other. Liability under the Anti-Kickback Statute may be established without proving actual knowledge of the statute or specific intent to violate it. Although there are a number of statutory exceptions and regulatory safe harbors to the federal Anti-Kickback Statute protecting certain common business arrangements and activities from prosecution or regulatory sanctions, the exceptions and safe harbors are drawn narrowly. Practices that involve remuneration to those who prescribe, purchase, or recommend pharmaceutical and biological products, including certain discounts, or engaging such individuals or patients as consultants, advisors, or speakers, may be subject to scrutiny if they do not fit squarely within an exception or safe harbor. Our practices may not in all cases meet all of the criteria for safe harbor protection from anti-kickback liability. Moreover, there are no safe harbors for many common practices, such as educational and research grants, charitable donations, product and patient support programs.
The federal civil False Claims Act prohibits individuals or entities from, among other things, knowingly presenting, or causing to be presented a false or fraudulent claim for payment of government funds, or knowingly making, using or causing to made or used a false record or statement material to an obligation to pay money to the government or knowingly concealing or knowingly and improperly avoiding, decreasing or concealing an obligation to pay money to the federal government. Actions under the False Claims Act may be brought by the Attorney General or as a qui tam action by a private individual in the name of the government. Such private individuals may share in amounts paid by the entity to the government in recovery or settlement. Many pharmaceutical manufacturers have been investigated and have reached substantial financial settlements with the federal government under the civil False Claims Act for a variety of alleged improper activities including causing false claims to be submitted as a result of the marketing of their products for unapproved and thus non-reimbursable uses, inflating prices reported to private price publication services which are used to set drug payment rates under government healthcare programs, and other interactions with prescribers and other customers including those that may have affected their billing or coding practices and submission to the federal government. The government may assert that a claim including items or services resulting from a violation of the federal Anti-Kickback Statute constitutes a false or fraudulent claim for purposes of the federal civil False Claims Act. False Claims Act liability is potentially significant in the healthcare industry because the statute provides for treble damages and significant mandatory penalties per false or fraudulent claim or statement for violations. Because of the potential for large monetary exposure, healthcare and pharmaceutical companies often resolve allegations without admissions of liability for significant and material amounts to avoid the uncertainty of treble damages and per claim penalties that may be awarded in litigation proceedings. Settlements may require companies to enter into corporate integrity agreements with the government, which may impose substantial costs on companies to ensure compliance. Pharmaceutical and other healthcare companies also are subject to other federal false
91

claims laws, including, among others, federal criminal healthcare fraud and false statement statutes that extend to non-government health benefit programs.
The federal Health Insurance Portability and Accountability Act of 1996, as amended by the Health Information Technology for Economic and Clinical Health Act, or HIPAA, imposes criminal and civil liability for executing a scheme to defraud any healthcare benefit program, including private third-party payors, and also imposes obligations, with respect to safeguarding the privacy, security and transmission of individually identifiable health information. Penalties for failure to comply with a requirement of HIPAA vary significantly and include civil monetary penalties as well as criminal penalties for knowingly obtaining or disclosing individually identifiable health information in violation of HIPAA. The criminal penalties increase if the wrongful conduct involves false pretenses or the intent to sell, transfer or use identifiable health information for commercial advantage, personal gain or malicious harm. HIPAA also prohibits knowingly and willfully falsifying, concealing or covering up a material fact or making any materially false, fictitious or fraudulent statement or representation, or making or using any false writing or document knowing the same to contain any materially false, fictitious or fraudulent statement or entry in connection with the delivery of or payment for healthcare benefits, items or services. Similar to the federal healthcare Anti-Kickback Statute, a person or entity does not need to have actual knowledge of the statute or specific intent to violate it to have committed a violation.
The federal Physician Payments Sunshine Act, implemented as the Open Payments Program, requires certain manufacturers of drugs, devices, biologics and medical supplies to report payments and other transfers of value to physicians for which payment is available under Medicare, Medicaid or the Children’s Health Insurance Program (with certain exceptions) to report annually to the United States Department of Health and Human Services, Centers for Medicare and Medicaid Services, information related to physicians (defined to include doctors, dentists, optometrists, podiatrists, and chiropractors), certain non-physician practitioners (physician assistants, nurse practitioners, clinical nurse specialists, certified nurse anesthetists, anesthesiology assistants and certified nurse-midwives) and teaching hospitals, as well as ownership and investment interests held by physicians and their immediate family members. Manufacturers must submit reports on or before the 90th day of each calendar year disclosing reportable payments made in the previous calendar year.
Analogous state laws and regulations, such as state anti-kickback and false claims laws, which may apply to items or services reimbursed under Medicaid and other state programs or, in several states, regardless of the payer, including private insurers. Some state laws require pharmaceutical companies to report expenses relating to the marketing and promotion of pharmaceutical products and to report gifts and payments to individual health care providers in those states. Some of these states also prohibit certain marketing-related activities including the provision of gifts, meals, or other items to certain health care providers. Some states restrict the ability of manufacturers to offer co-pay support to patients for certain prescription drugs. Some states require the posting of information relating to clinical studies and their outcomes. Other states and cities require identification or licensing of sales representatives. In addition, several states require pharmaceutical companies to implement compliance programs or marketing codes of conduct.
Analogous foreign laws and regulations, including restrictions imposed on the promotion and marketing of medicinal products in the EU member states and other countries, restrictions on interactions with healthcare professionals and requirements for public disclosure of payments made to physicians. Laws (including those governing promotion, marketing and anti-kickback provisions), industry regulations and professional codes of conduct often are strictly enforced. Even in those countries where we may decide not to directly promote or market our products, inappropriate activity by our international distribution partners could have implications for us.
Ensuring that our business arrangements and interactions with healthcare professionals, third-party payors, patients and others comply with applicable healthcare laws and regulations will require substantial resources. Various state, federal and foreign regulatory and enforcement agencies continue actively to investigate violations of health care laws and regulations, and the United States Congress continues to strengthen the arsenal of enforcement tools.
92

It is possible that governmental authorities will conclude that our business practices do not comply with current or future statutes, regulations or case law involving applicable antitrust, fraud and abuse, privacy, or other healthcare laws and regulations. If our operations, including our engagements with healthcare professionals, researchers and patients, or our disease awareness and/or patient identification initiatives including genetic testing programs, or anticipated activities to be conducted by our field teams, were found to be in violation of any of these laws or any other governmental regulations that may apply to us, we may be subject to costly investigations, significant civil, criminal and administrative monetary penalties, imprisonment, damages, fines, disgorgement, exclusion from government funded healthcare programs, such as Medicare and Medicaid, contractual damages, diminished profits and future earnings, and the curtailment or restructuring of our operations, any of which could substantially disrupt our operations or financial results. Although compliance programs can mitigate the risk of investigation and prosecution for violations of these laws, the risks cannot be entirely eliminated. Any action against us for violation of these laws or regulations, even if we successfully defend against it, could cause us to incur significant legal expenses and generate negative publicity, which could harm our financial condition and divert our management’s attention from the operation of our business.
Our employees may engage in misconduct or other improper activities, whether knowingly or unknowingly, including violating applicable regulatory standards and requirements or engaging in insider trading, which could significantly harm our business.
We are exposed to the risk of employee fraud or other misconduct. Misconduct by employees could include intentional or unintentional failures to comply with the regulations of the FDA and applicable non U.S. regulators, provide accurate information to the FDA and applicable non U.S. regulators, comply with healthcare fraud and abuse laws and regulations in the United States and abroad, report financial information or data accurately or disclose unauthorized activities to us. In particular, sales, marketing and business arrangements in the healthcare industry are subject to extensive laws and regulations intended to prevent fraud, misconduct, kickbacks, self-dealing and other abusive practices. These laws and regulations restrict or prohibit a wide range of pricing, discounting, marketing and promotion, sales commission, customer incentive programs and other business arrangements. Employee misconduct could also involve the improper use of, including trading on, information obtained in the course of clinical trials, which could result in regulatory sanctions and serious harm to our reputation. It is not always possible to identify and deter employee misconduct, and any precautions we take to detect and prevent this activity may be ineffective in controlling unknown or unmanaged risks or losses or in protecting us from governmental investigations or other actions or lawsuits stemming from a failure to comply with these laws or regulations. If any such actions are instituted against us, and we are not successful in defending ourselves or asserting our rights, those actions could have a significant impact on our business, including the imposition of significant fines or other sanctions. Some of these laws and related risks are described under the risk factor “We may be subject to federal and state healthcare laws and regulations. If we are unable to comply or have not fully complied with such laws and regulations, we could face criminal sanctions, damages, substantial civil penalties, reputational harm and diminished profits and future earnings” of this Annual Report.
Actual or perceived failure to comply with data protection, privacy and security laws and regulations could lead to government enforcement actions and significant penalties against us, and adversely impact our operating results.
The global data protection landscape is rapidly evolving, and we are or may become subject to numerous state, federal and foreign laws, requirements and regulations governing the collection, use, disclosure, retention, and security of personal information. Implementation standards and enforcement practices are likely to remain uncertain for the foreseeable future, and we cannot yet determine the impact future laws, regulations, standards, or perception of their requirements may have on our business. This evolution may create uncertainty in our business, affect our ability to operate in certain jurisdictions or to collect, store, transfer use and share personal information, necessitate the acceptance of more onerous obligations in our contracts, result in liability or impose additional costs on us. The cost of compliance with these laws, regulations and standards is high and is likely to increase in the future. Any failure or perceived failure by us to comply with federal, state or foreign laws or regulations, our internal policies and procedures, our contracts governing our processing of personal information, or other privacy and security obligations could result in negative publicity, government investigations and enforcement actions, claims by third parties and damage to our reputation, any of which could have a material adverse effect on our financial performance, business and operating results.
In the United States, numerous federal and state laws and regulations, including HIPAA, as amended by the Health Information Technology for Economic and Clinical Health Act of 2009 and regulations implemented thereunder, collectively HIPAA, state data breach notification laws, state health information privacy laws and federal and state consumer protection laws, including Section 5 of the Federal Trade Commission Act, which govern the collection, use, disclosure and protection of health-related and other personal information, may apply to our operations and the operations
93

of current and future collaborators. We may obtain health information from third parties, such as research institutions with which we collaborate, that are subject to privacy and security requirements under HIPAA. Although we do not believe that we are directly subject to HIPAA, other than potentially with respect to providing certain employee benefits, we could be subject to criminal penalties if we knowingly obtain or disclose individually identifiable health information maintained by a HIPAA covered entity in a manner that is not authorized or permitted by HIPAA. In addition, state laws govern the privacy and security of health, research and genetic information in specified circumstances, many of which differ from each other in significant ways and may not have the same effect, thus complicating compliance efforts. Further, we may also be subject to other state laws governing the privacy, processing and protection of personal information. For example, the California Consumer Privacy Act as amended by the California Privacy Rights Act, collectively, the CCPA, requires covered businesses that process the personal information of California residents to, among other things: (i) provide certain disclosures to California residents regarding the business’s collection, use, and disclosure of their personal information; (ii) receive and respond to requests from California residents to access, delete, and correct their personal information, or to opt out of certain disclosures of their personal information; and (iii) enter into specific contractual provisions with service providers that process California resident personal information on the business’s behalf. Additional compliance investment and potential business process changes may also be required. Similar laws have been enacted in numerous other states, and are continuing to be proposed at the state and federal level, reflecting a trend toward more stringent privacy legislation in the United States. The enactment of such laws could have potentially conflicting requirements that would make compliance challenging. In addition, some of our research activities involve minors, which may be subject to additional laws and can require specialized consent processes, privacy protections, and compliance procedures. In the event that we are subject to or affected by HIPAA, the CCPA, or other domestic privacy and data protection laws, any liability from failure to comply with the requirements of these laws could adversely affect our financial condition.
Furthermore, the Federal Trade Commission, or FTC, and many state Attorneys General continue to enforce federal and state consumer protection laws against companies for the collection, use, and dissemination of personal information, and security practices that appear to be unfair or deceptive. For example, according to the FTC, failing to take appropriate steps to keep consumers’ personal information secure can constitute unfair acts or practices in or affecting commerce in violation of Section 5(a) of the Federal Trade Commission Act. The FTC expects a company’s data security measures to be reasonable and appropriate in light of the sensitivity and volume of consumer information it holds, the size and complexity of its business, and the cost of available tools to improve security and reduce vulnerabilities.
In 2024, the National Security Division of the U.S. Department of Justice (DOJ) issued a new rule—referred to as the “Data Security Program” (DSP)—to implement Executive Order 14117 aimed at preventing access to “bulk U.S. sensitive personal data” and “government-related data” by “countries of concern” (including China, Russia, Iran, North Korea, Cuba, and Venezuela) and “covered persons” (as all such terms are defined in the DSP). Effective as of April 8, 2025, and fully enforceable as of July 9, 2025, the DSP imposes stringent obligations on companies within its scope and prohibits or restricts “covered data transactions” that grant countries of concern or covered persons access to bulk U.S. sensitive personal data or any amount of government-related data. The DSP is new, complex and has yet to be enforced, and as such, there is a risk that our interpretation of its applicability, scope, and requirements is incorrect, incomplete, or misapplied. Compliance with the DSP may require us to invest in data security and compliance measures, such as implementing and complying with the Cybersecurity and Infrastructure Security Agency’s guidelines and other burdensome recordkeeping, reporting, and auditing requirements. It may also require us to implement new processes, stop or restrict certain data transfers, alter the geographic scope of our operations, cease doing business with certain third parties or using certain tools or vendors, or change how data flows throughout our business, any of which could materially impact our business operations or hinder our ability to grow our business. Finally, non-compliance with the DSP could result in significant civil or criminal penalties, which could materially adversely affect our business, results of operations, and financial condition.
Our operations abroad may also be subject to increased scrutiny or attention from data protection authorities. For example, in Europe, we are subject to the European Union General Data Protection Regulation (“EU GDPR”) and to the United Kingdom General Data Protection Regulation and Data Protection Act 2018 (collectively, the “UK GDPR”) (the EU GDPR and UK GDPR together referred to as the “GDPR”) The GDPR imposes strict requirements for the processing of the personal data of individuals within the European Economic Area, or EEA, and the UK or in the context of our activities in the EEA or UK, including health data from clinical trials and AE reporting. In particular, these requirements include certain obligations concerning the consent of the individuals to whom the personal data relates, the information provided to the individuals, the transfer of personal data out of the EEA or UK, security breach notifications, and security and confidentiality of the personal data, and violations of these requirements could result in substantial fines, up to the greater of 20 million Euros / 17.5 million GBP or 4% of total global annual turnover. In addition to the foregoing, a breach of the GDPR could result in regulatory investigations, reputational damage, orders to cease/change our processing of our data, enforcement notices, and/or assessment notices for a compulsory audit. We may also face civil claims including
94

representative actions and other class action type litigation (where individuals have suffered harm), potentially amounting to significant compensation or damages liabilities, as well as associated costs, diversion of internal resources, and reputational harm. Data protection authorities from the different EU and EEA member states may also interpret the GDPR and national laws differently and impose additional requirements, which adds to the complexity of processing personal data in the EU and the EEA.
Among other requirements, the GDPR also regulate transfers of personal data subject to the GDPR to third countries that have not been found to provide adequate protection to such personal data, including the United States. Case law from the Court of Justice of the European Union, or the CJEU, states that reliance on the standard contractual clauses - a standard form of contract approved by the EC as an adequate personal data transfer mechanism - alone may not necessarily be sufficient in all circumstances and that transfers must be assessed on a case-by-case basis. We expect the existing legal complexity and uncertainty regarding international personal data transfers to continue and international transfers to the United States and to other jurisdictions more generally to continue to be subject to enhanced scrutiny by regulators. As the regulatory guidance and enforcement landscape in relation to data transfers continue to develop, we could suffer additional costs, complaints and/or regulatory investigations or fines, and/or if we are otherwise unable to transfer personal data between and among countries and regions in which we operate, it could affect the manner in which we operate our business, the geographical location or segregation of our relevant systems and operations, and could adversely affect our financial results.
Although we work to comply with applicable laws, regulations and standards, our contractual obligations and other legal obligations, these requirements are evolving and may be modified, interpreted and applied in an inconsistent manner from one jurisdiction to another, and may conflict with one another or other legal obligations with which we must comply. Our failure to comply with our obligations under privacy or data security-related laws could adversely impact our ability to use the data generated in our studies. And any actual or perceived failure to comply with these data protection laws or adequately address privacy and security concerns could lead to government enforcement actions and significant penalties against us, and adversely impact our operating results.
In addition, we may use artificial intelligence, or AI, machine learning, and automated decision-making technologies, collectively, AI Technologies, in our business. The regulatory framework for AI Technologies is rapidly evolving as many federal, state, and foreign government bodies and agencies have introduced or are currently considering additional laws and regulations. Additionally, existing laws and regulations may be interpreted in ways that would affect the operation of AI Technologies. As a result, implementation standards and enforcement practices are likely to remain uncertain for the foreseeable future, and we cannot yet determine the impact future laws, regulations, standards, or market perception of their requirements may have on our business and may not always be able to anticipate how to respond to these laws or regulations.
It is possible that new laws and regulations will be adopted in the United States and in other non-U.S. jurisdictions, or that existing laws and regulations, including competition and antitrust laws, may be interpreted in ways that would limit our ability to use AI Technologies for our business, or require us to change the way we use AI Technologies in a manner that negatively affects the performance of our products, services, and business and the way in which we use AI Technologies. We may need to expend resources to adjust our products or services in certain jurisdictions if the laws, regulations, or decisions are not consistent across jurisdictions. Further, the cost to comply with such laws, regulations, or decisions and/or guidance interpreting existing laws, could be significant and would increase our operating expenses (such as by imposing additional reporting obligations regarding our use of AI Technologies). Such an increase in operating expenses, as well as any actual or perceived failure to comply with such laws and regulations, could adversely affect our business, financial condition and results of operations.
Our future growth depends, in part, on our ability to continue to penetrate foreign markets, where we will be subject to additional regulatory burdens and other risks and uncertainties.
Our future profitability will depend, in part, on our ability to continue to commercialize setmelanotide and our other product candidates in foreign markets for which we intend to rely on collaborations with third parties. As we continue to commercialize setmelanotide in foreign markets, we will be subject to additional risks and uncertainties, including:
our customers’ ability to obtain reimbursement for setmelanotide in foreign markets;
our inability to directly control commercial activities because we are relying on third parties;
95

the burden of complying with complex and changing foreign regulatory, tax, accounting and legal requirements;
different medical practices and customs in foreign countries affecting acceptance in the marketplace;
import or export licensing requirements;
longer accounts receivable collection times;
longer lead times for shipping;
language barriers for technical training;
reduced protection of intellectual property rights in some foreign countries;
foreign currency exchange rate fluctuations; and
the interpretation of contractual provisions governed by foreign laws in the event of a contract dispute.
Foreign sales of setmelanotide could also be adversely affected by the imposition of governmental controls, political and economic instability, trade restrictions and changes in tariffs, including the imposition of tariffs by the United States or any other tariffs that could apply directly or indirectly to the costs of goods required to manufacture setmelanotide.
Laws and regulations governing any international operations we may have in the future may preclude us from developing, manufacturing and selling setmelanotide or our other product candidates outside of the United States and require us to develop and implement costly compliance programs.
If we continue to expand our operations outside of the United States, we must dedicate additional resources to comply with numerous laws and regulations in each jurisdiction in which we plan to operate. The Foreign Corrupt Practices Act of 1977, or the FCPA, prohibits any U.S. individual or business from paying, offering, authorizing payment or offering anything of value, directly or indirectly, to any foreign official, political party or candidate for the purpose of influencing any act or decision of such third party in order to assist the individual or business in obtaining or retaining business. The FCPA also obligates companies whose securities are listed in the United States to comply with certain accounting provisions requiring the company to maintain books and records that accurately and fairly reflect all transactions of the company, including international subsidiaries, and to devise and maintain an adequate system of internal accounting controls for international operations.
Compliance with the FCPA is expensive and difficult, particularly in countries in which corruption is a recognized problem. In addition, the FCPA presents particular challenges in the pharmaceutical industry, because, in many countries, hospitals are operated by the government, and doctors and other hospital employees are considered foreign officials. Certain payments to hospitals in connection with clinical trials and other work have been deemed to be improper payments to government officials and have led to FCPA enforcement actions.
Various laws, regulations and executive orders also restrict the use and dissemination outside of the United States, or the sharing with certain non-U.S. nationals, of information classified for national security purposes, as well as certain products and technical data relating to those products. If we expand our presence outside of the United States, it will require us to dedicate additional resources to comply with these laws, and these laws may preclude us from developing, manufacturing or selling certain product candidates and products outside of the United States, which could limit our growth potential and increase our development costs.
The failure to comply with laws governing international business practices may result in substantial civil and criminal penalties and suspension or debarment from government contracting. The SEC also may suspend or bar issuers from trading securities on U.S. exchanges for violations of the FCPA’s accounting provisions.
The results of the United Kingdom’s departure from the EU, and the resulting impact of differing regulations, may have a negative effect on our business.
96

Since the end of the Brexit transition period on January 1, 2021, and the implementation of the Windsor Framework on January 1, 2025, the UK has not been directly subject to EU law with respect to medicinal products and has operated under a separate regulatory regime to the EU. As a result of the Northern Ireland Protocol, different rules applied in Northern Ireland than in Great Britain; broadly, Northern Ireland continued to follow the EU regulatory regime. However, on January 1, 2025, an arrangement called the “Windsor Agreement” came into effect and reintegrated Northern Ireland under the regulatory authority of the MHRA with respect to medicinal products. The Windsor Framework removes EU licensing processes, and EU labeling and serialization requirements, in relation to Northern Ireland, and introduces a UK-wide licensing process for medicinal products. There could be additional uncertainty and risk around what these changes mean to our business. With the exception of the adopted amendment to the UK clinical trials regulations on April 28, 2025, it is currently unclear to what extent the UK government will seek to align its regulations with the EU with respect to medicinal products. EU law, which has been transposed into UK law through secondary legislation, still remains applicable in the UK, however, new EU legislation such as the CTR is not applicable in the UK. While the UK has indicated a general intention that new laws regarding the manufacture and commercialization of medicinal products in the UK will align closely with EU law, there remain limited detailed proposals for the future regulation of medicinal products.
While the EU-UK Trade and Cooperation Agreement (TCA) includes the mutual recognition of GMP inspections of manufacturing facilities for medicinal products and GMP documents issued, it does not contain wholesale mutual recognition of UK and EU pharmaceutical regulations and product standards. There may be divergent local requirements in the UK from the EU in the future, which may impact clinical and development activities that occur in the UK. Similarly, clinical trial submissions in the UK cannot be bundled with those of EU member states within the EMA Clinical Trial Information System (CTIS). Any divergent requirements may increase the cost and complexity of running our business, including with respect to the conduct of clinical trials.
Since a significant proportion of the regulatory framework in the UK applicable to our business and our product candidates is derived from EU directives and regulations, the withdrawal could continue to impact the regulatory regime with respect to the development, manufacture, importation, approval and commercialization of our product candidates in the UK. The UK is no longer covered by the EU’s procedures for the grant of MA. A separate MA is required to market medicinal products in the UK. Such changes could increase our costs and otherwise adversely affect our business. Any delay in obtaining, or an inability to obtain regulatory approvals, as a result of Brexit or otherwise, may prevent us from commercializing our product candidates in the UK and restrict our ability to generate revenue and achieve or sustain profitability. If any of these outcomes occur, we may be forced to restrict or delay efforts to seek regulatory approval in the UK for our product candidates, which could significantly and materially harm our business.
Risks Related to Employee Matters and Managing Growth
Our future success depends on our ability to retain our key employees and consultants, and to attract, retain and motivate qualified personnel.
We are highly dependent on our executive leadership team. We have employment agreements with these individuals, but any individual may terminate his or her employment with us at any time. The loss of their services might impede the achievement of our research, development and commercialization objectives. We also do not have any key-person life insurance on any of these key employees. We rely on consultants and advisors, including scientific and clinical advisors, to assist us in formulating our development and commercialization strategy. Our consultants and advisors may be employed by employers other than us and may have commitments under consulting or advisory contracts with other entities that may limit their availability to us and may not be subject to non-compete agreements. Recruiting and retaining qualified scientific, technical, clinical development, regulatory, and sales and marketing personnel will also be critical to our success. We may not be able to attract and retain these personnel on acceptable terms given the competition among numerous pharmaceutical and biotechnology companies for similar personnel. We also experience competition for the hiring of scientific personnel from universities and research institutions. Failure to succeed in clinical trials may make it more challenging to recruit and retain qualified scientific personnel. In addition, we rely on existing employment-related visa programs to attract and retain qualified personnel. Immigration policy changes and uncertainty associated with the new presidential administration in the United States, including potential changes to the number of employment-related visas available as well as the process to obtain them, could make it more difficult to retain existing personnel and to recruit qualified candidates. For example, on September 19, 2025, it was announced that subject to limited exceptions, petitions for H-1B visas should be approved only if they are accompanied by a payment of $100,000. This policy could hamper our recruitment efforts for any new personnel who require such a visa. Additional changes in U.S. immigration policies, rules, laws or orders could further increase our recruitment costs or delay key projects that require specialized expertise. In addition, restrictions or delays in the issuance of other visas or in immigration processing could adversely affect our ability
97

to collaborate effectively with our employees outside the U.S. and to retain the qualified personnel needed for our operations. If we and our impacted candidates or employees are unable to obtain work visas in sufficient quantities or at a sufficient rate for a significant period of time, our business could be adversely affected.
We will need to develop and expand our Company, and we may encounter difficulties in managing this development and expansion, which could disrupt our operations.
We expect to increase our number of employees and the scope of our operations. In particular, we will need to continue our transition from a research and development focused company to a commercial-stage company. To manage our anticipated development and expansion, we must continue to implement and improve our managerial, operational and financial systems, expand our facilities and continue to recruit and train additional qualified personnel. Also, our management may need to divert a disproportionate amount of its attention away from their day-to-day activities and devote a substantial amount of time to managing these development activities. Due to our limited resources, we may not be able to effectively manage the expansion of our operations or recruit and train additional qualified personnel. This may result in weaknesses in our infrastructure, and give rise to operational mistakes, loss of business and commercial opportunities, loss of employees and reduced productivity among remaining employees. We may not be able to successfully recruit the personnel we require to operate and expand our business, including our expansion into new countries and markets due to a number of factors, including a lack of understanding of local employment practices, cultural barriers, low or no brand recognition as a desired employer or place to work, or the perceived risk of joining a company with a limited operating history. If our management is unable to effectively manage our expected development and expansion, our expenses may increase more than expected, our ability to generate or increase our revenue could be reduced and we may not be able to implement our business strategy.
The physical expansion of our operations may lead to significant costs and may divert financial resources from other projects, such as the development of setmelanotide and our other product candidates. Many of our suppliers and collaborative and clinical trial relationships are located outside the United States, and we have and may continue to hire employees located outside of the United States. Accordingly, our business has and may continue to be subject to economic, political, regulatory and other risks associated with international operations, such as compliance with tax, employment, immigration and labor laws for employees living or traveling abroad, workforce uncertainty in countries where labor unrest is more common than in the United States, as well as difficulties associated with staffing and managing international operations, including differing labor relations. Any of these factors could materially affect our business, financial condition and results of operations. Our future financial performance and our ability to commercialize our approved products and compete effectively will depend, in part, on our ability to effectively manage the future development and expansion of our Company.
Our information technology systems, or those of our third-party CROs, CMOs or other contractors or consultants, may fail or suffer security breaches, which could result in a material disruption of setmelanotide and other product candidate development programs, regulatory investigations, enforcement actions and lawsuits.
In the ordinary course of our business, we produce, collect, process and store sensitive data, including intellectual property, our proprietary business information and that of our suppliers, as well as personally identifiable information, including of our employees. Similarly, our third-party CROs, CMOs and other contractors and consultants possess certain amounts of our sensitive data. We have implemented certain physical, administrative and technical controls intended to ensure the confidentiality, integrity and availability of such sensitive information, and the secure maintenance of this information is material to our operations and business strategy. Even with the implementation of security measures, our information technology systems and those of our third-party CROs, CMOs and other contractors and consultants are susceptible to attack, damage, or interruption from computer security incidents and cyberattacks such as malware (e.g., ransomware), phishing and other social engineering attacks employee or contractor theft, misuse or human error, denial or degradation of service attacks, supply chain attacks, advanced persistent threats from nation-state actors, attacks developed or enhanced using artificial intelligence, and unauthorized access or use by persons inside or outside our organization. As a result of our hybrid work environment, we also face increased cybersecurity risks due to employees accessing company resources from insecure networks, and using personal (i.e., “bring-your-own-device”) or unmanaged devices which often lack enterprise-grade security controls and all of which creates additional opportunities for cybercriminals to exploit vulnerabilities and use social engineering techniques to carry out a cyberattack. Any such attack, incident or breach could compromise our information technology systems which may result in sensitive information being accessed, publicly disclosed, lost, corrupted or stolen. Further, cyberattacks are increasing in their frequency, persistence, sophistication and intensity, often conducted by organized and well-funded criminal groups with a wide range of motives and expertise. Consequently, our security controls may not always prevent a cyberattack, and a threat actor may remain undetected in our
98

systems for an extended period of time. Our cybersecurity risk management program and processes, including our policies, controls or procedures, may not be fully implemented, complied with or effective in protecting our systems and information. We maintain cyber liability insurance; however, it may not be sufficient to cover the financial, legal, business or reputational losses that may result from a service interruption or breach of our systems.
The global healthcare industry is increasingly integrating AI technologies and tools. However, like any emerging technology, AI presents its own set of risks, many of which are not yet fully understood. For example, AI algorithms may have inherent flaws, and data sets could be insufficient, low-quality, or biased. Additionally, inappropriate or controversial data practices by data scientists, engineers, and end-users could compromise results of AI processes. If AI applications generate flawed or inaccurate analyses or date, it could lead to competitive disadvantages, legal liabilities, and harm to our brand or reputation. Furthermore, the use of AI-based software might result in the inadvertent release of confidential information.
The legislative and regulatory landscape for privacy and data protection continues to evolve, and there has been an increasing amount of focus on privacy and data protection issues with the potential to affect our business, including laws in every state requiring security breach notification. Some laws also require implementation of reasonable security measures and provide a private right of action in the event of a breach. Costs of breach response, mitigation, investigation, remediation, notice and ongoing assessments can be considerable. Thus, any access, disclosure, damage or other loss of information, including our data being breached at our partners or third-party providers, could result in legal claims or proceedings and liability under state, federal and international privacy laws, disruption of our operations, and damage to our reputation, which could adversely affect our business.
We have put into place certain safeguards with technology, process and education to mitigate the risks inherent in our information technology systems and to defend against cyberattacks and security incidents. Although we do not believe that we have experienced any significant system failure, accident or security breach to date, including any significant or material cyberattacks and/or other information technology security incidents, if such an event were to occur and cause interruptions in our operations, it could result in a material disruption of our programs and material harm to our business and reputation. For example, the breach or loss of clinical trial data for setmelanotide or other product candidates could result in delays in our regulatory approval efforts and significantly increase our costs to recover or reproduce the data. To the extent that any disruption or security breach results in a loss of or damage to our data or applications or other data or applications relating to our technology or product candidates, or inappropriate disclosure of confidential or proprietary information, we could incur liabilities and the further development of setmelanotide and our product candidates could be delayed or prevented. It could also expose us to risks, including an inability to provide our services and fulfill contractual demands, and could cause management distraction and the obligation to devote significant financial and other resources to mitigate such problems, which would increase our future information security costs, including through organizational changes, deploying additional personnel, reinforcing administrative, physical and technical safeguards, further training of employees, changing third-party vendor control practices and engaging third-party subject matter experts and consultants and reduce the demand for our product and services.
Risks Related to Our Common Stock
Our directors and executive officers and their affiliated entities own a significant percentage of our stock and, if they choose to act together, will be able to exert significant influence over matters subject to stockholder approval.
Our executive officers and directors and their respective affiliates, in the aggregate, hold shares representing approximately 4.99% of our outstanding voting stock as of December 31, 2025. As a result, if these stockholders were to choose to act together, they would be able to significantly influence all matters submitted to our stockholders for approval, as well as our management and affairs. For example, these stockholders could significantly influence elections of directors, any amendments of our organizational documents, or approval of any merger, sale of assets, or other major corporate transaction. This may prevent or discourage unsolicited acquisition proposals or offers for our common stock that you may feel are in your best interest as one of our stockholders.
Market volatility may affect our stock price and the value of your investment.
The market price for our common stock has been volatile and may continue to fluctuate significantly in response to a number of factors, most of which we cannot control, including, among others:
99

plans for, progress of, or results from preclinical studies and clinical trials of setmelanotide and our other product candidates;
the failure of the FDA or EMA to approve IMCIVREE for additional indications or to initially approve our other product candidates;
announcements of new products, technologies, commercial relationships, acquisitions or other events by us or our competitors;
the success or failure of other weight loss therapies and companies targeting the rare diseases we intend to address;
regulatory or legal developments in the United States and other countries;
failure of setmelanotide or our other product candidates, if approved, to achieve commercial success;
fluctuations in stock market prices and trading volumes of similar companies;
general market conditions and overall fluctuations in U.S. and global equity markets;
global macroeconomic conditions or instability, including with respect to inflation rates or interest rates, curtailment of trade and other business restrictions such as tariffs or trade wars, boycotts, labor shortages, supply chain shortages, disruptions and instability in the banking industry and other parts of the financial services sector, outbreak of disease or epidemics, or other economic, political or legal changes, uncertainties or adverse developments;
terrorism and/or political instability, unrest and wars, which could delay or disrupt our business, and if such political unrest escalates or spills over to or otherwise impacts additional regions it could heighten many of the other risk factors included in this sections;
natural disasters and other extreme weather events (including as a result of climate change), which could cause significant damage to the infrastructure upon which our business operations rely, and the timing, nature or severity of which we may be unable to prepare for;
global political changes and uncertainty, including in the United States with the changes arising from a new presidential administration and resulting changes and uncertainty in administrative agencies with authority over our business;
variations in our quarterly operating results;
changes in our financial guidance or securities analysts’ estimates of our financial performance;
changes in accounting principles;
our ability to raise additional capital and the terms on which we can raise it;
sales of large blocks of our common stock, including sales by our executive officers, directors and significant stockholders;
additions or departures of key personnel;
discussion of us or our stock price by the press and by online investor communities; and
other risks and uncertainties described in these risk factors.
Our quarterly operating results may fluctuate significantly.
100

We expect our operating results to be subject to quarterly fluctuations, which may be significant and difficult to anticipate over time. Our net loss and other operating results will be affected by numerous factors, including:
variations in the level of expenses related to our development programs;
addition or termination of clinical trials;
any lawsuit, including any intellectual property infringement lawsuit in which we may become involved;
regulatory developments affecting setmelanotide and our other product candidates;
our execution of any collaborative, licensing or similar arrangements, and the timing of payments we may make or receive under these arrangements;
the achievement and timing of milestone payments under our existing collaboration and license agreements; and
the level of underlying demand for setmelanotide and our customers’ buying patterns.
If our quarterly operating results fall below the expectations of investors or securities analysts for any given quarter, the price of our common stock could decline substantially. Furthermore, any quarterly fluctuations in our operating results may, in turn, cause the price of our stock to fluctuate substantially.
Our ability to use certain net operating loss carryovers and other tax attributes may be limited.
Under the Code, a corporation is generally allowed a deduction for net operating losses, or NOLs, carried over from a prior taxable year, and can use such NOLs to offset future taxable income, if any, until such losses are used or, for NOLs arising in taxable years ending on or before December 31, 2017, until such NOLs expire. Other unused tax attributes, such as research tax credits may also be carried forward to offset future taxable income, if any, until such attributes are used or expire. As of December 31, 2025, we had approximately $917.3 million and $807.9 million of unused federal and state NOL carryforwards, respectively, and approximately $15.3 million and $4.6 million of unused federal and state carryforwards of research tax credits, respectively. Of the federal NOL carryforwards at December 31, 2025, $844.1 million can be carried forward indefinitely. Additionally, as of December 31, 2025, we had federal orphan drug credits related to qualifying research of $46.2 million.
If a corporation undergoes an “ownership change,” very generally defined as a greater than 50% change by value in its equity ownership by certain shareholders or groups of shareholders over a rolling three-year period, Sections 382 and 383 of the Code limit the corporation’s ability to use carryovers of its pre-change NOLs, credits and certain other tax attributes to reduce its tax liability for periods after the ownership change. Our issuance of common stock pursuant to prior public offerings may have resulted in a limitation under Code Sections 382 and 383, either separately or in combination with certain prior or subsequent shifts in the ownership of our common stock. Future changes in our stock ownership, some of which are outside of our control, could also result in an ownership change under Sections 382 and 383 of the Code. In addition, for taxable years beginning after December 31, 2020, utilization of federal NOLs generated in tax years beginning after December 31, 2017 are limited to a maximum of 80% of the taxable income for such year, after taking into account utilization of NOLs generated in years beginning before January 1, 2018 and determined without regard to such NOL deduction. Further regulatory changes could also limit our ability to utilize our NOLs. As a result, our ability to use carryovers of NOLs and credits to reduce our future U.S. federal income tax liability may be subject to limitations. This could result in increased U.S. federal income tax liability for us if we generate taxable income in a future period. Limitations on the use of NOLs and other tax attributes could also increase our state tax liability. Any such limitation could have a material adverse effect on our results of operations in future years. We have not completed a study to assess whether an ownership change for purposes of Section 382 or 383 has occurred, or whether there have been multiple ownership changes since our inception, due to the significant costs and complexities associated with such study.
The use of our tax attributes will also be limited to the extent that we do not generate positive taxable income in future tax periods. We do not expect to generate positive taxable income in the near future and we may never achieve tax profitability.
101

Substantial future sales or perceived potential sales of our common stock in the public market could cause the price of our common stock to decline significantly.
Sales of our common stock in the public market, or the perception that these sales could occur, could cause the market price of our common stock to decline significantly. As of December 31, 2025, we had 67,205,321 shares of common stock outstanding. In addition, on July 10, 2024, we filed with the SEC a prospectus supplement to the prospectus included in the Company’s registration statement on Form S-3ASR filed with the SEC on March 2, 2023, covering the resale from time to time by the holders of the Convertible Preferred Stock of up to an aggregate of 3,124,995 shares of common stock, to satisfy registration rights that the Company granted to such holders in connection with the issuance of the Convertible Preferred Stock. Holders of the Convertible Preferred Stock have converted Convertible Preferred Stock to common stock, and to the extent they continue to convert their shares to common stock and sell such shares, the price of our common stock could be significantly impacted.
We may be at an increased risk of securities litigation, including class action litigation.
Historically, securities class action litigation has often been brought against a company following a decline in the market price of its securities. This risk is especially relevant for us because biotechnology and pharmaceutical companies have experienced significant stock price volatility in recent years and have an increased risk of securities litigation, including class action litigation. If we were to be sued, it could result in substantial costs and a diversion of management’s attention and resources, which could harm our business.
We do not intend to pay dividends on our common stock and, consequently, your ability to achieve a return on your investment will depend on appreciation in the price of our common stock.
We have never declared or paid any cash dividends on our common stock and do not currently intend to do so in the foreseeable future. We currently anticipate that we will retain future earnings for the development, operation and expansion of our business and do not anticipate declaring or paying any cash dividends in the foreseeable future. Additionally, our Convertible Preferred Stock ranks senior to the shares of the Company’s common stock, with respect to the payment of dividends and the distribution of assets upon a liquidation, dissolution or winding up of the Company. Holders of the Convertible Preferred Stock will be entitled to a regular dividend at a rate as specified in the Amended and Restated Certificate of Designations filed by the Company with the Secretary of State of the State of Delaware.
Therefore, the success of an investment in shares of our common stock will depend upon any future appreciation in their value. There is no guarantee that shares of our common stock will appreciate in value or even maintain the price at which you purchased them.
Our common stock is subordinated to our Convertible Preferred Stock.
In connection with the closing of our Investment Agreement, the Company issued 150,000 shares of a new series of the Company’s Convertible Preferred Stock for an aggregate purchase price of $150.0 million, or $1,000 per share. The Convertible Preferred Stock ranks senior to the shares of the Company’s common stock, with respect to the payment of dividends and the distribution of assets upon a liquidation, dissolution or winding up of the Company. The Convertible Preferred Stock has an initial liquidation preference of $1,000 per share; provided that the liquidation preference in dissolution or upon a change of control shall be increased to be 175% of the then applicable liquidation preference, as described in the Amended and Restated Certificate of Designations. The Convertible Preferred Stock is convertible into shares of our common stock at the option of the holders thereof subject to the terms of the Amended and Restated Certificate of Designations.
Additionally, holders of the Convertible Preferred Stock generally will be entitled to vote with the holders of the shares of our common stock, subject to certain restrictions pursuant to the terms of the Amended and Restated Certificate of Designations, on all matters submitted for a vote of holders of shares of our common stock (voting together with the holders of shares of our common stock as one class) on an as-converted basis, subject to certain ownership limitations. On May 7, 2024, the Company filed an Amended and Restated Certificate of Designations in respect of the Convertible Preferred Stock containing certain technical amendments to the terms of the Convertible Preferred Stock. The amendments contained in the Amended and Restated Certificate of Designations (x) limited the voting rights of the Convertible Preferred Stock to 24.9438 shares of the Company’s common stock per $1,000 liquidation preference of Convertible Preferred Stock and (y) eliminated a 1% step up in the interest rate that otherwise would have applied in the unlikely event that the Company was required to obtain and failed to obtain stockholder approval for certain conversion shares underlying
102

the Convertible Preferred Stock. Additionally, certain matters will require the approval of the holders of two-thirds of the outstanding Convertible Preferred Stock, voting as a separate class, including (1) the authorization, creation, increase in the authorized amount of, or issuance of any class or series of senior or pari passu equity securities or any security convertible into, or exchangeable or exercisable for, shares of senior or pari passu equity securities, (2) amendments, modifications or repeal of any provision of the Company’s charter or of the Amended and Restated Certificate of Designations that would adversely affect the rights, preferences or voting powers of the Convertible Preferred Stock, and (3) certain business combinations and binding or statutory share exchanges or involving the Convertible Preferred Stock unless such events do not adversely affect the rights, preferences or voting powers of the Convertible Preferred Stock.
In the future, we may make additional offerings of debt or preferred equity securities, including convertible or non-convertible senior or subordinated notes, convertible or non-convertible preferred stock, medium-term notes and trust preferred securities, to raise cash or bolster our liquidity, to refinance indebtedness, for working capital, to finance strategic initiatives and future acquisitions or for other purposes. Upon liquidation, holders of our debt securities and shares of preferred stock and lenders with respect to other borrowings may receive distributions of our available assets prior to the holders of our common stock. In addition, any preferred stock we may issue could have a preference on liquidating distributions or a preference on distribution payments that could limit our ability to make a distribution to the holders of our common stock. Since our decision to issue securities in any future offering will depend on market conditions and other factors beyond our control, we cannot predict or estimate the amount, timing or nature of our future offerings. Thus, our stockholders bear the risk of our future offerings reducing the market price of our common stock.
Provisions in our certificate of incorporation and bylaws and Delaware law might discourage, delay or prevent a change in control of our Company or changes in our management and, therefore, depress the market price of our common stock.
Our certificate of incorporation and bylaws contain provisions that could depress the market price of our common stock by acting to discourage, delay or prevent a change in control of our Company or changes in our management that the stockholders of our Company may deem advantageous. These provisions, among other things:
establish a classified board of directors so that not all members of our board are elected at one time;
permit only the board of directors to establish the number of directors and fill vacancies on the board;
provide that directors may only be removed “for cause” and only with the approval of two-thirds of our stockholders;
authorize the issuance of “blank check” preferred stock that our board could use to implement a stockholder rights plan (also known as a “poison pill”);
eliminate the ability of our stockholders to call special meetings of stockholders;
prohibit stockholder action by written consent, which requires all stockholder actions to be taken at a meeting of our stockholders;
prohibit cumulative voting;
authorize our board of directors to amend the bylaws;
establish advance notice requirements for nominations for election to our board or for proposing matters that can be acted upon by stockholders at annual stockholder meetings; and
require a super-majority vote of stockholders to amend some provisions described above.
In addition, Section 203 of the General Corporation Law of the State of Delaware, or the DGCL, prohibits a publicly-held Delaware corporation from engaging in a business combination with an interested stockholder, generally a person which together with its affiliates owns, or within the last three years has owned, 15% of our voting stock, for a period of three years after the date of the transaction in which the person became an interested stockholder, unless the business combination is approved in a prescribed manner.
103

Any provision of our certificate of incorporation, bylaws or Delaware law that has the effect of delaying or preventing a change in control could limit the opportunity for our stockholders to receive a premium for their shares of our capital stock and could also affect the price that some investors are willing to pay for our common stock.
Our certificate of incorporation provides that the Court of Chancery of the State of Delaware is the exclusive forum for substantially all disputes between us and our stockholders and our bylaws designate the federal district courts of the United States as the exclusive forum for actions arising under the Securities Act, which could limit our stockholders’ ability to obtain an alternate preferred judicial forum for disputes with us or our directors, officers or employees.
Our certificate of incorporation provides that the Court of Chancery of the State of Delaware is the exclusive forum for: (i) any derivative action or proceeding brought on our behalf; (ii) any action asserting a claim of breach of fiduciary duty; (iii) any action asserting a claim against us arising under the DGCL, our certificate of incorporation or our bylaws; and (iv) any action asserting a claim against us that is governed by the internal affairs doctrine. In addition, our bylaws provide that the federal district courts of the United States are the exclusive forum for any complaint raising a cause of action arising under the Securities Act. Any person or entity purchasing or otherwise acquiring any interest in any of our securities shall be deemed to have notice of and consented to the provisions of our certificate of incorporation and bylaws described above. These exclusive-forum provisions may limit a stockholder’s ability to bring a claim in a judicial forum that it finds favorable for disputes with us or our directors, officers or other employees, which may discourage lawsuits against us and our directors, officers and other employees. If a court were to find these provisions of our certificate of incorporation or bylaws to be inapplicable or unenforceable in an action, we may incur additional costs associated with resolving the dispute in other jurisdictions, which could seriously harm our business.
General Risk Factors
We have in the past and may in the future acquire businesses or products, form strategic alliances or create joint ventures in the future, and we may not realize their benefits.
We may acquire additional businesses or products, form strategic alliances or create joint ventures with third parties that we believe will complement or augment our existing business. For example, in February 2023, in order to expand our pipeline and build on our focus on rare endocrinology diseases, we acquired Xinvento B.V., a Netherlands-based biotech company focused on developing therapies for CHI. As we acquire businesses with promising markets or technologies, we may not be able to realize the benefit of acquiring such businesses if we are unable to successfully integrate them with our existing operations and company culture. We may encounter numerous difficulties in developing, manufacturing and marketing any new products resulting from a strategic alliance, joint venture or acquisition that delay or prevent us from realizing their expected benefits or enhancing our business. We cannot assure you that, following any such acquisition, we will achieve the expected synergies to justify the transaction.
An active market for our common stock may not be maintained.
Our stock began trading on the Nasdaq Global Market in October 2017 . We may not able to continue to maintain an active trading market on the Nasdaq Global Market or any other exchange in the future. If an active market for our common stock is not maintained, it may be difficult for our stockholders to sell shares without depressing the market price for the shares or at all. An inactive market may also impair our ability to raise capital by selling shares and may impair our ability to acquire other businesses, applications or technologies using our shares as consideration.
If securities or industry analysts do not continue to publish research or reports or publish unfavorable research or reports about our business, our stock price and trading volume could decline.
The trading market for our common stock depends in part on the research and reports that securities or industry analysts publish about us, our business, our market or our competitors. We do not control these analysts. If we lose securities or industry analysts coverage of our Company, the trading price for our stock would be negatively impacted. If one or more of the analysts who covers us downgrades our stock, our stock price would likely decline. If one or more of these analysts issues unfavorable commentary or ceases to cover us or fails to regularly publish reports on us, interest in our stock could decrease, which could cause our stock price or trading volume to decline.
Raising additional capital may cause dilution to our existing stockholders, restrict our operations or require us to relinquish rights.
104

We may seek additional capital through a combination of private and public equity offerings, debt financings, collaborations and strategic and licensing arrangements. From time to time, we may raise additional capital through the sale of common stock or securities convertible or exchangeable into common stock, such as our sale of Convertible Preferred Stock under the Investment Agreement, which did cause in the case of the Investment Agreement and may cause in the future a stockholder’s ownership interest in our Company to be diluted. In addition, the terms of any such securities may include liquidation or other preferences that materially adversely affect the rights of our stockholders. Debt financing, if available, would increase our fixed payment obligations and may involve agreements that include covenants limiting or restricting our ability to take specific actions, such as incurring additional debt, making capital expenditures or declaring dividends. If we raise additional funds through collaboration, strategic partnerships and licensing arrangements with third parties, we may have to relinquish valuable rights to setmelanotide, our intellectual property or future revenue streams, or grant licenses on terms that are not favorable to us. See above, under the heading “Our common stock is subordinated to our Convertible Preferred Stock.”
Unfavorable global political or economic conditions could adversely affect our business, financial condition or results of operations.
Our results of operations could be adversely affected by general conditions in the global political system, economy and in the global financial markets. The global economy, including credit and financial markets, has recently experienced extreme volatility and disruptions, including severely diminished liquidity and credit availability, rising interest and inflation rates, declines in consumer confidence, declines in economic growth, increases in unemployment rates, the imposition of tariffs and other trade barriers, uncertainty about economic stability, and rising political uncertainty. A severe or prolonged economic downturn or recession and a continued increase in inflation rates or interest rates could result in a variety of risks to our business, including weakened demand for setmelanotide and our ability to raise additional capital when needed on acceptable terms, if at all. Further deterioration in credit and financial markets and confidence in economic conditions may occur. A weak or declining economy could also strain our suppliers, possibly resulting in supply disruption, or cause our customers to delay making payments for our services. Increased inflation rates and related increases in interest rates can adversely affect us by increasing our costs, including labor and employee benefit costs. In addition, geopolitical conflicts and war could disrupt or otherwise adversely impact our operations and those of third parties upon which we rely. Related sanctions, export controls or other actions have and may in the future be initiated by nations including the United States, the EU or Russia (e.g., potential cyberattacks, disruption of energy flows, etc.), which could adversely affect our business and/or our supply chain, our CROs, CMOs and other third parties with which we conduct business. The changes arising from a new presidential administration in the United States and the prospect of new leadership and reductions in the workforce or other resources in key administrative agencies (such as the FDA and SEC) as well as volatile political conditions in other countries in which we do business could also create additional uncertainty for our industry and our business, including in ways that we cannot foresee. Any of the foregoing could harm our business and we cannot anticipate all of the ways in which the current economic climate and financial market conditions could adversely impact our business.
Business interruptions could adversely affect our operations.
Our operations are vulnerable to interruption by fire, severe weather conditions, power loss, telecommunications failure, terrorist activity, public health crises and pandemic diseases, and other natural and man-made disasters or events beyond our control. Our facilities and employees are located in regions that experience severe weather from time to time. We have not undertaken a systematic analysis of the potential consequences to our business and financial results from a major tornado, flood, fire, earthquake, power loss, terrorist activity, public health crisis, pandemic diseases or other disasters and do not have a recovery plan for such disasters. In addition, we do not carry sufficient insurance to compensate us for actual losses from interruption of our business that may occur, and any losses or damages incurred by us could harm our business. The occurrence of any of these business disruptions could seriously harm our operations and financial condition and increase our costs and expenses.
We have incurred and will continue to incur substantial costs as a result of operating as a public company, our management will continue to devote substantial time to existing and new compliance initiatives and corporate governance policies, and we will need to hire additional qualified accounting, financial, legal and compliance personnel with appropriate public company experience.
As a public company, we have incurred and will continue to incur significant legal, accounting and other expenses. The Sarbanes Oxley Act of 2002, the Dodd-Frank Wall Street Reform and Consumer Protection Act, the listing requirements of the Nasdaq Global Market and other applicable securities rules and regulations impose various
105

requirements on public companies, including establishment and maintenance of effective disclosure and financial controls and corporate governance practices. Our management and other personnel will continue to devote a substantial amount of time to these compliance initiatives and we will need to continue to hire and retain additional accounting, financial, legal and compliance personnel with appropriate public company experience and technical accounting and securities laws knowledge. Even if we are able to hire appropriate personnel, our existing operating expenses and operations will be impacted by the direct costs of their employment and the indirect consequences related to the diversion of management resources from product development and commercialization efforts. Moreover, these rules and regulations will continue to increase our legal and financial compliance costs and make some activities more time consuming and costly.
These rules and regulations are often subject to varying interpretations, in many cases due to their lack of specificity, and, as a result, their application in practice may evolve over time as new guidance is provided by regulatory and governing bodies. This could result in future uncertainty regarding compliance matters and higher costs necessitated by ongoing revisions to disclosure and governance practices.
We may in the future fail to maintain an effective system of internal control over financial reporting. This may prevent us from accurately reporting our financial results or preventing fraud. As a result, stockholders could lose confidence in our financial and other public reporting, which would harm our business and the trading price of our common stock.
Effective internal control over financial reporting is necessary for us to provide reliable financial reports and, together with adequate disclosure controls and procedures, is designed to prevent fraud. Any failure to implement required new or improved controls, or difficulties encountered in their implementation could cause us to fail to meet our reporting obligations.
Pursuant to Section 404, we are required to furnish a report by our management on our internal control over financial reporting. To continue to achieve and maintain compliance with Section 404, we engage in a process to document and evaluate our internal control over financial reporting, which is both costly and challenging. In this regard, we need to continue to dedicate internal resources, potentially engage outside consultants and adopt a detailed work plan to assess and document the adequacy of internal control over financial reporting, continue steps to improve control processes as appropriate, validate through testing that controls are functioning as documented and implement a continuous reporting and improvement process for internal control over financial reporting. Despite our efforts, from time to time we may not be able to conclude that our internal control over financial reporting is effective as required by Section 404.
In addition, we are required to include an attestation report on internal control over financial reporting issued by our independent registered public accounting firm. If we are unable to maintain effective internal control over financial reporting, we may not have adequate, accurate or timely financial information, our independent registered public accounting firm may issue a report that is adverse. A material weakness could result in a restatement of our financial statements, failure to meet our reporting obligations in a timely manner, the imposition of sanctions, including the inability of registered broker dealers to make a market in our common stock, or investigation by regulatory authorities. Any such action or other negative results caused by our inability to meet our reporting requirements or comply with legal and regulatory requirements or by disclosure of an accounting, reporting or control issue could adversely affect the trading price of our securities and our business. Ineffective internal control over financial reporting could also reduce our ability to obtain financing or could increase the cost of any financing we obtain. Any of these could, in turn, result in an adverse reaction in the financial markets due to a loss of confidence in the reliability of our financial statements.
We have previously identified a material weakness in our internal controls over financial reporting and may identify additional material weaknesses in the future or otherwise fail to maintain an effective system of internal controls, which may result in material misstatements of our consolidated financial statements or cause us to fail to meet our periodic reporting obligations.
A material weakness is a deficiency, or a combination of deficiencies, in internal control over financial reporting, such that there is a reasonable possibility that a material misstatement of a company’s annual or interim financial statements will not be prevented or detected on a timely basis. We previously identified a material weakness in internal control related to ineffective information technology general controls, or ITGCs, in the areas of user access and program change management over our key accounting and reporting information technology, or IT, system. As a result, the related business process controls (specifically, the IT application controls and IT-dependent manual controls) that are dependent on the ineffective ITGCs, or that use data produced from the system impacted by the ineffective ITGCs, were also ineffective. Although the material weakness identified above did not result in any material misstatements in our consolidated financial statements for the periods presented and there were no changes to previously released financial results, our management
106

concluded that these control deficiencies constitute a material weakness and that our internal control over financial reporting was not effective as of December 31, 2023.
Our management designed and implemented new controls and measures to remediate this material weakness, and management has concluded that the material weaknesses described above have been remediated. However, we cannot assure you that the measures we are taking will be sufficient to avoid the identification of additional material weaknesses in the future. Our failure to implement and maintain effective internal control over financial reporting could result in errors in our consolidated financial statements that could result in a restatement of our financial statements and could cause us to fail to meet our periodic reporting obligations, any of which could diminish investor confidence in us, which could diminish investor confidence and cause a decline in the price of our common stock.
The increasing focus on environmental sustainability and social initiatives could increase our costs, harm our reputation and adversely impact our financial results.
There has been increasing public focus by investors, customers, environmental activists, the media and governmental and nongovernmental organizations on a variety of environmental, social and other sustainability matters. If we are not effective in addressing environmental, social and other sustainability matters affecting our business, or setting and meeting relevant sustainability goals, our reputation and financial results may suffer. We have undertaken certain initiatives, including disclosures, to improve the sustainability profile of our products and/or operations and respond to stakeholder expectations; however, such initiatives may be costly and may not have the desired effect. For example, sustainability-related initiatives are often based on methodologies, standards, or data that are still evolving and subject to varying interpretations. Our approach is also expected to evolve with time and may not align with the expectations or interpretations of any particular stakeholder. In addition, this emphasis on environmental, social and other sustainability matters has resulted and may result in the adoption of new laws and regulations, including new reporting requirements. Such requirements and other expectations are not uniform, and may be inconsistently interpreted or applied, which can increase the complexity and cost of compliance. Simultaneously, there are efforts by some stakeholders to reduce companies’ efforts on certain environmental, social and sustainability-related initiatives. Both advocates and opponents of these matters are increasingly resorting to a range of activism forms, including media campaigns and litigation, to advance their perspectives. Any failure to successfully navigate stakeholder expectations may result in additional costs, reputational harm, or other adverse impacts to our business. Additionally, many of our business partners and suppliers may be subject to similar reporting and stakeholder expectations, which may augment or create additional risks, including risks that may not be known to us.
Short sellers of our stock may be manipulative and may drive down the market price of our common stock.
Short selling is the practice of selling securities that the seller does not own, but rather has borrowed or intends to borrow from a third party, with the intention of buying identical securities at a later date to return to the lender. A short seller hopes to profit from a decline in the value of the securities between the sale of the borrowed securities and the purchase of the replacement shares, as the short seller expects to pay less in that purchase than it received in the sale. It is therefore in the short seller’s interest for the price of the stock to decline, and some short sellers publish, or arrange for the publication of, opinions or characterizations regarding the relevant issuer, often involving misrepresentations of the issuer’s business prospects and similar matters calculated to create negative market momentum, which may permit them to obtain profits for themselves as a result of selling the stock short.
As a public entity, we may be the subject of concerted efforts by short sellers to spread negative information in order to gain a market advantage. In addition, the publication of misinformation may also result in further lawsuits, the uncertainty and expense of which could adversely impact our business, financial condition, and reputation. We may face further short sellers’ efforts or similar tactics in the future, and the market price of our common stock may decline as a result of their actions.
Item 1B. Unresolved Staff Comments
None.
Item 1C. Cybersecurity
Cybersecurity Risk Management and Strategy
We have developed and implemented a cybersecurity risk management program intended to protect the confidentiality, integrity, and availability of our critical systems and information.
107

We design and assess our cybersecurity program based on the NIST Cybersecurity Framework (CSF). This framework provides us with a common language and structure for identifying, assessing, and managing cybersecurity risks across our organization. We do not claim to comply with the standards or specifications by using this framework. It is a guide to help us manage the cybersecurity risks that are relevant to our business.
Our cybersecurity program is integrated into our overall enterprise risk management program, and shares common methodologies, reporting channels and governance processes that apply across the enterprise risk management program to other legal, compliance, strategic, operational, and financial risk areas. To this end, we have implemented a cybersecurity program that includes, but is not limited to, the following key elements:
Governance: The Board of Directors oversees our cybersecurity risk management strategy, regularly reviewing threats, risks, and mitigation measures. These reviews include both internal and independent evaluations of risks, controls, and effectiveness.
Vigilance: Our global cybersecurity operations are designed to detect, prevent, contain, and respond to cyber threats and incidents, aiming to minimize business disruptions.
Safeguards: We use administrative, technical, and physical controls designed to secure our personnel, information systems, operations, and sensitive data from cyber threats, such as cybersecurity policies and procedures, risk assessments, cybersecurity training, secure facility access, surveillance systems, firewalls, intrusion detection and prevention systems, disaster recovery capabilities, malware and ransomware defenses, access controls, and data protection.
Education: Personnel receive periodic cybersecurity training. Our policies require employees to report any actual or suspected cybersecurity events.
Third Party Risk Management: We strive to apply our cybersecurity standards to our third-party ecosystem, identifying and managing risks posed by third parties.
Incident Response: We have established an incident response plan that guides how we handle cybersecurity events and incidents. This plan includes procedures to detect, analyze, contain, and eradicate threats, and communicate significant incidents to executive management, the Board of Directors, regulators, and shareholders when appropriate.
Enterprise-Wide Coordination: Relevant stakeholders across the company—such as R&D, commercial, technology, legal, compliance, and other departments—work together to identify emerging risks and respond to cybersecurity threats through a cross-functional approach.
External Service Providers: We use external service providers, where appropriate, to assess, test, or otherwise assist with aspects of our cybersecurity processes.

We have not identified any cybersecurity incidents that have materially affected our operations, business strategy, results of operations, or financial condition. We face risks from cybersecurity threats that, if realized, are reasonably likely to materially affect us, including our operations, business strategy, results of operations, or financial condition. For more information, see the section titled “Risk Factors— Our information technology systems, or those of our third-party CROs, CMOs or other contractors or consultants, may fail or suffer security breaches, which could result in a material disruption of setmelanotide development programs, regulatory investigations, enforcement actions and lawsuits.”
Cybersecurity Governance
Our Board considers oversight of cybersecurity risk to be an essential component of its enterprise risk oversight responsibility and directly oversees management’s implementation of our cybersecurity program.
The Board receives periodic reports from management on our cybersecurity program and risks. In addition, management updates the Board, where it deems appropriate, regarding any cybersecurity incidents it considers to be significant. Board members receive presentations on cybersecurity risk and strategy from our Cybersecurity Director, as part of the Board’s continuing education on topics that impact public companies.
The Cybersecurity Director, with the help of our IT and Legal team is responsible for assessing and managing our material risks from cybersecurity threats. This position has the primary responsibility for our overall cybersecurity risk management program and supervises both our internal personnel and our retained external cybersecurity consultants. The current Cybersecurity Director has extensive information security and program management experience and has held past positions as the head of cybersecurity for a wide range of organizations.
108

Our management team supervises efforts to prevent, detect, mitigate, and remediate cybersecurity risks and incidents through various means, which may include briefings from internal security personnel and other information obtained from governmental, public, or private sources, including external consultants engaged by us, and alerts and reports produced by security tools deployed in the IT environment.
Item 2. Properties
Our corporate headquarters are located in Boston, Massachusetts, where we lease approximately 13,600 square feet of office space pursuant to lease agreements expiring in July 2030. This facility houses our research, clinical, regulatory, commercial and administrative personnel.
We believe that our existing facilities are adequate for our near-term needs, but we may need additional space as we grow and expand our operations. We believe that suitable additional or alternative office space would be available as required in the future on commercially reasonable terms.
Item 3. Legal Proceedings
We are not currently a party to any material legal proceedings.
Item 4. Mine Safety Disclosures
Not applicable.
109

PART II
Item 5. Market for Registrant’s Common Equity, Related Stockholder Matters and Issuer Purchases of Equity Securities
Our common stock has been listed on The Nasdaq Global Market under the symbol “RYTM” since October 5, 2017. Prior to that date, there was no public trading market for our common stock.
Holders of Common Stock
As of February 24, 2026, there were 13 holders of record of our common stock. This number does not reflect beneficial owners whose shares are held in street name.
Securities Authorized for Issuance Under Equity Compensation Plans
Information regarding our equity compensation plans and the securities authorized for issuance thereunder is set forth herein under Part III, Item 12 below.
Dividend Policy
We have never declared or paid any cash dividends on our common stock or any other securities. We anticipate that we will retain all available funds and any future earnings, if any, for use in the operation of our business and do not anticipate paying cash dividends in the foreseeable future. In addition, future debt instruments may materially restrict our ability to pay dividends on our common stock. Payment of future cash dividends, if any, will be at the discretion of the board of directors after taking into account various factors, including our financial condition, operating results, current and anticipated cash needs, the requirements of current or then-existing debt instruments and other factors the board of directors deems relevant.
Performance Graph
This graph is not “soliciting material,” is not deemed “filed” with the SEC and is not to be incorporated by reference into any filing of Rhythm Pharmaceuticals, Inc. under the Securities Act or the Exchange Act, whether made before or after the date hereof and irrespective of any general incorporation language in any such filing.
The following graph shows the total stockholder return of an investment of $100 in cash at market close on December 31, 2017 through December 31, 2025 for (1) our common stock, (2) the Nasdaq Composite Index (U.S.) and (3) the Nasdaq Biotechnology Index. Pursuant to applicable SEC rules, all values assume reinvestment of the full amount of all dividends, however no dividends have been declared on our common stock to date. The stockholder return shown on the
110

graph below is not necessarily indicative of future performance, and we do not make or endorse any predictions as to future stockholder returns.
2442
Recent Sales of Unregistered Securities
Except as previously disclosed in Current Reports on Form 8-K filed on January 4, 2024 and April 1, 2024, we did not make any unregistered sales of equity securities during the period covered by the report.
Purchases of Equity Securities by the Issuer and Affiliated Purchasers
None.
Item 6. Reserved
Item 7. Management's Discussion and Analysis of Financial Condition and Results of Operations
You should read the following discussion and analysis of our financial condition and results of operations together with our consolidated financial statements and related notes appearing elsewhere in this Annual Report. In addition to historical information, this discussion and analysis contains forward-looking statements that involve risks, uncertainties and assumptions. Our actual results may differ materially from those anticipated in these forward-looking statements as a result of certain factors. We discuss factors that we believe could cause or contribute to these differences below and elsewhere in this report, including those set forth under Item 1A. “Risk Factors” and under “Cautionary Note Regarding Forward-Looking Statements” in this Annual Report.
In this Item 7, we discuss the results of operations for the years ended December 31, 2025 and 2024 and comparisons of our cash flows for the year ended December 31, 2025 to the year ended December 31, 2024. Discussion and analysis of our 2024 fiscal year, as well as the year-over-year comparison of our 2024 financial performance to 2023, are located in Part II, Item 7 - Management’s Discussion and Analysis of Financial Condition and Results of Operations in our Annual Report on Form 10-K for the fiscal year ended December 31, 2024, filed with the SEC on February 28, 2025.
111

Overview
We are a global, commercial-stage biopharmaceutical company dedicated to transforming the lives of patients living with rare neuroendocrine diseases. We are focused on advancing our melanocortin-4 receptor (MC4R) agonists, including our lead asset, IMCIVREE (setmelanotide), as precision medicines designed to treat hyperphagia and severe obesity caused by MC4R pathway diseases. While obesity affects hundreds of millions of people worldwide, we are advancing therapies for a subset of individuals who have hyperphagia, a pathological, insatiable hunger and impaired satiety accompanied by persistent and abnormal food-seeking behaviors, decreased energy expenditure and severe obesity due to diseases such as acquired or congenital hypothalamic obesity, Bardet-Biedl syndrome (BBS) or other diseases caused by impaired MC4R pathway signaling. The MC4R pathway is a neuro-endocrine pathway in the brain that is responsible for regulating hunger, caloric intake and energy expenditure, which consequently affect body weight. IMCIVREE, our most advanced MC4R agonist for which we hold worldwide rights, is the first-ever therapy that is marketed in the United States, European Union (EU), United Kingdom, Canada and several other countries and regions for certain rare MC4R pathway diseases, including BBS. We also are developing two earlier-stage investigational MC4R agonists, bivamelagon (formerly LB54640), an oral small molecule, and RM-718, designed for weekly subcutaneous administration. On February 26, 2026 we announced we completed a positive end-of-Phase-2 meeting with FDA regarding bivamelagon in acquired HO and disclosed open-label extension data from our Phase 2 trial that showed bivamelagon achieved persistent BMI reductions at six and nine months of therapy.
IMCIVREE is approved by the U.S. Food and Drug Administration (FDA) to reduce excess body weight and maintain weight reduction long term in adult and pediatric patients aged 2 years and older with syndromic or monogenic obesity due to BBS or proopiomelanocortin (POMC), proprotein convertase subtilisin/kexin type 1 (PCSK1), or leptin receptor (LEPR) deficiency as determined by an FDA-approved test demonstrating variants in POMC, PCSK1, or LEPR genes that are interpreted as pathogenic, likely pathogenic, or of uncertain significance (VUS). The European Commission (EC) and the United Kingdom’s Medicines & Healthcare Products Regulatory Agency (MHRA) have authorized IMCIVREE for the treatment of obesity and the control of hunger associated with genetically confirmed BBS or loss-of-function biallelic POMC, including PCSK1, deficiency or biallelic LEPR deficiency in adults and children 2 years of age and above. Reviews of our regulatory submissions seeking approval and marketing authorization for setmelanotide as a treatment for acquired hypothalamic obesity are ongoing in the United States and Europe with an FDA-assigned Prescription Drug User Fee Act (PDUFA) goal date of March 20, 2026. We anticipate disclosing topline data from a 12-patient Japanese cohort of our Phase 3 trial evaluating setmelanotide for acquired hypothalamic obesity in March 2026, and pending positive data, completing a new drug application submission in Japan. Regulatory decisions in Europe and Japan are anticipated later in 2026 or 2027.
Following our disclosure in December 2025 of positive preliminary data from our ongoing, exploratory, open-label Phase 2 trial with setmelanotide in patients with PWS, we believe there is potential for an MC4R agonist to be a future treatment option for patients with PWS, a rare genetic disorder that results in a number of physical, mental and behavioral problems. A key feature of PWS is a constant sense of hunger that usually begins in early childhood. PWS is estimated to affect approximately 400,000 people worldwide and approximately 20,000 people in the United States. There are currently limited therapeutic options that effectively reduce the extreme hyperphagia and address low resting energy expenditure associated with PWS. Following the disclosure of these positive preliminary results in December 2025, we announced plans to further develop setmelanotide and RM-718 for PWS.
We are advancing what we believe is the most comprehensive clinical research and development program ever initiated in MC4R pathway diseases, with setmelanotide, bivamelagon and RM-718 in multiple ongoing and planned clinical trials. Our MC4R pathway program is designed to expand the total number of patients who we believe could benefit from setmelanotide therapy or from one of our new drug candidates. Our Phase 3 EMANATE trial, comprised of four independent substudies evaluating setmelanotide in genetically caused MC4R pathway diseases, is ongoing with topline data expected in March 2026. Following the completion of our Phase 2 DAYBREAK trial, we identified six genetically-defined cohorts that we believe merit further investigation for potential setmelanotide efficacy.
We are leveraging what we believe is the largest known DNA database focused on obesity - with approximately 120,000 sequencing samples as of December 31, 2025 - to improve the understanding, diagnosis and care of people living with severe obesity due to certain variants in genes associated with the MC4R pathway. Our sequencing-based epidemiology estimates show that each of these genetically-defined MC4R pathway deficiencies we are focused on are considered rare diseases, according to established definitions based on patient populations. Our epidemiology estimates are approximately 4,600 to 7,500 for U.S. patients in initial FDA-approved indications, including obesity due to BBS and biallelic POMC, PCSK1 or LEPR deficiencies. Our epidemiology estimates for the two more prevalent indications being studied in our Phase 3 EMANATE trial (SH2B1 and POMC/PCSK1) suggest that approximately 29,000 U.S. patients with one of these genetically driven obesities have the potential to respond well to setmelanotide. Similarly, our epidemiology
112

estimates for patients with genetic indications who demonstrated an initial response in our Phase 2 DAYBREAK trial is approximately 65,300. All these patients face similar challenges to other patients with rare diseases, namely lack of awareness, resources, tests, tools and especially therapeutic options.
Since our inception, we have raised funds through the issuance of common and preferred equity, the sale of assets and a Revenue Interest Financing Agreement, or RIFA. We expect to continue to fund our operations through the sale of equity, debt financings or other sources. We have built our own marketing and commercial sales infrastructure in the United States and are in the process of building a similar infrastructure in several European markets and the United Kingdom. We may enter into collaborations with other parties for certain markets outside the United States. However, we may be unable to raise additional funds or enter into such other arrangements when needed on favorable terms, or at all. If we fail to raise capital or enter into such other arrangements as, and when, needed, we may have to significantly delay, scale back or discontinue the development or commercialization of setmelanotide.
As of December 31, 2025, we had an accumulated deficit of $1.4 billion. Our net losses were $196.5 million and $260.6 million for the years ended December 31, 2025 and 2024, respectively. We expect to continue to incur significant expenses and increasing operating losses over the foreseeable future. We expect our expenses will increase substantially in connection with our ongoing activities, as we:
continue to conduct clinical trials for setmelanotide and our other product candidates;
engage contract manufacturing organizations, or CMOs, for the manufacture of clinical and commercial-grade setmelanotide;
seek regulatory approval for setmelanotide for future indications, and for our other product candidates;
expand our clinical and financial operations and build a marketing and commercialization infrastructure;
engage in the sales and marketing efforts necessary to support the continued commercial efforts of IMCIVREE globally;
take into account the levels, timing and collection of revenue earned from sales of IMCIVREE and other products approved in the future, if any; and
continue to operate as a public company.
As of December 31, 2025, our cash and cash equivalents and short-term investments were approximately $388.9 million. We expect that our cash and cash equivalents and short-term investments as of December 31, 2025, will enable us to fund our operations for at least 24 months.
Corporate Background
We are a Delaware corporation organized in February 2013 under the name Rhythm Metabolic, Inc., and as of October 2015, under the name Rhythm Pharmaceuticals, Inc.
Financial Operations Overview
Revenue
To date, we have generated approximately $422.5 million of revenue from product sales. Our lead product candidate, IMCIVREE, was approved by the FDA in November 2020 for chronic weight management in adult and pediatric patients six years of age and older with obesity due to POMC, PCSK1 or LEPR deficiency confirmed by genetic testing. IMCIVREE became commercially available in the United States in the first quarter of 2021. We recorded our first sales of IMCIVREE in the United States in March 2021 and we made our first sales in France in March 2022 under the paid early access program. IMCIVREE was approved by the FDA and the EC in adult and pediatric patients six years of age and older with obesity due to BBS in June and September 2022, respectively. Following these initial approvals, sales of IMCIVREE have grown, and we expect will continue to grow.
113

Cost of sales
All of our inventory of IMCIVREE produced prior to FDA approval is available for commercial or clinical use. Most of the manufacturing costs have been recorded as research and development expenses in prior periods. We expect cost of sales to increase in 2026 as we continue to sell inventory that is produced after we began capitalizing manufacturing costs for IMCIVREE commercial inventory.
Research and development expenses
Research and development expenses consist primarily of costs incurred for our research activities, including our drug discovery and genetic sequencing efforts, and the clinical development of setmelanotide, which include:
expenses incurred under agreements with third parties, including CROs that conduct research and development and preclinical activities on our behalf, and the cost of consultants and CMOs that manufacture drug products for use in our preclinical studies and clinical trials;
employee-related expenses including salaries, benefits and stock-based compensation expense;
the cost of lab supplies and acquiring, developing and manufacturing preclinical and clinical study materials;
the cost of genetic sequencing of potential patients in clinical studies;
facilities, depreciation, and other expenses, which include rent and maintenance of facilities, insurance and other operating costs;
acquired in process research and development costs associated with the acquisition of Xinvento B.V., or Xinvento in the three months ended March 31, 2023; and
acquired in process research and development costs associated with the acquisition of LG Chem, Ltd.’s, or LGC’s, proprietary compound bivamelagon in the three months ended March 31, 2024.
We expense research and development costs to operations as incurred. Nonrefundable advance payments for goods or services to be received in the future for use in research and development activities are recorded as prepaid expenses. The capitalized amounts are expensed as the related goods are delivered or the services are performed.
The following table summarizes our current research and development expenses:
December 31,
Research and development summary20252024
Research and development expense$167,340 $237,957 
We are unable to predict the duration and costs of the current or future clinical trials of our product candidates. The duration, costs, and timing of clinical trials and development of setmelanotide, RM-718, bivamelagon, and a potential therapeutic product candidate for congenital hyperinsulinism (CHI) will depend on a variety of factors, including:
the scope, rate of progress, and expense of our ongoing, as well as any additional, clinical trials and other research and development activities;
the rate of enrollment in clinical trials;
the safety and efficacy demonstrated by setmelanotide in future clinical trials;
changes in regulatory requirements;
changes in clinical trial design; and
the timing and receipt of any regulatory approvals.
114

A change in the outcome of any of these variables with respect to the development of our product candidates would significantly change the costs and timing associated with its development and potential commercialization.
Research and development activities are central to our business model. Product candidates in later stages of clinical development generally have higher development costs than those in earlier stages of clinical development, primarily due to the increased size and duration of later-stage clinical trials. We expect research and development costs to increase significantly for the foreseeable future as our setmelanotide and other development programs progress. However, we do not believe that it is possible at this time to accurately project total program-specific expenses to commercialization and there can be no guarantee that we can meet the funding needs associated with these expenses.
Selling, general and administrative expenses
Selling expenses consist of professional fees related to preparation for the continued commercialization of setmelanotide as well as salaries and related benefits for commercial employees, including stock-based compensation. As we further implement and execute our commercialization plans to market setmelanotide in new territories and as we explore new collaborations to develop and commercialize setmelanotide, we anticipate that these expenses will materially increase.
General and administrative expenses consist primarily of salaries and other related costs, including stock-based compensation, relating to our full-time employees not involved in R&D or commercial activities. Other significant costs include rent, information technology, legal fees relating to patent and corporate matters and fees for accounting and consulting services.
The following table summarizes our current selling, general and administrative expenses.
December 31,
Selling, general and administrative summary20252024
Selling, general and administrative expense194,941 144,304 
We anticipate that our selling, general and administrative expenses will increase in the future to support continued and expanding commercialization efforts for IMCIVREE in the United States and the European Union as well as increased costs of operating as a global commercial stage biopharmaceutical public company. These increases will likely include increased costs related to the hiring of additional personnel and fees to outside consultants, lawyers and accountants, compliance with local rules and regulations in the United States and foreign jurisdictions, exchange listing and SEC expenses, insurance and investor relations costs, among other expenses.
Critical Accounting Policies and Estimates
Our management's discussion and analysis of our financial condition and results of operations are based on our financial statements, which we have prepared in accordance with accounting principles generally accepted in the United States, or GAAP. The preparation of these financial statements requires us to make estimates and assumptions that affect the reported amounts of assets and liabilities and the disclosure of contingent assets and liabilities at the date of the financial statements, as well as the reported amounts of revenues and expenses during the reporting periods. These items are monitored and analyzed by us for changes in facts and circumstances on an ongoing basis, and material changes in these estimates could occur in the future. We base our estimates on historical experience and on various other factors that we believe are reasonable under the circumstances, the results of which form the basis for making judgments about the carrying value of assets and liabilities that are not readily apparent from other sources. Actual results may differ from these estimates under different assumptions or conditions.
While our significant accounting policies are described in more detail in the notes to our consolidated financial statements included elsewhere in this Annual Report, we believe that the following accounting policies are the most critical to aid in fully understanding and evaluating our financial condition and results of operations.
Revenue Recognition
In accordance with Accounting Standards Codification (ASC) 606, Revenue from Contracts with Customers, we recognize revenue when a customer obtains control of promised goods or services, in an amount that reflects the consideration we expect to receive in exchange for the goods or services provided. To determine revenue recognition for arrangements within the scope of ASC 606, we perform the following five steps: (1) identify the contracts with a customer;
115

(2) identify the performance obligations in the contract; (3) determine the transaction price; (4) allocate the transaction price to the performance obligations in the contract; and (5) recognize revenue when or as the entity satisfies a performance obligation. At contract inception, we assess the goods or services promised within each contract and determine those that are performance obligations and assess whether each promised good or service is distinct. We then recognize as revenue the amount of the transaction price that is allocated to the respective performance obligation when or as the performance obligation is satisfied. For all contracts that fall into the scope of ASC 606, we have identified one performance obligation: the sale of IMCIVREE to our customers. We have not incurred or capitalized any incremental costs associated with obtaining contracts with customers.
In the United States, which accounts for the largest portion of our total revenues, the Company sells its product through a specialty pharmacy. The product is distributed through a third-party logistics, or 3PL, distribution agent that does not take title to the product. Once the product is delivered to the Company’s specialty pharmacy provider, our customer in the United States, the customer (or “wholesaler”) takes title to the product. The wholesaler then distributes the product to patients. In our distribution agreement with the 3PL company, the Company acts as principal because we retain control of the product. Internationally, we make sales primarily to specialty distributors and retail pharmacy chains, as well as hospitals, many of which are government-owned or supported. The Company offers returns of product sold to the customer on a limited basis, however, no material returns have been recognized to date.
Revenues from product sales are recorded at the net sales price, or the transaction price, which includes estimates of variable consideration for which reserves are established and which result from discounts, rebates, and co-pay assistance that are offered within contracts between us and our customers, health care providers and other indirect customers relating to the sale of IMCIVREE. These reserves are based on the amounts earned or to be claimed on the related sales and are classified as reductions of accounts receivable (if the amount is payable to the customer) or a current liability (if the amount is payable to a party other than a customer). Where appropriate, these estimates take into consideration a range of possible outcomes that are probability-weighted for relevant factors such as our historical experience, current contractual and statutory requirements, specific known market events and trends, industry data and forecasted customer buying and payment patterns. Overall, these reserves reflect our best estimates of the amount of consideration to which we are entitled based on the terms of the contract. The amount of variable consideration that is included in the transaction price may be constrained and is included in the net sales price only to the extent that it is considered probable that a significant reversal in the amount of the cumulative revenue recognized will not occur in a future period. Actual amounts of consideration ultimately received may differ from our estimates. If actual results in the future vary from our estimates, we will adjust these estimates, which would affect net product revenue and earnings in the period such variances become known.
Accrued research and development expenses
As part of the process of preparing our financial statements, we are required to estimate the value associated with goods and services received in the period in connection with research and development activities. This process involves reviewing quotations and contracts, identifying services that have been performed on our behalf and estimating the level of service performed and the associated cost incurred for the service when we have not yet been invoiced or otherwise notified of the actual cost, or alternatively, the deferral of amounts paid for goods or services to be incurred in the future. The majority of our service providers invoice us monthly in arrears for services performed or when contractual milestones are met. We make estimates of our accrued expenses or prepaid expenses as of each balance sheet date in our financial statements based on facts and circumstances known to us at the time those financial statements are prepared. We periodically confirm the accuracy of our estimates with the service providers and make adjustments if necessary. The significant estimates in our accrued research and development expenses include fees paid to CROs, CMOs and consultants in connection with research and development activities.
We accrue our expenses related to CROs, CMOs and consultants based on our estimates of the services received and efforts expended pursuant to quotes and contracts with CROs, CMOs and consultants that conduct research and development and manufacturing on our behalf. The financial terms of these agreements are subject to negotiation, vary from contract to contract and may result in uneven payment flows. The allocation of CRO upfront expenses for both clinical trials and preclinical studies generally tracks actual work activity. However, there may be instances in which payments made to our vendors will exceed the level of services provided and result in a prepayment of the research and development expense. In accruing service fees delivered over a period of time, we estimate the time period over which services will be performed and the level of effort to be expended in each period. If the actual timing of the performance of services or the level of effort varies from our estimate, we adjust accrued or prepaid expense accordingly. Although we do not expect our estimates to be materially different from amounts actually incurred, if our estimates of the status and timing of services performed differ from the actual status and timing of services performed, it could result in us reporting amounts that are too high or too low in any particular period. To date, there have been no material differences between our estimates of such expenses and the amounts actually incurred.
116

Stock-based compensation
We maintain the Rhythm Pharmaceuticals, Inc. 2017 Equity Incentive Plan, (the “2017 Plan”) which provides for the grant of incentive stock options, non-qualified stock options, stock appreciation rights, performance units, restricted stock awards, restricted stock units and stock grants to employees, consultants, advisors and directors, as determined by the board of directors. As of December 31, 2025, we had reserved 13,717,040 shares of common stock under the 2017 Plan. Shares of common stock issued pursuant to awards are generally issued from authorized but unissued shares. The 2017 Plan provides that the exercise price of incentive stock options cannot be less than 100% of the fair market value of the common stock on the date of the award for participants who own less than 10% of the total combined voting power of stock, and not less than 110% for participants who own more than 10% of the voting power. Awards granted under the 2017 Plan will vest over periods as determined by our Compensation Committee and approved by our board of directors.
On February 9, 2022, our board of directors adopted the Rhythm Pharmaceuticals, Inc. 2022 Employment Inducement Plan (the “2022 Inducement Plan”), which became effective on such date without stockholder approval pursuant to Rule 5635(c)(4) of the Nasdaq Stock Market LLC listing rules (“Rule 5635(c)(4)”). The 2022 Inducement Plan provides for the grant of non-qualified stock options, stock appreciation rights, performance units, restricted stock awards, restricted stock units and stock grants. In accordance with Rule 5635(c)(4), awards under the 2022 Inducement Plan may only be made to a newly hired employee who has not previously been a member of our board of directors, or an employee who is being rehired following a bona fide period of non-employment by the Company or a subsidiary, as a material inducement to the employee’s entering into employment with the Company or its subsidiary. An aggregate of 1,000,000 shares of our common stock have been reserved for issuance under the 2022 Inducement Plan.
The exercise price of stock options granted under the 2022 Inducement Plan will not be less than the fair market value of a share of our common stock on the grant date. Other terms of awards, including vesting requirements, are determined by our board of directors and are subject to the provisions of the 2022 Inducement Plan. Stock options granted to employees generally vest over a four-year period but may be granted with different vesting terms. Certain options may provide for accelerated vesting in the event of a change in control. Stock options granted under the 2022 Inducement Plan expire no more than 10 years from the date of grant. As of December 31, 2025, there were 371,148 stock option awards outstanding, 194,419 restricted stock unit awards outstanding and 59,067 shares of common stock available for future grant under the 2022 Inducement Plan.
We estimate the fair value of our stock option awards to employees and non-employees using the Black-Scholes option-pricing model, which requires the input of subjective assumptions, including (a) the expected volatility of our stock, (b) the expected term of the award, (c) the risk-free interest rate, and (d) expected dividends. Due to the lack of a public market for the trading of our common stock and a lack of company-specific historical and implied volatility data, we previously based our estimate of expected volatility on the historical volatility of a group of companies in the pharmaceutical and biotechnology industries in a similar stage of development as us and that are publicly traded. For these analyses, we selected companies with comparable characteristics to ours including enterprise value, risk profiles and with historical share price information sufficient to meet the expected life of the stock-based awards. We computed the historical volatility data using the daily closing prices for the selected companies' shares during the equivalent period of the calculated expected term of our stock-based awards. We estimate volatility by using a blend of our stock price history for the length of time we have market data for our stock and the historical volatility of similar public companies for the expected term of each grant. We will continue to apply this process until a sufficient amount of historical information regarding the volatility of our own stock price becomes available.
We have estimated the expected life of our employee stock options using the "simplified" method, whereby, the expected life equals the average of the vesting term and the original contractual term of the option. The risk-free interest rates for periods within the expected life of the option are based on the U.S. Treasury yield curve in effect during the period the options were granted. We have elected to account for forfeitures as they occur. Upon adopting Accounting Standards Update 2018-07, Improvements to Nonemployee Share-Based Payment Accounting (Topic 718) on July 1, 2018, we elected that unsettled equity-classified awards to nonemployees for which a measurement date has not been established be measured using the adoption date fair value.
Income taxes
We account for uncertain tax positions in accordance with the provisions of Accounting Standards Codification, or ASC, Topic 740, Accounting for Income Taxes, or ASC 740. When uncertain tax positions exist, we recognize the tax benefit of tax positions to the extent that the benefit will more likely than not be realized. The determination as to whether the tax benefit will more likely than not be realized is based upon the technical merits of the tax position as well as
117

consideration of the available facts and circumstances. As of December 31, 2025, we did not have any uncertain tax positions.
Income taxes are recorded in accordance with ASC 740, which provides for deferred taxes using an asset and liability approach. We recognize deferred tax assets and liabilities for the expected future tax consequences of events that have been included in the financial statements or tax returns. We determine our deferred tax assets and liabilities based on differences between financial reporting and tax bases of assets and liabilities, which are measured using the enacted tax rates and laws that will be in effect when the differences are expected to reverse. Valuation allowances are provided, if based upon the weight of available evidence, it is more likely than not that some or all of the deferred tax assets will not be realized.
Utilization of the net operating loss and tax credit carryforwards may be subject to a substantial annual limitation due to ownership change limitations that have occurred previously or that could occur in the future, as provided by Section 382 of the Internal Revenue Code of 1986, as amended, or the Code, or Section 382, as well as similar state provisions and other provisions of the Code. Ownership changes may limit the amount of net operating losses and tax credit carryforwards that can be utilized annually to offset future taxable income and tax, respectively. In general, an ownership change, as defined by Section 382, occurs when there is a greater than 50% change in the ownership of stock among certain 5% shareholders over a three-year period.
Results of Operations
Comparison of years ended December 31, 2025 and 2024
The following table summarizes our results of operations for the years ended December 31, 2025 and 2024, together with the changes in those items in dollars and as a percentage:
Year Ended
December 31,
Change
20252024$%
(in thousands)
Statement of Operations Data:
Product revenue, net$194,771 $130,126 $64,645 50 %
License revenue(5,014)— (5,014)100 %
Total revenues189,757 130,126 59,631 46 %
Costs and expenses:
Cost of sales19,492 13,368 6,124 46 %
Research and development167,340 237,957 (70,617)(30)%
Selling, general, and administrative194,941 144,304 50,637 35 %
Total costs and expenses381,773 395,629 (13,856)(4)%
Loss from operations(192,016)(265,503)73,487 (28)%
Other income (expense), net(4,026)5,247 (9,273)(177)%
Loss before income taxes(196,042)(260,256)64,214 (25)%
Provision for income taxes497 346 151 44 %
Net loss$(196,539)$(260,602)$64,063 (25)%
Product revenue, net increased by $64.6 million to $194.8 million in 2025 from $130.1 million in 2024, an increase of 50%, due primarily to higher volume of product sold both domestically and internationally. We expect our sales of IMCIVREE to continue to increase. We have achieved market access for IMCIVREE for BBS or POMC and LEPR deficiencies, or both, in more than 25 countries outside the United States, and we continue to collaborate with authorities to achieve access in additional markets. For the years ended December 31, 2025 and 2024, a substantial amount of our product revenue, or 69% and 74%, respectively, was generated from sales of our product to patients in the United States.
License revenue. During the year ended December 31, 2025, we recognized a reduction of previously recognized license revenue of $5.0 million in connection with the termination of our exclusive license agreement with RareStone. See Note 10, Significant Agreements, in the consolidated financial statements.

118

Cost of sales. Cost of sales increased by $6.1 million to $19.5 million in 2025 from $13.4 million in 2024, an increase of 46%, which was driven primarily by the increase in product revenue in 2025. Cost of sales is composed of royalty expense due to Ipsen on our net product sales, amortization of our capitalized sales-based milestone payment made to Ipsen, upon our first commercial sale in the United States and EU, the cost of product, as well as costs associated with our patient assistance programs. Specifically, the $6.1 million increase in cost of sales in 2025 was due to $3.2 million of additional royalties due to our growth in sales and $2.9 million due to higher product costs from higher net product revenue. We expect cost of sales as a percentage of product revenue, net to continue to be in a range of 10% to 12% in foreseeable future.

Research and development expense. Research and development expense decreased by $70.6 million to $167.3 million in 2025 from $238.0 million in 2024, a decrease of 30%. The net decrease was primarily due to the following:

a decrease of $92.4 million related to acquired In-Process Research and Development (“IPR&D”) costs associated with the acquisition of LGC’s proprietary compound bivamelagon in the year ended December 31, 2024, which did not recur in 2025; and

a net decrease of $6.7 million in our clinical trial costs due to the completion and/or wind down of various trials including our Setmelanotide long-term extension trial, DAYBREAK phase 2 trial, Phase 3 pediatrics trial, and Phase 3 HO Setmelanotide trial; partially offset with an increase in our Bivamelagon HO Phase 2 and Bivamelagon long-term extension trials, as well as our Prader-Willi Syndrome Setmelanotide trial.

The above decreases were partially offset by:

an increase of $8.0 million related to salaries, benefits and other compensation costs related to the hiring of additional full-time employees in order to support the growth of our research and development programs, as well as an increase of $9.3 million of stock-based compensation due to increases in stock price and headcount, as well as the achievement of certain clinical and/or regulatory milestones related to performance units, and

an increase of $7.2 million associated with chemistry, manufacturing, and controls (CMC) costs for drug formulation and autoinjector development to support RM-718 and our ongoing Phase 1 clinical trial of RM-718.

Selling, general and administrative expense. Selling, general and administrative expense increased by $50.6 million to $194.9 million in 2025 from $144.3 million in 2024, an increase of 35%. The increase was primarily due to the following:
an increase of $19.9 million increase in compensation and benefits-related costs associated with additional headcount to support our expanding business operations as well as to establish commercial operations in international regions; as well as an increase of $17.8 million of stock-based compensation due to increases in stock price and headcount, as well as the achievement of certain clinical and/or regulatory milestones related to performance units, and

an increase of $6.6 million related to increased marketing and promotion costs to support continued revenue growth, and our anticipated product launch for Hypothalamic Obesity.
an increase of $4.2 million related to professional services costs, including legal, consulting and tax services.
Other income (expense), net. During the year ended December 31 2025, we incurred $(4.0) million in other expense, compared to $5.2 million of other income in 2024. This change of $(9.3) million was due to the following:
a one-time gain of $8.9 million that was recognized for the settlement of a forward contract recorded with the issuance of Convertible Preferred Stock during the year ended December 31, 2024; which did not recur in 2025, and
a decrease in other income of $0.9 million primarily due to the change in fair value of the embedded derivative on our deferred royalty obligation and less foreign exchange gains in 2025.

119

Liquidity and Capital Resources
As of December 31, 2025, our cash and cash equivalents and short-term investments were approximately $388.9 million.
Cash flows
The following table provides information regarding our cash flows for the years ended December 31, 2025 and 2024:
Year Ended December 31,
20252024
(in thousands)
Net cash (used in) provided by:
Operating activities$(115,675)$(113,879)
Investing activities$(137,153)$(48,173)
Financing activities$217,963 $191,242 
Effect of exchange rates on cash$87 $
Net increase (decrease) in cash, cash equivalents and restricted cash$(34,778)$29,192 
Net cash used in operating activities
The use of cash in all periods resulted primarily from our net losses, adjusted for non-cash charges and changes in components of operating assets and liabilities.
Net cash used in operating activities was $115.7 million for the year ended December 31, 2025, and consisted primarily of a net loss of $196.5 million adjusted for $81.8 million of non-cash charges, which consisted of stock-based compensation, depreciation and amortization, non-cash interest expense, non-cash accretion and amortization of short-term investments, non-cash rent expense, and the change in the fair value of our embedded derivative liability, which we expect to continue to have these add-backs to net income. Additionally, the change in operating assets and liabilities used net cash of approximately $1.0 million, and was primarily driven by total net increases of accounts receivable of $7.6 million, which corresponds to the increase in our revenue, $7.5 million increase in inventory as we work to build up our supply ahead of anticipated demand, and an increase of $6.3 million in prepaid expenses and other current assets due primarily to prepayments being reclassed from long-term to short-term, offset by total net increases to accounts payable and accrued expenses of $21.9 million primarily driven by the increase in our sales allowance for pricing rebates as our revenue continues to grow.
Net cash used in operating activities was $113.9 million for the year ended December 31, 2024, and consisted primarily of a net loss of $260.6 million adjusted for non-cash items of $43.8 million, which consisted of stock-based compensation, depreciation and amortization, non-cash interest expense, non-cash accretion and amortization of short-term investments, non-cash rent expense, gain on settlement of forward contract, and the change in the fair value of our embedded derivative liability. Our net loss also included $92.4 million of acquired In-Process Research and Development (IPR&D) assets, which are classified as investing activities. The change in operating assets and liabilities provided net cash of approximately $10.6 million, primarily driven by increases to accounts payable and accrued expenses of $21.9 million, net decreases in long-term assets of $7.9 million, offset by net increases in accounts receivable and inventory of $13.8 million and net increases to prepaid expenses of $5.5 million.
Net cash used in investing activities
Net cash used in investing activities was $137.2 million for the year ended December 31, 2025 and related to purchases of short term investments for $348.7 million and cash used for the final payment we made in July 2025 for LGC’s proprietary compound bivamelagon for $40.0 million, offset by gross maturities and sales of short-term investments of $252.5 million.
Net cash used in investing activities was $48.2 million for the year ended December 31, 2024 and related to purchases of short term investments for $268.3 million and cash used for the purchase of LGC’s proprietary compound bivamelagon for $40.0 million in January 2024, offset by gross maturities of short-term investments of $260.6 million.
120

Net cash provided by financing activities
Net cash provided by financing activities was $218.0 million for the year ended December 31, 2025, which consisted of net proceeds of $188.7 million from a follow-on offering of our common stock in July 2025, and net proceeds from our ATM equity offering of $34.0 million. We also received proceeds of $15.2 million from the exercise of stock options and the issuance of common stock from our 2017 Employee Stock Purchase Plan. These proceeds were offset by $19.9 million of repayments of our deferred royalty obligation.
Net cash provided by financing activities was $191.2 million for the year ended December 31, 2024, and consisted of net proceeds of $147.8 million from the issuance of Convertible Preferred Stock as well as net proceeds from our ATM equity offering of $39.1 million. We also received proceeds of $17.2 million from the exercise of stock options and the issuance of common stock from our 2017 Employee Stock Purchase Plan. These proceeds were offset by $12.9 million of repayments of our deferred royalty obligation.
Revenue Interest Financing Agreement
On June 16, 2022, we entered into the RIFA with HealthCare Royalty, for a total investment amount of up to $100 million. In exchange for the total investment amount to be received by us, HealthCare Royalty will receive a tiered royalty based on global net product sales generated by IMCIVREE. For additional information, see Note 11, Long-term Obligations, to the consolidated financial statements included elsewhere in this Annual Report.
Funding requirements
We expect our expenses to increase in connection with our ongoing activities, particularly as we continue the clinical development of and seek marketing approval for setmelanotide for future indications and build out our global organization. In addition, we expect to incur significant commercialization expenses related to product sales, marketing, manufacturing and distribution to the extent that such sales, marketing and distribution are not the responsibility of potential collaborators. We also expect to incur additional costs associated with operating as a public company.
We expect that our existing cash and cash equivalents and short-term investments will be sufficient to fund our operations for at least 24 months from the date of filing of this Annual Report on Form 10-K. Our cash and cash equivalents are maintained at financial institutions in amounts that exceed federally-insured limits. In the event of failure of any of the financial institutions where we maintain our cash and cash equivalents, there can be no assurance that we will be able to access uninsured funds in a timely manner or at all.
We may need to obtain substantial additional funding in connection with our research and development activities and any continuing operations thereafter. If we are unable to raise capital when needed or on favorable terms, we would be forced to delay, reduce or eliminate our research and development programs or future commercialization efforts.
Our future capital requirements will depend on many factors, including:
the cost to continue to commercialize setmelanotide, by growing our internal sales force or entering into collaborations with third parties and providing support services for patients;
the scope, progress, results and costs of clinical trials for our setmelanotide program, as well as for RM-718 and bivamelagon, and in connection with a therapeutic product candidate for CHI;
the costs, timing and outcome of regulatory review of our setmelanotide program; as well as for RM-718 and bivamelagon, and in connection with a therapeutic product candidate for CHI;
the obligations owed to Ipsen, Camurus AB and LGC, pursuant to our license agreements;
the extent to which we acquire or in-license other product candidates and technologies;
the costs of preparing, filing and prosecuting patent applications, maintaining and enforcing our intellectual property rights and defending intellectual property-related claims;
our ability to establish and maintain additional collaborations on favorable terms, if at all; and
the costs of operating as a public company.
121

Although IMCIVREE has been approved by the FDA in certain indications, and became commercially available in the first quarter of 2021, IMCIVREE may not achieve commercial success. In addition, developing our setmelanotide program is a time-consuming, expensive and uncertain process that may take years to complete, and we may never generate the necessary data or results required to obtain future marketing approvals and achieve product sales. Accordingly, we will need to continue to rely on additional financing to achieve our business objectives. Adequate additional financing may not be available to us on acceptable terms, or at all.
Further, the global economy, including credit and financial markets, has recently experienced extreme volatility and disruptions, including severely diminished liquidity and credit availability, rising interest and inflation rates, declines in consumer confidence, declines in economic growth, increases in unemployment rates and uncertainty about economic stability. All of these factors could impact our liquidity and future funding requirements, including but not limited to our ability to raise additional capital when needed on acceptable terms, if at all. The duration of this economic slowdown is uncertain and the impact on our business is difficult to predict. See “Risk Factors— Unfavorable global political or economic conditions could adversely affect our business, financial condition or results of operations.”
Until such time, if ever, as we can generate substantial product revenues, we expect to finance our cash needs through a combination of equity offerings, debt financings, collaborations, strategic alliances and licensing arrangements.
To the extent that we raise additional capital through the sale of equity or convertible debt securities, the ownership interest of our stockholders will be diluted, and the terms of these securities may include liquidation or other preferences that adversely affect the rights of our common stockholders. Debt financing, if available, involves agreements that include covenants limiting or restricting our ability to take specific actions, such as incurring additional debt, making capital expenditures or declaring dividends.
If we raise funds through additional collaborations, strategic alliances or licensing arrangements with third parties, we may have to relinquish valuable rights to our setmelanotide program on terms that may not be favorable to us. If we are unable to raise additional funds through equity or debt financings when needed, we may be required to delay, limit, reduce or terminate our product development or future commercialization efforts or grant rights to develop and market our setmelanotide program that we would otherwise prefer to develop and market ourselves.
ATM
On November 2, 2021, we entered into a Sales Agreement with Cowen and Company, LLC (“Cowen”), pursuant to which we may issue and sell shares of its common stock, having an aggregate offering price of up to $100.0 million, from time to time through an “at the market” equity offering program under which Cowen acts as sales agent (the “ATM Program”). Between August 10, 2023 and August 21, 2023, we sold approximately two million shares of our common stock in the ATM Program for net proceeds of approximately $48.9 million.
On February 29, 2024, we and Cowen entered into Amendment No. 1 to Sales Agreement (the “Amendment”) to increase the aggregate offering price of the shares of common stock that may be issued and sold pursuant to the Sales Agreement to $200.0 million (excluding the aggregate offering price of shares of common stock issued and sold pursuant to the Sales Agreement prior to February 29, 2024). In connection with the Amendment, on February 29, 2024, we filed with the SEC a prospectus supplement, dated February 29, 2024, which, combined with the Base Prospectus (together, the “New Prospectus”), amended the Prior Prospectus in its entirety. The issuances and sales under the Sales Agreement, as amended by the Amendment, will be made pursuant to the Registration Statement and the New Prospectus.
From December 10, 2024 to December 31, 2024, the Company sold 744,595 shares of common stock in the ATM Program for net proceeds of $41.2 million as of December 31, 2024. The Company sold an additional 587,510 shares of common stock in the ATM Program from January 1, 2025 through January 21, 2025 for net proceeds of approximately $32.1 million in the quarter ending March 31, 2025.
Other funding
On July 9, 2025, we entered into an underwriting agreement (the “Underwriting Agreement”) with Morgan Stanley & Co. LLC and BofA Securities, Inc., as the representatives of the several underwriters named in the Underwriting Agreement (collectively, the “Underwriters”), in connection with a follow-on offering, issuance and sale by us of 2,058,824 shares of the Company’s common stock. The offering price of the shares of common stock to the public was $85.00 per share. In addition, under the terms of the Underwriting Agreement, we granted the Underwriters a 30-day option to purchase up to 308,823 additional shares of Common Stock, at the public offering price per share, less underwriting discounts and commissions. On July 10, 2025, the Underwriters exercised the option in full. The closing of
122

the sale of the shares pursuant to the offering, including the shares sold pursuant to the exercise in full of the option, took place on July 11, 2025, resulting in net proceeds of approximately $188.7 million, net of $12.6 million of underwriting discounts and commissions, and other offering expenses that we incurred, for a total share issuance of 2,367,647.
In April 2024, we received $147.8 million in net proceeds under the Investment Agreement, with certain affiliates of Perceptive Advisors LLC, or Perceptive, and certain other investors, relating to the issuance and sale of 150,000 shares of a new series of the Company’s Convertible Preferred Stock for an aggregate purchase price of $150.0 million, or $1,000 per share - see Note 9 to our consolidated financial statements - Series A Convertible Preferred Stock for additional information.
Contractual obligations
We enter into agreements in the normal course of business with CROs and CMOs for clinical trials and clinical supply manufacturing and with vendors for clinical research studies and other services and products for operating purposes. We do not classify these as contractual obligations where the contracts are cancelable at any time by us, generally upon 30 days' prior written notice to the vendor.
Future milestone and royalty payments associated with our license agreements with Ipsen, Camurus, and LG Chem, have not been included as contractual obligations as we cannot reasonably estimate if or when they will occur. Under the terms of the Ipsen license agreement, Ipsen may receive aggregate payments of up to $40.0 million upon the achievement of certain development and commercial milestones under the license agreement and royalties on future product sales and at December 31, 2025 there were $27.0 million of remaining milestones that may be achieved and due to Ipsen at a future date. We did not make milestone payments to Ipsen during 2023, 2024 or 2025.
Under the terms of the Camurus license agreement, assuming that the weekly formulation of setmelanotide is successfully developed, receives regulatory approval and is commercialized, Camurus may receive aggregate payments of up to $64.8 million upon the achievement of certain development and commercial milestones under the license agreement and royalties on future product sales. As of December 31, 2025, there were $62.5 million of remaining milestones that may be achieved and for which Camurus would receive payment at a future date. We did not make milestone payments to Camurus during 2023, 2024 or 2025.
Under the terms of the LG Chem license agreement, we have paid LG Chem $80 million in cash and issued shares to them of our common stock with an aggregate value of $20 million. We have also agreed to pay LG Chem up to $205 million in cash upon achieving various regulatory milestones and sales milestones based on net sales of bivamelagon. In addition and subject to the completion of Phase 2 development of bivamelagon, the Company has agreed to pay LGC royalties of between low-to-mid single digit percent of net revenues from its MC4R portfolio, including bivamelagon, commencing in 2029 and dependent upon achievement of various regulatory and indication approvals, and subject to customary deductions and anti-stacking. Royalties may further increase to a low double digit percent royalty, though such royalty would only be applicable on net sales of bivamelagon in a region if bivamelagon is covered by a composition of matter or method of use patent controlled by LGC in such region and the Company’s MC4R portfolio is not covered by any composition of matter or method of use patents controlled by the Company in such region. Such increased rate would only apply on net sales of bivamelagon for the limited remainder of the royalty term in the relevant region. We entered into this agreement in 2024 and have not yet made any milestone payments.
Based on our current development plans as of December 31, 2025, we expect to make a $2.0 million milestone payment to the sellers of Xinvento upon the commencement of good laboratory practices toxicity trials (currently expected to begin in 2026). Milestones generally become due and payable upon achievement of such milestones or sales. When the achievement of these milestones or sales have not occurred, such contingencies are not recorded in our financial statements and are excluded from the table below.
On May 2, 2024, we entered into an agreement to amend the current operating lease agreement for our head office facility in Boston, Massachusetts. Under the amendment, the current lease was extended for five years through July 31, 2030. The lease includes approximately 13,600 square feet of office space.
Recent Accounting Pronouncements
For a discussion of pending and recently adopted accounting pronouncements, see Note 2 to our audited consolidated financial statements included elsewhere in this Annual Report.
123

Item 7A. Quantitative and Qualitative Disclosures About Market Risk
Our primary exposure to market risk is interest rate sensitivity, which is affected by changes in the general level of U.S. interest rates, particularly because our investments, including cash equivalents, are in the form, or may be in the form of, money market funds or marketable securities and are or may be invested in U.S. Treasury and U.S. government agency obligations. Due to the short-term maturities and low risk profiles of our investments, an immediate 100 basis point change in interest rates would not have a material effect on the fair market value of our investments.
We are also exposed to market risks related to fluctuations in foreign currency exchange rates. These risks arise primarily from our international operations, including foreign currency‑denominated revenues, expenses, assets, liabilities, and intercompany transactions. Changes in exchange rates can impact our results of operations, financial position, and cash flows, as well as the U.S. dollar value of our foreign currency‑denominated balances. Our exposure to foreign currency risk is not material for the year ended December 31, 2025; we consider this exposure as part of our overall risk management process.
Item 8. Financial Statements and Supplementary Data
See the consolidated financial statements filed as part of this Annual Report as listed under Item 15 below.
Item 9. Changes in and Disagreements with Accountants on Accounting and Financial Disclosures
Not Applicable.
Item 9A. Controls and Procedures
Limitations on Effectiveness of Controls and Procedures
We maintain disclosure controls and procedures (as that term is defined in Rules 13a-15(e) and 15d-15(e) under the Exchange Act). In designing and evaluating our disclosure controls and procedures, management recognizes that any controls and procedures, no matter how well designed and operated, can provide only reasonable assurance of achieving the desired control objectives. In addition, the design of disclosure controls and procedures must reflect the fact that there are resource constraints and that management is required to apply judgment in evaluating the benefits of possible controls and procedures relative to their costs.
Evaluation of Disclosure Controls and Procedures
Our management, with the participation of our principal executive officer and principal financial officer, has evaluated the effectiveness of our disclosure controls and procedures (as defined in Rules 13a- 15(e) and 15d- 15(e) under the Exchange Act), as of the end of the period covered by this Annual Report. Based on such evaluation, our principal executive officer and principal financial officer have concluded that as of December 31, 2025, our disclosure controls and procedures were effective at the reasonable assurance level.
Management’s Annual Report on Internal Control over Financial Reporting
Our management is responsible for establishing and maintaining adequate internal control over financial reporting (as defined in Rules 13a-15(f) and 15d 15(f) of the Exchange Act). Our management assessed the effectiveness of our internal control over financial reporting as of December 31, 2024. In making this assessment, it used the criteria established in Internal Control—Integrated Framework (2013) issued by the Committee of Sponsoring Organizations of the Treadway Commission (COSO).
Based upon such assessment, our management concluded that our internal control over financial reporting was effective as of December 31, 2025.
Changes in Internal Control Over Financial Reporting
There were no changes in our internal control over financial reporting (as defined in Rules 13a-15(f) and 15d 15(f) under the Exchange Act) that occurred during the fourth quarter of 2025 that have materially affected, or are reasonably likely to materially affect, our internal control over financial reporting.
124

Attestation of Independent Registered Public Accounting Firm
Ernst & Young LLP, our independent registered public accounting firm, has issued an attestation report on our internal control over financial reporting, which is included below.
Report of Independent Registered Public Accounting Firm
To the Stockholders and the Board of Directors of Rhythm Pharmaceuticals, Inc.
Opinion on Internal Control Over Financial Reporting
We have audited Rhythm Pharmaceuticals, Inc.’s internal control over financial reporting as of December 31, 2025, based on criteria established in Internal Control—Integrated Framework issued by the Committee of Sponsoring Organizations of the Treadway Commission (2013 framework) (the COSO criteria). In our opinion, Rhythm Pharmaceuticals, Inc. (the Company) maintained, in all material respects, effective internal control over financial reporting as of December 31, 2025, based on the COSO criteria.
We also have audited, in accordance with the standards of the Public Company Accounting Oversight Board (United States) (PCAOB), the consolidated balance sheets of the Company as of December 31, 2025 and 2024, the related consolidated statements of operations and comprehensive loss, convertible preferred stock & stockholders’ equity and cash flows for each of the three years in the period ended December 31, 2025, and the related notes and our report dated February 26, 2026 expressed an unqualified opinion thereon.
Basis for Opinion
The Company’s management is responsible for maintaining effective internal control over financial reporting and for its assessment of the effectiveness of internal control over financial reporting included in the accompanying Management’s Annual Report on Internal Control over Financial Reporting. Our responsibility is to express an opinion on the Company’s internal control over financial reporting based on our audit. We are a public accounting firm registered with the PCAOB and are required to be independent with respect to the Company in accordance with the U.S. federal securities laws and the applicable rules and regulations of the Securities and Exchange Commission and the PCAOB.
We conducted our audit in accordance with the standards of the PCAOB. Those standards require that we plan and perform the audit to obtain reasonable assurance about whether effective internal control over financial reporting was maintained in all material respects.
Our audit included obtaining an understanding of internal control over financial reporting, assessing the risk that a material weakness exists, testing and evaluating the design and operating effectiveness of internal control based on the assessed risk, and performing such other procedures as we considered necessary in the circumstances. We believe that our audit provides a reasonable basis for our opinion.
Definition and Limitations of Internal Control Over Financial Reporting
A company’s internal control over financial reporting is a process designed to provide reasonable assurance regarding the reliability of financial reporting and the preparation of financial statements for external purposes in accordance with generally accepted accounting principles. A company’s internal control over financial reporting includes those policies and procedures that (1) pertain to the maintenance of records that, in reasonable detail, accurately and fairly reflect the transactions and dispositions of the assets of the company; (2) provide reasonable assurance that transactions are recorded as necessary to permit preparation of financial statements in accordance with generally accepted accounting principles, and that receipts and expenditures of the company are being made only in accordance with authorizations of management and directors of the company; and (3) provide reasonable assurance regarding prevention or timely detection of unauthorized acquisition, use, or disposition of the company’s assets that could have a material effect on the financial statements.
Because of its inherent limitations, internal control over financial reporting may not prevent or detect misstatements. Also, projections of any evaluation of effectiveness to future periods are subject to the risk that controls may become inadequate because of changes in conditions, or that the degree of compliance with the policies or procedures may deteriorate.

125


/s/ Ernst & Young LLP
Boston, Massachusetts
February 26, 2026
Item 9B.                          Other Information
a)Disclosure in lieu of reporting on a Current Report on Form 8-K.
None.
b)Insider Trading Arrangements and Policies.
On December 15, 2025, Pamela Cramer, the Company's Chief Human Resources Officer, adopted a trading plan intended to satisfy the affirmative defense conditions of Rule 10b5-1(c) under the Exchange Act for the sale of up to 52,617 shares of the Company's common stock until March 15, 2027.
On December 15, 2025, Jennifer Lee, the Company's EVP, Head of North America, adopted a trading plan intended to satisfy the affirmative defense conditions of Rule 10b5-1(c) under the Exchange Act for the sale of up to 62,459 shares of the Company's common stock until October 1, 2026.
On December 15, 2025, Joseph Shulman, the Company's Chief Technical Officer, adopted a trading plan intended to satisfy the affirmative defense conditions of Rule 10b5-1(c) under the Exchange Act for the sale of up to 66,910 shares of the Company's common stock until March 12, 2027.
On December 15, 2025, Lynn Tetrault, a member of the Company's Board of Directors, adopted a trading plan intended to satisfy the affirmative defense conditions of Rule 10b5-1(c) under the Exchange Act for the sale of up to 55,000 shares of the Company's common stock until September 16, 2026.
Other than as disclosed above, during the three months ended December 31, 2025, no director or officer of the Company adopted or terminated a “Rule 10b5-1 trading arrangement” or “non-Rule 10b5-1 trading arrangement,” as each term is defined in Item 408(a) of Regulation S-K.
Item 9C. Disclosure Regarding Foreign Jurisdictions that Prevent Inspections.
Not applicable.
PART III
Item 10. Directors, Executive Officers and Corporate Governance
We have adopted a Code of Business Conduct and Ethics for all of our directors, officers and employees, including our principal executive officer, principal financial officer, principal accounting officer or controller, or persons performing similar functions. We have posted a current copy of our Code of Business Conduct and Ethics on our website at www.rhythmtx.com in the “Investors & Media” section under “Corporate Governance.” We intend to disclose on our website any amendments to, or waivers from, our Code of Business Conduct and Ethics that are required to be disclosed pursuant to the rules of the SEC, as well as Nasdaq’s requirement to disclose waivers with respect to directors and executive officers. The information contained on our website is not considered part of, or incorporated by reference into, this Annual Report or any other filing that we make with the SEC.
The remaining information required under this item is incorporated herein by reference to our definitive proxy statement for our 2026 annual meeting of stockholders, which proxy statement will be filed with the Securities and Exchange Commission not later than 120 days after the close of our fiscal year ended December 31, 2025.
126

Item 11. Executive Compensation
The information required under this item is incorporated herein by reference to our definitive proxy statement for our 2026 annual meeting of stockholders, which proxy statement will be filed with the Securities and Exchange commission not later than 120 days after the close of our fiscal year ended December 31, 2025.
Item 12. Security Ownership of Certain Beneficial Owners and Management and Related Stockholder Matters
Equity Compensation Plan Information
The following table provides information as of December 31, 2025, regarding our common stock that may be issued under (1) the 2017 Plan; (2) our 2017 Employee Stock Purchase Plan, (the 2017 ESPP); and (3) the 2022 Inducement Plan.
Plan Category:
Number of Securities
to be Issued Upon Exercise
of Outstanding Options, Restricted Stock Units
Warrants and Rights
Weighted-Average
Exercise Price
of Outstanding Options,
Warrants and Rights
Number of Securities
Available for Future
Issuance Under Equity
Compensation Plans
Equity compensation plans approved by stockholders
2017 Plan
9,080,190
$28.45 
4,636,850
2017 ESPP— 
1,240,958
Equity compensation plans not approved by stockholders
2022 Inducement Plan
565,567
$23.25 
59,067
Total9,645,757$28.15 5,936,875
(1)The 2017 Plan provides for an annual increase on each January 1 commencing in 2018 and ending in 2027, by an amount equal to 4% of the number of shares of common stock outstanding as of the end of the immediately preceding fiscal year, provided that the Board may provide for no increase or that the increase will be a lesser number of shares.
(2)The 2017 ESPP provides for an annual increase on each January 1 commencing in 2018 and ending in 2027, by an amount equal to the lesser of (i) 1% of the number of shares of common stock outstanding as of the end of the immediately preceding fiscal year or (ii) 682,102, provided that the Board may provide for no increase or that the increase will be a lesser number of shares.
(3)The 2022 Inducement Plan adopted on February 9, 2022. Awards issued under the 2022 Inducement Plan may only be made to a newly hired employee who has not previously been a member of the Company’s board of directors, or an employee who is being rehired following a bona fide period of non-employment by the Company or a subsidiary, as a material inducement to the employee’s entering into employment with the Company or its subsidiary. An aggregate of 1,000,000 shares of the Company’s common stock were reserved for issuance under the 2022 Inducement Plan. The material terms of the 2022 Inducement Plan are described in Note 9 to the consolidated financial statements included herein.
Other
The remaining information required under this item is incorporated herein by reference to our definitive proxy statement for our 2026 annual meeting of stockholders, which proxy statement will be filed with the Securities and Exchange Commission not later than 120 days after the close of our fiscal year ended December 31, 2025.
Item 13. Certain Relationships and Related Transactions, and Director Independence
The information required under this item is incorporated herein by reference to our definitive proxy statement for our 2026 annual meeting of stockholders, which proxy statement will be filed with the Securities and Exchange Commission not later than 120 days after the close of our fiscal year ended December 31, 2025.
Item 14. Principal Accountant Fees and Services
The information required under this item is incorporated herein by reference to our definitive proxy statement for our 2026 annual meeting of stockholders, which proxy statement will be filed with the Securities and Exchange Commission not later than 120 days after the close of our fiscal year ended December 31, 2025.
127

PART IV
Item 15. Exhibits and Financial Statement Schedules
(a)1. Consolidated Financial Statements.
For a list of the consolidated financial statements included herein, see Index on page F-1 of this report.
2.Financial Statement Schedules.
All financial statement schedules have been omitted because the required information is either presented in the consolidated financial statements or the notes thereto or is not applicable or required.
3.List of Exhibits.
The following is a list of exhibits filed as part of this Annual Report.
128

Exhibit Index
Incorporated by Reference
Exhibit NumberExhibit DescriptionFormDateNumber
2.18-K1/5/20212.1
2.210-K3/1/20232.2
3.18-K6/26/20253.1
3.28-K12/18/20233.1
3.310-Q05/07/20243.4
4.1S-1/A9/25/20174.1
4.2S-311/2/20214.3
4.3S-3ASR3/2/20234.1
4.410-K3/1/20234.3
10.1†S-1/A9/25/201710.1
10.2†S-1/A9/25/201710.21
10.3.1†10-Q11/14/201710.2
10.3.2†10-K3/2/202010.18
10.3.3†10-Q05/07/202410.4
10.4.1†10-Q11/14/201710.10
10.4.2†S-16/18/201810.17
10.5.1†10-K3/1/202210.5.1
10.5.2†10-K3/1/202210.5.2
10.6†10-Q8/5/202510.1
10.7†S-81/16/202699.1
10.8‡S-19/5/201710.6
10.9‡S-19/5/201710.8
10.10.1S-19/5/201710.11
10.10.210-K3/8/201910.9
10.10.38-K8/9/201810.1
10.10.410-Q05/07/202410.5
10.11†8-K8/3/202310.4
10.12†10-Q11/2/202010.1
129

10.13†8-K8/3/202310.2
10.14†8-K8/3/202310.3
10.15†8-K8/3/202310.1
10.16†10-Q8/3/202110.1
10.17†*
10.18‡‡10-Q8/03/202210.1
10.19‡‡10-K2/29/202410.25
10.20‡‡8-K04/01/202410.1
19.010-K02/28/202519.0
21.1*
23.1*
31.1*
31.2*
32.1**
32.2**
97†10-K2/29/202497
101.INS*Inline XBRL Instance Document- the Instance Document does not appear in the interactive data file because its XBRL tags are embedded within the Inline XBRL document.
101.SCH*Inline XBRL Taxonomy Extension Schema Document.
101.CAL*Inline XBRL Taxonomy Extension Calculation Linkbase Document.
101.DEF*Inline XBRL Taxonomy Extension Definition Linkbase Document.
101.LAB*Inline XBRL Taxonomy Extension Label Linkbase Document.
101.PRE*Inline XBRL Taxonomy Extension Presentation Linkbase Document.
104*Cover Page Interactive Data File (formatted as Inline XBRL and contained in Exhibit 101).
___________________________________________________________
*Filed herewith.
**Furnished and not filed herewith.
Indicates management contract or compensatory plan.
Indicates confidential treatment has been requested with respect to specific portions of this exhibit. Omitted portions have been filed with the SEC pursuant to Rule 406 of the Securities Act.
‡‡Indicates that portions of this exhibit (indicated by asterisks) have been omitted pursuant to Regulation S-K, Item 601(b)(10). Such omitted information is not material and the registrant customarily and actually treats such information as private or confidential.
130

Item 16. Form 10-K Summary
None
131

SIGNATURES
Pursuant to the requirements of Section 13 or 15(d) of the Securities Act of 1934, the registrant has duly caused this report to be signed on its behalf by the undersigned, thereunto duly authorized.
RHYTHM PHARMACEUTICALS, INC.
By:/s/ David P. Meeker M.D.
David P. Meeker M.D.
President and Chief Executive Officer
Pursuant to the requirements of the Securities Act of 1934, this report has been signed below by the following persons on behalf of the registrant and in the capacities and on the dates indicated.
NameTitleDate
/s/ David P. Meeker M.D.Chief Executive Officer, Director, Chairman of the Board
February 26, 2026
David P. Meeker M.D.(Principal Executive Officer)
/s/ Hunter SmithChief Financial Officer
February 26, 2026
Hunter Smith(Principal Financial Officer)
/s/ Christopher P. GermanCorporate Controller
February 26, 2026
Christopher P. German(Principal Accounting Officer)
/s/ Edward T. MathersLead Director
February 26, 2026
Edward T. Mathers
/s/ Stuart ArbuckleDirector
February 26, 2026
Stuart Arbuckle
/s/ Jennifer L. GoodDirector
February 26, 2026
Jennifer L. Good
/s/ Christophe R. JeanDirector
February 26, 2026
Christophe R. Jean
/s/ David W. J. McGirrDirector
February 26, 2026
David W. J. McGirr
/s/ Lynn A. TetraultDirector
February 26, 2026
Lynn A. Tetrault
132

RHYTHM PHARMACEUTICALS, INC.
INDEX TO CONSOLIDATED FINANCIAL STATEMENTS
F-1

REPORT OF INDEPENDENT REGISTERED PUBLIC ACCOUNTING FIRM

To the Stockholders and the Board of Directors of Rhythm Pharmaceuticals, Inc.

Opinion on the Financial Statements

We have audited the accompanying consolidated balance sheets of Rhythm Pharmaceuticals, Inc. (the Company) as of December 31, 2025 and 2024, the related consolidated statements of operations and comprehensive loss, convertible preferred stock & stockholders’ equity and cash flows for each of the three years in the period ended December 31, 2025, and the related notes (collectively referred to as the “consolidated financial statements”). In our opinion, the consolidated financial statements present fairly, in all material respects, the financial position of the Company at December 31, 2025 and 2024, and the results of its operations and its cash flows for each of the three years in the period ended December 31, 2025, in conformity with U.S. generally accepted accounting principles.

We also have audited, in accordance with the standards of the Public Company Accounting Oversight Board (United States) (PCAOB), the Company's internal control over financial reporting as of December 31, 2025, based on criteria established in Internal Control—Integrated Framework issued by the Committee of Sponsoring Organizations of the Treadway Commission (2013 framework), and our report dated February 26, 2026 expressed an unqualified opinion thereon.

Basis for Opinion

These financial statements are the responsibility of the Company's management. Our responsibility is to express an opinion on the Company’s financial statements based on our audits. We are a public accounting firm registered with the PCAOB and are required to be independent with respect to the Company in accordance with the U.S. federal securities laws and the applicable rules and regulations of the Securities and Exchange Commission and the PCAOB.

We conducted our audits in accordance with the standards of the PCAOB. Those standards require that we plan and perform the audit to obtain reasonable assurance about whether the financial statements are free of material misstatement, whether due to error or fraud. Our audits included performing procedures to assess the risks of material misstatement of the financial statements, whether due to error or fraud, and performing procedures that respond to those risks. Such procedures included examining, on a test basis, evidence regarding the amounts and disclosures in the financial statements. Our audits also included evaluating the accounting principles used and significant estimates made by management, as well as evaluating the overall presentation of the financial statements. We believe that our audits provide a reasonable basis for our opinion.

Critical Audit Matter

The critical audit matters communicated below are matters arising from the current period audit of the financial statements that were communicated or required to be communicated to the audit committee and that: (1) relate to accounts or disclosures that are material to the financial statements and (2) involved our especially challenging, subjective or complex judgments. The communication of critical audit matters does not alter in any way our opinion on the consolidated financial statements, taken as a whole, and we are not, by communicating the critical audit matters below, providing separate opinions on the critical audit matters or on the accounts or disclosures to which they relate.








F-2

Accrued and Prepaid Research and Development Expenses related to Phase 3 evaluation of setmelanotide on acquired hypothalamic obesity.
Description of the MatterThe Company’s accrued expenses and other current liabilities related to research and development costs were $17.1 million at December 31, 2025. In addition, the Company’s prepaid expenses and other current assets and other long-term assets related to research and development costs were $16.2 million and $1.7 million, respectively, at December 31, 2025. As discussed in Note 2 of the consolidated financial statements, the Company’s research and development expenses are based on the Company’s estimates of the progress of the related studies or clinical trials, including the phase or completion of events, invoices received, and contracted costs, which results in an accrual or prepayment at the balance sheet date.

Auditing the Company’s accrued and prepaid research and development expenses for the Phase 3 evaluation of setmelanotide on acquired hypothalamic obesity was complex and judgmental, as accounting for the costs associated with this clinical trial required significant estimation of the level of services performed and the associated costs incurred by service providers. Additionally, due to the long duration of this clinical trial and the timing of invoicing received from third parties, the actual amounts incurred are not always known prior to the issuance of the Company’s financial statements.
How We Addressed the Matter in Our AuditWe obtained an understanding, evaluated the design, and tested the operating effectiveness of relevant controls over the Company’s accrued and prepaid research and development expenses, including management’s review control over the review of the estimation of levels of services provided, determination of costs incurred to date and the completeness and accuracy of the data used in determining prepaid and accrued research and development expenses estimate.

To evaluate the prepaid and accrued research and development costs for this clinical trial at December 31, 2025, our audit procedures included, among others, testing the completeness and accuracy of the underlying data used in the estimates and evaluating the significant judgments and estimates made by management to determine the recorded prepaid and accrued amounts. To test the significant judgments and estimates, we corroborated the progress of research and development activities through discussion with the Company’s research and development personnel that oversee the research and development projects and inspected the Company’s contracts with third parties and any pending change orders to assess the impact on amounts recorded. In addition, we tested estimates of costs incurred to date by confirming actual costs incurred with the relevant third parties and through review of invoices received by the Company. We also analyzed fluctuations in the prepaid and accrued amounts by vendor and by trial throughout the period subject to audit, evaluated the costs incurred per trial, site and/or patient for reasonableness and tested subsequent invoices received from third parties.
F-3

Allowances for Rebates under the Medicaid Drug Rebate Program
Description of the MatterAs discussed in Note 2 to the Company’s consolidated financial statements, the Company recognizes revenue from product sales based on amounts due from customers net of allowances for variable consideration. Variable consideration includes, among others, rebates mandated by law under the Medicaid Drug Rebate Program. The Company includes an estimate of variable consideration in its transaction price at the time of sale, when control of the product transfers to the customer. The Company estimates its Medicaid Drug Rebate Program rebates based on monthly sales, historical experience of claims submitted by the various states and jurisdictions, contractual rebate rates and estimated lag time of the rebate invoices. Medicaid Drug Rebate Program rebate accruals inclusive of estimated amounts payable for claims not yet received or processed are classified as sales allowances and recorded within accrued expenses and other current liabilities on the Company’s consolidated balance sheet. Sales allowances, included within accrued expenses and other current liabilities, were $31.6 million as of December 31, 2025.

Auditing the allowances for rebates owed pursuant to the Medicaid Drug Rebate Program in the U.S. was complex and judgmental due to the complexity of the government mandated calculations. The allowances for rebates owed pursuant to the Medicaid Drug Rebate Program in the U.S. are sensitive to these calculations.
How We Addressed the Matter in Our AuditWe obtained an understanding, evaluated the design and tested the operating effectiveness of controls over the Company’s revenue recognition process, including management’s review control over the computation and review of the allowances for rebates under the Medicaid Drug Rebate Program. We tested the Company’s control to assess the completeness and accuracy of the current and historical data that supports the estimate of the allowance for rebates under the Medicaid Drug Rebate Program, the assumptions related to the inputs utilized as well as management’s review of the application of the government pricing regulations.

Our audit procedures to test the allowances for rebates owed pursuant to the Medicaid Drug Rebate Program included, among others, procedures to assess the government mandated calculations used to determine the allowance and procedures to test the completeness and accuracy of the underlying data used in the calculations. To test the government mandated calculations used to determine the allowance, we involved our government pricing specialists to assist in evaluating the Company’s methodology and calculations to measure certain estimated rebates. To test the completeness and accuracy of the underlying data used in the government mandated calculations, we compared the data used in the Company’s calculations to underlying sales data.


/s/ Ernst & Young LLP

We have served as the Company’s auditor since 2015.

Boston, Massachusetts

February 26, 2026
F-4

RHYTHM PHARMACEUTICALS, INC.
CONSOLIDATED BALANCE SHEETS
(in thousands, except share and per share data)
December 31,
2025
December 31,
2024
Assets
Current assets:
Cash and cash equivalents$54,301 $89,137 
Short-term investments334,648 231,428 
Accounts receivable, net26,081 18,512 
Inventory25,753 18,741 
Prepaid expenses and other current assets26,133 16,382 
Total current assets466,916 374,200 
Property and equipment, net1,104 632 
Right-of-use asset3,049 3,477 
Intangible assets, net5,319 6,174 
Restricted cash522 464 
Other long-term assets3,286 7,326 
Total assets$480,196 $392,273 
Liabilities, Convertible Preferred Stock and Stockholders’ equity
Current liabilities:
Accounts payable$13,947 $12,328 
Accrued expenses and other current liabilities83,855 62,658 
Other current liability - LG Chem 37,704 
Deferred revenue194 1,286 
Deferred royalty obligation, current7,296 1,541 
Lease liability650  
Total current liabilities105,942 115,517 
Long-term liabilities:
Deferred royalty obligation100,886 108,269 
Lease liability, non-current3,342 3,938 
Derivative liability  
Total liabilities210,170 227,724 
Commitments and contingencies (Note 12)
Series A convertible preferred stock, $0.001 par value: 150,000 shares authorized; 132,500 and 150,000 shares issued and outstanding at December 31, 2025 and December 31, 2024, respectively. Liquidation preference of $132,500 and $150,000 as of December 31, 2025, and December 31, 2024, respectively.
130,957 142,820 
Stockholders’ equity:
Common stock, $0.001 par value: 120,000,000 shares authorized; 67,205,321 and 62,390,654 shares issued and outstanding at December 31, 2025 and December 31, 2024, respectively
67 61 
Additional paid-in capital1,491,675 1,177,045 
Accumulated other comprehensive (loss) income(796)(39)
Accumulated deficit(1,351,877)(1,155,338)
Total stockholders’ equity139,069 21,729 
Total liabilities, convertible preferred stock and stockholders’ equity$480,196 $392,273 
The accompanying notes are an integral part of these financial statements.
F-5

RHYTHM PHARMACEUTICALS, INC.
CONSOLIDATED STATEMENTS OF OPERATIONS AND COMPREHENSIVE LOSS
(in thousands, except share and per share data)
Year Ended
December 31, 2025
Year Ended
December 31, 2024
Year Ended
December 31, 2023
Revenues:
Product revenue, net$194,771 $130,126 $77,428 
License revenue(5,014)  
Total revenues189,757 130,126 77,428 
Costs and expenses:
Cost of sales19,492 13,368 9,302 
Research and development167,340 237,957 134,951 
Selling, general, and administrative194,941 144,304 117,532 
Total costs and expenses381,773 395,629 261,785 
Loss from operations(192,016)(265,503)(184,357)
Other income (expense):
Other income, net1,264 2,239 190 
Gain on settlement of forward contract 8,900  
Interest expense(20,583)(20,603)(13,892)
Interest income15,293 14,711 13,945 
Total other income (expense), net(4,026)5,247 243 
Loss before income taxes(196,042)(260,256)(184,114)
Provision for income taxes497 346 564 
Net loss$(196,539)$(260,602)$(184,678)
Accrued dividends on convertible preferred stock (5,378)(3,970) 
Net loss attributable to common stockholders$(201,917)$(264,572)$(184,678)
Net loss per share attributable to common stockholders, basic and diluted$(3.11)$(4.34)$(3.20)
Weighted-average common shares outstanding, basic and diluted64,984,36160,995,20457,673,128
Other comprehensive loss:
Net loss attributable to common stockholders$(201,917)$(264,572)$(184,678)
Foreign currency translation adjustment (1,261)2 (140)
Unrealized (loss) gain, net on marketable securities, net of tax504 (175)366 
Comprehensive loss$(202,674)$(264,746)$(184,452)
The accompanying notes are an integral part of these financial statements.
F-6

RHYTHM PHARMACEUTICALS, INC.
CONSOLIDATED STATEMENTS OF CONVERTIBLE PREFERRED STOCK & STOCKHOLDERS' EQUITY
(in thousands, except share data)
Series A Convertible
Preferred Stock
Common StockAdditional
Paid-In
Capital
Accumulated
Other
Comprehensive
Income (Loss)
Accumulated
Deficit
Total
Stockholders’
Equity
SharesAmountSharesAmount
Balance at December 31, 2022$— 56,612,429$56 $974,356 $(92)$(710,058)$264,262 
Stock compensation expense— — 32,553 — — 32,553 
Issuance of common stock in connection with ESPP— 49,8191,053 — — 1,053 
Issuance of common stock in connection with exercise of stock options and vesting of restricted stock units— 745,0661 7,467 — — 7,468 
Issuance of common stock upon completion of ATM equity offering, net of offering costs— 2,019,2452 48,873 — — 48,875 
Foreign currency translation adjustment— — — (140)— (140)
Net unrealized gain on marketable securities— — — 366 — 366 
Net loss— — — — (184,678)(184,678)
Balance at December 31, 2023$ 59,426,559$59 $1,064,302 $134 $(894,736)$169,759 
Issuance of Series A Preferred Stock, net of $2.3 million of issuance costs
150,000138,850 — — — — — 
Stock compensation expense— — 39,682 — — 39,682 
Issuance of common stock in connection with ESPP— 44,554— 1,270 — — 1,270 
Issuance of common stock in connection with exercise of stock options and vesting of restricted stock units— 1,742,8032 15,972 — — 15,974 
Issuance of common stock as consideration for LGC license— 432,143— 18,716 — — 18,716 
Issuance of common stock upon completion of ATM equity offering, net of $1.1 million offering costs
— 744,595— 41,073 — — 41,073 
Accretion of preferred stock dividends3,970 — (3,970)— — (3,970)
Foreign currency translation adjustment— — — 2 — 2 
Net unrealized loss on marketable securities— — — (175)— (175)
Net loss— — — — (260,602)(260,602)
Balance at December 31, 2024150,000$142,820 62,390,654$61 $1,177,045 $(39)$(1,155,338)$21,729 
Stock compensation expense— — — — 66,818 — — 66,818 
Issuance of common stock in connection with ESPP— — 37,514 1 1,583 — — 1,584 
Issuance of common stock in connection with exercise of stock options and vesting of restricted stock units— — 1,457,414 1 13,603 — — 13,604 
Issuance of common stock upon completion of public offering, net of offering costs of $12.6 million
— — 2,367,647 2 188,655 — — 188,657 
Issuance of common stock upon completion of ATM equity offering, net of $0.7 million of offering costs
— — 587,510 1 32,108 — — 32,109 
Accretion of preferred stock dividends— 5,378 — — (5,378)— — (5,378)
Conversion of Series A preferred stock redeemable to common stock(17,500)(17,241)364,582 1 17,241 — — 17,242 
Foreign currency translation adjustment— — — — — (1,261)— (1,261)
Net unrealized gain on marketable securities— — — — — 504 — 504 
Net loss— — — — — — (196,539)(196,539)
Balance at December 31, 2025132,500$130,957 67,205,321$67 $1,491,675 $(796)$(1,351,877)$139,069 
The accompanying notes are an integral part of these financial statements.
F-7

RHYTHM PHARMACEUTICALS, INC.
CONSOLIDATED STATEMENTS OF CASH FLOWS
(in thousands)
Year ended December 31,
202520242023
Operating activities
Net loss$(196,539)$(260,602)$(184,678)
Adjustments to reconcile net loss to net cash used in operating activities:
Stock-based compensation expense66,818 39,682 32,553 
Depreciation and amortization1,338 1,563 1,758 
Non-cash interest expense 20,584 20,603 13,360 
Non-cash accretion & amortization of short-term investments(6,516)(8,165)(9,835)
Non-cash rent expense428 400 401 
Change in fair value of embedded derivative liability(910)(1,420)(190)
Gain on settlement of forward contract (8,900) 
Acquired IPR&D assets classified as investing activities 92,385 5,667 
Other non-cash items90   
Changes in operating assets and liabilities:
Accounts receivable(7,570)(3,645)(8,643)
Inventory(7,474)(10,117)(5,707)
Prepaid expenses and other current assets(6,327)(5,524)2,876 
Deferred revenue(1,092) (148)
Other long-term assets, net(397)7,943 1,656 
Accounts payable, accrued expenses and other liabilities21,892 21,918 14,773 
Net cash used in operating activities(115,675)(113,879)(136,157)
Investing activities
Purchases of short-term investments(348,669)(268,313)(354,918)
Maturities of short-term investments252,469 260,640 354,967 
Acquisition of IPR&D assets(40,000)(40,500)(5,667)
Purchases of property and equipment(953) (47)
Net cash used in investing activities(137,153)(48,173)(5,665)
Financing activities
Repayment of deferred royalty obligation(19,917)(12,900)(7,398)
Proceeds from issuance of common stock upon completion of public offering, net of offering costs188,657   
Proceeds from the exercise of stock options13,604 15,976 7,468 
Proceeds from issuance of common stock from ESPP1,584 1,270 1,053 
Net proceeds from issuance of common stock34,035 39,146 48,875 
Proceeds from royalty financing agreement, net of issuance costs  24,370 
Gain on settlement of forward contract 8,900  
Proceeds from Series A Preferred Stock, net of issuance costs 138,850  
Net cash provided by financing activities217,963 191,242 74,368 
Effect of exchange rates on cash87 2 (142)
Net increase (decrease) in cash, cash equivalents and restricted cash(34,778)29,192 (67,596)
Cash, cash equivalents and restricted cash at beginning of period89,601 60,409 128,005 
Cash, cash equivalents and restricted cash at end of period$54,823 $89,601 $60,409 
Supplemental disclosure of non-cash investing and financing activities:
Non-current liability issued in exchange for the acquisition of IPR&D$ $33,669 $ 
Issuance of common stock in exchange for IPR&D$ $18,716 $ 
Accretion of preferred stock dividends$5,378 $3,970 $ 
The accompanying notes are an integral part of these financial statements.
F-8

Rhythm Pharmaceuticals, Inc.
Notes to Consolidated Financial Statements
(In millions, except share and per share information or as otherwise noted)
1. Nature of Business
Rhythm Pharmaceuticals, Inc. (the “Company” or “we”) is a global, commercial-stage biopharmaceutical company dedicated to transforming the lives of patients and their families living with rare neuroendocrine diseases. We are focused on advancing our melanocortin-4 receptor agonists, including our lead asset, IMCIVREE (setmelanotide), as a precision medicine designed to treat hyperphagia and severe obesity caused by MC4R pathway diseases. While obesity affects hundreds of millions of people worldwide, we are developing therapies for a subset of individuals who have hyperphagia, a pathological hunger, and severe obesity due to an impaired MC4R pathway, which may be caused by traumatic injury or genetic variants. The MC4R pathway is an endocrine pathway in the brain that is responsible for regulating hunger, caloric intake and energy expenditure, which consequently affect body weight. IMCIVREE, an MC4R agonist for which we hold worldwide rights, is the first-ever therapy developed for patients with certain rare diseases that is approved or authorized in the United States, European Union (EU), Great Britain, Canada and other countries and regions.
The Company is a Delaware corporation organized in February 2013 under the name Rhythm Metabolic, Inc., and as of October 2015, under the name Rhythm Pharmaceuticals, Inc. The Company has wholly owned subsidiaries in the US, the United Kingdom, the Netherlands, France, Germany, Italy, Spain, Switzerland, Japan and Canada.
The Company is subject to risks and uncertainties common to commercial-stage companies in the biotechnology industry, including but not limited to, risks associated with the commercialization of approved products, completing preclinical studies and clinical trials, receiving regulatory approvals for product candidates, development by competitors of new biopharmaceutical products, dependence on key personnel, protection of proprietary technology, compliance with government regulations and the ability to secure additional capital to fund operations. Commercialization of approved products will require significant resources and in order to market IMCIVREE, the Company must continue to build its sales, marketing, managerial and other non-technical capabilities or make arrangements with third parties to perform these services. Product candidates currently under development will require significant additional research and development efforts, including preclinical and clinical testing and regulatory approval, prior to commercialization. These efforts require significant amounts of additional capital, adequate personnel and infrastructure and extensive compliance-reporting capabilities. Even though the Company has an approved product, and even if the Company’s further product development efforts are successful, it is uncertain when, if ever, the Company will realize sufficient revenue from product sales to fund operations.
Liquidity
The Company has incurred operating losses and negative cash flows from operations since inception, and expects operating losses to continue for the foreseeable future. As of December 31, 2025, the Company had an accumulated deficit of $1.4 billion. The Company has primarily funded these losses through the proceeds from the sales of our common stock and preferred stock, asset sales, royalty financing, out-license arrangements, as well as capital contributions received from the former parent company, Rhythm Holdings LLC. The Company has devoted substantially all of its resources to its drug development efforts, comprising of research and development, the acquisition of in process research and development assets, manufacturing, conducting clinical trials for its product candidates, protecting its intellectual property, commercialization activities and general and administrative functions relating to these operations. The future success of the Company is dependent on its ability to continue to develop its product candidates and ultimately upon its ability to attain profitable operations.
At December 31, 2025, the Company had $388.9 million of cash and cash equivalents and short-term investments on hand. In the future, the Company will be dependent on obtaining funding from third parties, such as proceeds from the issuance of debt, sale of equity, proceeds from out-license arrangements, revenue and revenue growth, and funded research and development programs to maintain the Company's operations and meet the Company's obligations. There is no guarantee that additional equity or other financings will be available to the Company on acceptable terms, or at all. If the Company fails to obtain additional funding when needed, the Company would be forced to scale back, terminate its operations or seek to merge with or be acquired by another company. Management believes that the Company's existing cash resources will be sufficient to fund the Company's operations through at least the next twelve months from the filing of this Annual Report on Form 10-K with the SEC.
F-9

2. Summary of Significant Accounting Policies
Basis of Presentation
The Company's consolidated financial statements have been prepared in conformity with accounting principles generally accepted in the United States (“GAAP”). Any reference in these notes to applicable guidance is meant to refer to the authoritative United States generally accepted accounting principles as found in the Accounting Standards Codification (“ASC”) and Accounting Standards Updates (“ASU”) of the Financial Accounting Standards Board (“FASB”).
Use of Estimates
The preparation of financial statements in conformity with GAAP requires management to make estimates and assumptions that affect the reported amounts of assets and liabilities and the disclosure of contingent liabilities at the date of the financial statements and the reported amounts of revenue and expenses during the reporting period. The Company bases its estimates on historical experience and other market-specific or other relevant assumptions that it believes to be reasonable under the circumstances. This process may result in actual results differing materially from those estimated amounts used in the preparation of the financial statements if these results differ from historical experience, or other assumptions do not turn out to be substantially accurate, even if such assumptions are reasonable when made. Significant estimates relied upon in preparing these financial statements include but are not limited to, estimates related to determining our net product revenue, and accruals related to research and development expenses. Estimates are periodically reviewed in light of changes in circumstances, facts and experience. Changes in estimates are recorded in the period in which they become known. Actual results could differ materially from those estimates.
Principles of Consolidation
The consolidated financial statements include the accounts of Rhythm Pharmaceuticals, Inc. and its wholly-owned subsidiaries. All significant intercompany balances and transactions have been eliminated in consolidation.
Segment Information
Operating segments are defined as components of an entity about which separate discrete information is available for evaluation by the chief operating decision maker, or decision-making group, in deciding how to allocate resources and in assessing performance. The Company currently operates in two business segments, which are U.S. and international segments for the development and commercialization of therapies for patients with rare diseases. A single management team that reports to the Chief Executive Officer comprehensively manages the entire business. The Company meets the aggregation criteria of ASC 280 and therefore has one reportable segment for the year ended December 31, 2025.
In November 2023, the FASB issued ASU 2023-07 – Segment Reporting (Topic 280) – Improvements to Reportable Segment Disclosures, which improves segment disclosure requirements, primarily through enhanced disclosure requirements for significant segment expenses. The improved disclosure requirements apply to all public entities that are required to report segment information, including those with only one reportable segment. The Company adopted the guidance in the fiscal year beginning January 1, 2024. There was no impact on the Company’s reportable segments identified and additional required disclosures have been included in Note 15.
Off-Balance Sheet Risk and Concentrations of Credit Risk
Financial instruments, which potentially subject the Company to significant concentration of credit risk, consist primarily of cash and cash equivalents and short-term investments, which are maintained at two federally insured financial institutions. The deposits held at these two institutions are in excess of federally insured limits. The Company has not experienced any losses in such accounts and management believes that the Company is not exposed to significant credit risk due to the financial position of the depository institutions in which those deposits are held. The Company has no off-balance sheet risk, such as foreign exchange contracts, option contracts, or other foreign hedging arrangements.
The Company is exposed to risks associated with extending credit to customers related to the sale of products. The Company does not require collateral to secure amounts due from its customers. For the years ended December 31, 2025 and 2024, approximately 69% and 74%, respectively, of all of the Company’s revenue was generated from a single customer in the United States. Additionally, a single international customer also generated approximately 10% of the Company's revenue during the year ended December 31, 2025. As of December 31, 2025 and 2024, approximately 56% and 67%, respectively, of the Company’s accounts receivable was outstanding from a single customer in the United States.
F-10

The Company relies on third-party manufacturers and suppliers for manufacturing and supply of its product. The inability of the suppliers or manufacturers to fulfill supply requirements of the Company could materially impact future operating results. A change in the relationship with the suppliers or manufacturer, or an adverse change in their business, could materially impact future operating results.
The Company relies on separate third parties to perform genetic testing in the United States and Europe, respectively. The inability of the vendor to fulfill testing services for the Company could materially impact future operating results and adversely impact our ability to further develop setmelanotide. A change in the relationship with the genetic testing service providers, or an adverse change in their business, could materially impact future operating results.
Cash and Cash Equivalents
The Company considers all highly liquid investments with remaining maturity from the date of purchase of three months or less to be cash equivalents. Cash and cash equivalents includes bank demand deposits, U.S. treasury bills and money market funds that invest primarily in U.S. government treasuries.
Short-Term Investments
Short-term investments consist of investments with maturities greater than 90 days, as of the date of purchase. The Company has classified its investments with maturities beyond one year as short term, based on their highly liquid nature and because such marketable securities represent the investment of cash that is available for current operations. The Company considers its investment portfolio available-for-sale. Accordingly, these investments are recorded at fair value, which is based on quoted market prices. Unrealized gains and losses are reported as a component of accumulated other comprehensive income (loss) in stockholders’ equity. To the extent the amortized cost basis of the available-for-sale debt securities exceeds the fair value, management assesses the debt securities for credit loss; however, management considers the risk of credit loss to be minimized by the Company's policy of investing in financial instruments issued by highly-rated financial institutions. When assessing the risk of credit loss, management considers factors such as the severity and the reason of the decline in value (i.e., any changes to the rating of the security by a rating agency or other adverse conditions specifically related to the security) and management's intended holding period and time horizon for selling. During the years ended December 31, 2025, 2024, and 2023, the Company did not recognize any credit losses related to its available-for-sale debt securities. Further, as of December 31, 2025 and 2024, the Company did not record an allowance for credit losses related to its available-for-sale debt securities.
Restricted Cash
Restricted cash consists of security deposits in the form of letters of credit placed in separate restricted bank accounts as required under the terms of the Company’s lease arrangement for its corporate office in Boston, Massachusetts and the Company’s corporate travel credit card.
Accounts Receivable, net
Accounts receivable consists of amounts due from customers, net of customer allowances for cash discounts and any estimated expected credit losses. The Company's measurement of expected credit losses is based on relevant information about past events, including historical experience, current conditions, and reasonable and supportable forecasts that affect the collectability of the reported amount. To date, the Company has not experienced any material credit losses. The Company's contracts with its customers have customary payment terms that generally require payment within 90 days. The Company analyzes amounts that are past due for collectability, and periodically evaluates the creditworthiness of its customer. At December 31, 2025 and 2024, the Company determined an allowance for doubtful account was not required based upon its review of contractual payments and its customer payment histories.
Revenue Recognition
The Company recognizes revenue in accordance with ASC Topic 606, Revenue from Contracts with Customers, or ASC 606. Under ASC 606, an entity recognizes revenue when its customer obtains control of promised goods or services in an amount that reflects the consideration which the entity expects to receive in exchange for those goods or services.
F-11

Product Revenue, Net
In the United States, which accounts for the largest portion of our total revenues, the Company sells its product through a specialty pharmacy. The product is distributed through third-party logistics, or 3PL, distribution agent that does not take title to the product. Once the product is delivered to the Company’s specialty pharmacy provider, our customer in the United States, the customer (or “wholesaler”) takes title to the product. The wholesaler then distributes the product to patients. In our distribution agreement with the 3PL company, the Company acts as principal because we retain control of the product. Internationally, we make sales primarily to specialty distributors and retail pharmacy chains, as well as hospitals, many of which are government-owned or supported. The Company offers returns of product sold to the customer on a limited basis, however, no material returns have been recognized to date.
Revenue from product sales is recognized when the customer obtains control of our product, which occurs at a point in time, upon transfer of title to the customer because at that point in time we have no ongoing obligations to the customer. There are no other performance obligations besides the sale of product. We classify payments to our customers or other parties in the distribution channel for services that are distinct and priced at fair value as selling, general and administrative expenses in our consolidated statements of operations and comprehensive loss. Otherwise, payments to a customer or other parties in the distribution channel that do not meet those criteria are classified as a reduction of revenue, as discussed further below. Taxes collected from the customer relating to product sales and remitted to governmental authorities are excluded from revenue. Because our payment terms are generally ninety days or less, the Company concluded there is not a significant financing component because the period between the transfer of a promised good or service to the customer and when the customer pays for that good or service will be one year or less. The Company expenses incremental costs of obtaining a contract as and when incurred since the expected amortization period of the asset that we would have recognized is one year or less.
Reserves for Variable Consideration
Revenues from product sales are recorded at the net sales price, or the transaction price, which includes estimates of variable consideration for which reserves are established and which result from discounts, rebates, and co-pay assistance that are offered within contracts between us and our customers, health care providers and other indirect customers relating to the sale of IMCIVREE. These reserves are based on the amounts earned or to be claimed on the related sales and are classified as reductions of accounts receivable (if the amount is payable to the customer) or a current liability (if the amount is payable to a party other than a customer). Where appropriate, these estimates take into consideration a range of possible outcomes that are probability-weighted for relevant factors such as our historical experience, current contractual and statutory requirements, specific known market events and trends, industry data and forecasted customer buying and payment patterns. Overall, these reserves reflect our best estimates of the amount of consideration to which we are entitled based on the terms of the contract. The amount of variable consideration that is included in the transaction price may be constrained and is included in the net sales price only to the extent that it is considered probable that a significant reversal in the amount of the cumulative revenue recognized will not occur in a future period. Actual amounts of consideration ultimately received may differ from our estimates. If actual results in the future vary from our estimates, we will adjust these estimates, which would affect net product revenue and earnings in the period such variances become known.
The following are the components of variable consideration related to product revenue:
Government rebates: The Company is subject to discount obligations under government programs, including U.S. Medicaid programs, Medicare and Tricare in the United States as well as certain government rebates and pricing adjustments in certain international markets that we operate. We estimate these rebates based upon a range of possible outcomes that take into consideration among other things, historical experience of claims submitted by the various states and jurisdictions, contractual rebate rates, estimated lag time of the rebate invoices and the estimated payer mix. These reserves are recorded in the same period the related revenue is recognized, resulting in a reduction of product revenue and the establishment of a liability that is included in accrued expenses and other current liabilities on our consolidated balance sheets. On a quarterly basis, we update our estimates and record any necessary adjustments in the period that we identify the adjustments.
Trade discounts and allowances: The Company provides customary invoice discounts on IMCIVREE sales to certain of our customers for items such as prompt payment. These are recorded as a reduction of revenue in the period the related product revenue is recognized. In addition, we receive and pay for various distribution services from our customers in the distribution channel. For services that are not distinct from the sale of our product, such fees are classified as a reduction of product revenue.
Product returns: Our customers have limited return rights related to the product’s damage or defect. The Company estimates the amount of product sales that may be returned and records the estimate as a reduction of revenue
F-12

and a refund liability in the period the related product revenue is recognized. Based on the distribution model for IMCIVREE, the Company believes there will be minimal returns and these reserves have not been material to date.
Other incentives: Other incentives include co-payment assistance the Company provides to patients with commercial insurance that have coverage and reside in states that allow co-payment assistance. The calculation of the accrual for co-pay assistance is based on an estimate of claims and the cost per claim that we expect to receive associated with product that has been recognized as revenue. The estimate is recorded as a reduction of revenue in the same period the related revenue is recognized.
Provisions for trade discounts, chargebacks and allowances are recorded as reductions to accounts receivable, and returns, government rebates, and other incentives are recorded as a component of accrued expenses.
The table below summarizes balances and activity in each of the product revenue allowance and reserve categories as follows (in thousands):
Provision for Cash DiscountsFees, Rebates and Other IncentivesTotal
Beginning Balance at December 31, 2023$199 $9,475 $9,674 
Provision related to sales in the current year2,317 27,315 29,632 
Credit and payments made(2,263)(20,940)(23,203)
Ending balance December 31, 2024$253 $15,850 $16,103 
Provision related to sales in the current year3,670 45,811 49,481 
Credit and payments made(3,620)(30,097)(33,717)
Ending balance December 31, 2025$303 $31,564 $31,867 
Provision for cash discounts are recorded as reductions of accounts receivable, and fees, rebates, and other incentives are recorded as components of accrued expenses.
License Agreements
We generate revenue from license or similar agreements with pharmaceutical companies for the development and commercialization of certain of our products and product candidates. Such agreements may include the transfer of intellectual property rights in the form of licenses, transfer of technological know-how, delivery of drug substances, research and development services, and participation on certain committees with the counterparty. Payments made by the customers may include non-refundable upfront fees, payments upon the exercise of customer options, payments based upon the achievement of defined milestones, and royalties on sales of products and product candidates if they are approved and commercialized.
If a license to our intellectual property is determined to be distinct from the other performance obligations identified in the arrangement, we recognize the transaction price allocated to the license as revenue upon transfer of control of the license. We evaluate all other promised goods or services in the agreement to determine if they are distinct. If they are not distinct, they are combined with other promised goods or services to create a bundle of promised goods or services that is distinct. Optional future services where any additional consideration paid to us reflects their standalone selling prices do not provide the customer with a material right and, therefore, are not considered performance obligations. If optional future services are priced in a manner which provides the customer with a significant or incremental discount, they are material rights, and are accounted for as separate performance obligations.
We utilize judgment to determine the transaction price. In connection therewith, we evaluate contingent milestones at contract inception to estimate the amount which is not probable of a material reversal to include in the transaction price using the most likely amount method. Milestone payments that are not within our control, such as regulatory approvals, are not considered probable of being achieved until those approvals are received and therefore the variable consideration is constrained. The transaction price is then allocated to each performance obligation on a relative stand-alone selling price basis, for which we recognize revenue as or when the performance obligations under the contract are satisfied. At the end of each reporting period, we re-evaluate the probability of achieving development milestone payments that may not be subject to a material reversal and, if necessary, adjust our estimate of the overall transaction price. Any such adjustments are recorded on a cumulative catch-up basis, which would affect license and other revenue, as well as earnings, in the period of adjustment.
F-13

We then determine whether the performance obligations or combined performance obligations are satisfied over time or at a point in time and, if over time, the appropriate method of measuring progress for purposes of recognizing revenue from non-refundable, upfront fees. We evaluate the measure of progress, as applicable, for each reporting period and, if necessary, adjust the measure of performance and related revenue recognition.
When consideration is received, or such consideration is unconditionally due, from a customer prior to transferring goods or services to the customer under the terms of a contract, a contract liability is recorded within deferred revenue. Contract liabilities within deferred revenue are recognized as revenue after control of the goods or services is transferred to the customer and all revenue recognition criteria have been met.
For arrangements that include sales-based royalties, including sales-based milestone payments, and a license of intellectual property that is deemed to be the predominant item to which the royalties relate, we recognize revenue at the later of when the related sales occur or when the performance obligation to which some or all of the royalties have been allocated has been satisfied (or partially satisfied). Refer to Note 10, Significant Agreements, for discussion related to the Company’s accounting for the RareStone Group, Ltd. agreement.
Deferred Royalty Obligation
We treat the debt obligation to HealthCare Royalty Management, LLC as discussed further in Note 11, “Long-Term Obligations”, as a deferred royalty obligation, amortized using the effective interest rate method over the estimated life of the revenue streams. We recognize interest expense thereon using the effective rate, which is based on our current estimates of future revenues over the life of the arrangement. In connection therewith, we periodically assess our expected revenues using internal projections, impute interest on the carrying value of the deferred royalty obligation, and record interest expense using the imputed effective interest rate. To the extent our estimates of future revenues are greater or less than previous estimates or the estimated timing of such payments is materially different than previous estimates, we will account for any such changes by adjusting the effective interest rate on a prospective basis, with a corresponding impact to the reclassification of our deferred royalty obligation. The assumptions used in determining the expected repayment term of the deferred royalty obligation and amortization period of the issuance costs requires that we make estimates that could impact the classification of such costs, as well as the period over which such costs will be amortized.
Inventory
Prior to receiving approval from the FDA in November 2020 to sell IMCIVREE in the United States, the Company expensed all costs incurred related to the manufacture of IMCIVREE as research and development expense because of the inherent risks associated with the development of a drug candidate, the uncertainty about the regulatory approval process and the lack of history for the Company of regulatory approval of drug candidates. The Company values inventories at the lower of cost or estimated net realizable value. The Company determines the cost of inventories, which includes amounts related to materials and manufacturing overhead, on a first-in, first-out basis. Raw materials and work in process includes all inventory costs prior to packaging and labelling, including raw materials, active pharmaceutical ingredient, and drug product. Finished goods include packaged and labelled products. Raw materials and work in process that may be used for either research and development or commercial sale are classified as inventory until the material is consumed or otherwise allocated for research and development. If the material is intended to be used for research and development, it is expensed as research and development once that determination is made.
Inventory consists of the following (in thousands):
December 31,
2025
December 31,
2024
Raw Materials$6,745 $6,776 
WIP1,631 1,250 
Finished Goods17,377 10,715 
Total Inventory$25,753 $18,741 
Cost of Product Sales
Cost of product sales consists of manufacturing costs, transportation and freight, amortization of capitalized intangibles, royalty payments and indirect overhead costs associated with the manufacturing and distribution of IMCIVREE. Cost of product sales may also include periodic costs related to certain manufacturing services and inventory
F-14

adjustment charges. Finally, cost of sales may also include costs related to excess or obsolete inventory adjustment charges, abnormal costs, unabsorbed manufacturing and overhead costs, and manufacturing variances.
Intangible Assets, net
Definite-lived intangible assets related to capitalized milestones under license agreements are amortized on a straight-line basis over their remaining useful lives, which are estimated to be the remaining patent life. If our estimate of the product’s useful life is shorter than the remaining patent life, then a shorter period is used. Amortization expense is recorded as a component in cost of sales in the consolidated statements of operations and comprehensive loss.
Impairment of Long-Lived Assets
The Company evaluates its long-lived assets, which consist primarily of property and equipment and finite lived intangible assets, for impairment whenever events or changes in circumstances indicate that the carrying amount of such assets may not be recoverable. Factors that the Company considers in deciding when to perform an impairment review include significant underperformance of the business in relation to expectations, significant negative industry or economic trends and significant changes or planned changes in the use of the assets. The Company measures recoverability of assets to be held and used by comparing the carrying amount of an asset to the future undiscounted net cash flows expected to be generated by the asset. If such assets are considered to be impaired, the Company measures the impairment to be recognized by the amount by which the carrying amount of the asset exceeds the fair value of the asset, less the cost to sell. No events or changes in circumstances existed to require an impairment assessment during the years ended December 31, 2025, 2024 and 2023.
Prepaid Expenses and Other Current Assets
Prepaid expenses and other current assets consist primarily of costs incurred in advance of services being received, including services related to clinical trial programs. Prepaid expenses and other current assets consists of the following (in thousands):
December 31,
20252024
Prepaid research and development costs$16,166 $7,580 
Other current assets9,967 8,802 
Prepaid expenses and other current assets$26,133 $16,382 
Other Long-Term Assets
Other long-term assets consist primarily of costs incurred in advance of services being received, including services related to clinical trial programs. Since the Company will not receive services within one year of the balance sheet date, these assets are considered long-term. Other long-term assets consists of the following (in thousands):
December 31,
20252024
Long-term research and development costs$1,660 $6,209 
Other long-term assets1,626 1,117 
Other long-term assets$3,286 $7,326 
F-15

Property and Equipment
Property and equipment consists of the following (in thousands):
Useful
Life
December 31,
20252024
Leasehold improvements*$2,733 $2,705 
Office equipment5 years154 154 
Computers and software3 years1,291 1,291 
Furniture, fixtures and equipment5 years1,249 1,249 
Construction in progress926  
Property and equipment, gross6,353 5,399 
Less accumulated depreciation and amortization(5,249)(4,767)
Property and equipment, net$1,104 $632 
*Shorter of asset life or lease term.
Depreciation and amortization expense related to property and equipment for the years ended December 31, 2025, 2024 and 2023 was $0.5 million, $0.7 million, and $0.9 million respectively.
Property and equipment are recorded at cost. Depreciation and amortization is calculated using the straight-line method over the estimated useful lives of the assets. Upon disposal, retirement or sale, the cost of assets disposed of and the related accumulated depreciation are removed from the accounts and any resulting gain or loss is included in the results of operations. Expenditures for repairs and maintenance that do not improve or extend the lives of the respective assets are charged to expense as incurred.
Acquired IPR&D and Milestone Expense
In an asset acquisition, payments incurred prior to regulatory approval to acquire rights to in-process research and development projects are expensed as acquired IPR&D and recorded as a component of research and development expense in the consolidated statements of operations and comprehensive net loss unless the project has an alternative future use. These costs include upfront and development milestone payments related to licensing arrangements, or other asset acquisitions that provide rights to develop, manufacture and/or sell pharmaceutical products. Where contingent development milestone payments are due to third parties, prior to regulatory approval, the payment obligations are expensed when the milestone results are achieved. Regulatory and commercial milestone payments made to third parties subsequent to regulatory approval are capitalized as intangible assets and amortized to cost of products sold over the remaining useful life of the related product.
Foreign Currency Translation
The assets and liabilities of the Company’s subsidiaries with functional currencies other than the U.S. dollar are translated into U.S. dollars at exchange rates in effect at the balance sheet date. Revenue and expense amounts for these subsidiaries are translated using the average exchange rates for the period. Changes resulting from foreign currency translation are included in accumulated other comprehensive income (loss) on the Company’s consolidated statement of stockholders’ equity. Net foreign currency exchange transaction gains (losses), which are included in other (expense) income, net on our consolidated statements of operations, were immaterial for the years ended December 31, 2025, 2024 and 2023.
Fair Value Measurements
Fair value is the price that would be received to sell an asset or paid to transfer a liability in an orderly transaction between market participants at the measurement date. Financial assets and liabilities carried at fair value are classified and disclosed in one of the following three categories:
Level 1 — Quoted market prices in active markets for identical assets or liabilities.
F-16

Level 2 — Observable inputs other than Level 1 prices, such as quoted prices for similar assets or liabilities; quoted prices in markets that are not active; or other inputs that are observable or can be corroborated by observable market data for substantially the full term of the assets or liabilities.
Level 3 — Unobservable inputs that are supported by little or no market activity and that are significant to the fair value of the assets or liabilities.
The Company’s cash equivalents and marketable securities and derivative liability at December 31, 2025 and 2024 were carried at fair value, determined according to the fair value hierarchy. See Note 5 for further discussion.
The carrying amounts reflected in the consolidated balance sheets for accounts payable and accrued expenses and other current liabilities approximate their fair values due to their short-term maturities at December 31, 2025 and 2024, respectively.
Research and Development Expenses
Costs incurred in the research and development of the Company’s products are expensed to operations as incurred. Research and development expenses consist of costs incurred in performing research and development activities, including salaries and benefits, facilities costs, overhead costs, contract services and other outside costs. The value of goods and services received from contract research organizations, or CROs, or contract manufacturing organizations, or CMOs, in the reporting period are estimated based on the level of services performed and progress in the period for which the Company has not yet received an invoice from the supplier. When evaluating the adequacy of the accrued liabilities, the Company analyzes progress of the studies or clinical trials, including the phase or completion of events, invoices received and contracted costs. Significant judgments and estimates are made in determining the accrued balances at the end of any reporting period. Actual results could differ from the Company’s estimates. The Company’s historical accrual estimates have not been materially different from the actual costs.
Nonrefundable advance payments for goods or services to be received in the future for use in research and development activities are recorded as prepaid expenses, and expensed as the related goods are delivered or the services are performed.
Income Taxes
The Company is taxed as a C corporation for federal income tax purposes. Income taxes for the Company are recorded in accordance with FASB ASC Topic 740, Income Taxes (“ASC 740”), which provides for deferred taxes using an asset and liability approach. Income taxes have been calculated on a separate tax return basis.
The Company accounts for income taxes under the asset and liability method, which requires the recognition of deferred tax assets and liabilities for the expected future tax consequences of events that have been included in the financial statements. Under this method, the Company determines deferred tax assets and liabilities on the basis of the differences between the financial statement and tax bases of assets and liabilities by using enacted tax rates in effect for the year in which the differences are expected to reverse. The effect of a change in tax rates on deferred tax assets and liabilities is recognized in income in the period that includes the enactment date. The Company recognizes deferred tax assets to the extent that it believes that these assets are more likely than not to be realized. In making such a determination, the Company considers all available positive and negative evidence, including future reversals of existing taxable temporary differences, projected future taxable income, tax-planning strategies, and results of recent operations. If the Company determines that it would be able to realize its deferred tax assets in the future in excess of their net recorded amount, it would make an adjustment to the deferred tax asset valuation allowance, which would reduce the provision for income taxes.
The Company records uncertain tax positions in accordance with ASC 740 on the basis of a two-step process in which (1) it determines whether it is more likely than not that the tax positions will be sustained on the basis of the technical merits of the position and (2) for those tax positions that meet the more-likely-than-not recognition threshold, the Company recognizes the largest amount of tax benefit that is more than 50% likely to be realized upon ultimate settlement with the related tax authority.
The Company recognizes interest and penalties related to unrecognized tax benefits as provision for income taxes in the accompanying consolidated statements of operations. As of December 31, 2025 and 2024, no accrued interest or penalties are included as a component of accrued expenses in the consolidated balance sheets.
F-17

Net Loss Per Share
Basic net loss per share is computed by dividing net loss available to common shareholders by the weighted-average number of common shares outstanding during the period, without consideration of potential dilutive securities. Diluted net loss per share is computed by adjusting the weighted-average shares outstanding for the potential dilutive effects of common stock equivalents outstanding during the period calculated in accordance with the more dilutive of the if-converted or treasury stock method. For purposes of the diluted net loss per share calculation, stock options, restricted stock units and performance stock units are considered to be common stock equivalents but have been excluded from the calculation of diluted net loss per share, as their effect would be anti-dilutive for all periods presented. Therefore, basic and diluted net loss per share were the same for all periods presented.
The following table includes the potential common shares, presented based on amounts outstanding at each period end, that were excluded from the computation of diluted net loss per share due to their anti-dilutive effect, under either the treasury stock or if-converted method for the periods indicated (in thousands):
Year Ended
December 31,
202520242023
Stock options6,466,1786,611,3916,551,025
Restricted stock units2,884,9351,805,4121,079,382
Performance stock units294,644249,322581,246
Common stock reserved for the conversion of Series A convertible preferred stock 2,760,4133,124,995
Potential common shares12,406,17011,791,1208,211,653
Comprehensive Loss
Comprehensive loss represents the net change in stockholders’ equity during a period from sources other than transactions with shareholders. As reflected in the accompanying consolidated statements of operations and comprehensive loss, our comprehensive loss is comprised of net losses, foreign currency translation adjustments and unrealized gains and losses on marketable debt securities. These changes in equity are reflected net of tax.
Patent Costs
Costs to secure and defend patents are expensed as incurred and are classified as general and administrative expenses. Patent costs were $2.0 million, $1.3 million and $0.6 million for the years ended December 31, 2025, 2024 and 2023, respectively.
Subsequent Events
The Company considers events or transactions that occur after the balance sheet date but prior to the issuance of the financial statements to provide additional evidence for certain estimates or to identify matters that require additional disclosure. Subsequent events have been evaluated as required. See Note 16.
Application of New or Revised Accounting Standards
From time to time, new accounting pronouncements are issued by the FASB and adopted by the Company as of the specified effective date. Unless otherwise discussed, the Company believes that the impact of recently issued standards that are not yet effective will not have a material impact on its financial position or results of operations upon adoption.
Recently adopted accounting pronouncements
In December 2024, the FASB issued ASU 2023-09, Income Taxes (Topic 740): Improvements to Income Tax Disclosures, or ASU 2023-09. The new guidance requires that an entity, on an annual basis, disclose additional income tax information, primarily related to the rate reconciliation and income taxes paid. The amendments in the ASU are intended to enhance the transparency and decision usefulness of income tax disclosures. The amendments in this update are effective for us beginning in fiscal year ending December 31, 2025. The Company has adopted this update on a prospective basis. The adoption of this guidance resulted in expanded disclosures in its consolidated financial statements.
F-18

In November 2023, the FASB issued ASU 2023-07 – Segment Reporting (Topic 280) – Improvements to Reportable Segment Disclosures, which improves segment disclosure requirements, primarily through enhanced disclosure requirements for significant segment expenses. The improved disclosure requirements apply to all public entities that are required to report segment information, including those with only one reportable segment. The Company adopted the guidance in the fiscal year beginning January 1, 2024. There was no impact on the Company’s reportable segments identified and additional required disclosures have been included in Note 15.
Recently issued accounting pronouncements, not yet adopted
In December 2025, the FASB issued ASU 2025-12 “Codification Improvements” to address suggestions received from stakeholders on the Accounting Standards Codification and to make other incremental improvements to U.S. GAAP. The update represents changes to the Codification that clarify, correct errors, or make minor improvements. The amendments make the Codification easier to understand and apply. The guidance is effective for fiscal years beginning after December 15, 2026, including interim periods within those fiscal years. The Company is in the process of evaluating this guidance to determine the impact it may have on its consolidated financial statements.

In December 2025, the FASB issued ASU 2025-11, “Interim Reporting (Topic 270) Narrow-Scope Improvements.” The amendments in this update provide clarity on interim disclosure requirements and the applicability of Topic 270. The amendments in this update also include a disclosure principle that requires entities to disclose events since the end of the last annual reporting period that have a material impact on the entity. The amendments in this ASU are required to be adopted for interim periods within annual reporting periods beginning after December 15, 2027. Early adoption is permitted. The Company is in the process of evaluating this guidance to determine the impact it may have on its consolidated financial statements.

In November 2024, the FASB issued ASU 2024-03 “Income Statement: Reporting Comprehensive Income—Expense Disaggregation Disclosures,” which requires more detailed information about specified categories of expenses (purchases of inventory, employee compensation, depreciation, amortization, and depletion) included in certain expense captions presented on the face of the income statement, as well as disclosures about selling expenses. ASU 2024-03 is effective for fiscal years beginning after December 15, 2026 and for interim periods within fiscal years beginning after December 15, 2027. Early adoption is permitted. The amendments may be applied either prospectively to financial statements issued for reporting periods after the effective date of this ASU or retrospectively to all prior periods presented in the financial statements. The Company is in the process of evaluating this guidance to determine the impact it may have on its consolidated financial statements disclosures.


3. Asset Acquisitions
LG Chem, Ltd.
On January 4, 2024, the Company entered into a license agreement and share issuance agreement with LG Chem, Ltd. (“LGC”). Under the terms of the license agreement, the Company obtained worldwide rights to LGC’s proprietary compound bivamelagon.
The total purchase consideration of $92.4 million was composed of $40.0 million of cash paid at closing and issued shares of the Company’s common stock with an aggregate value of $20.0 million. The shares were issued at a per share price equal to the ten-day volume weighted average closing price for our common stock, calculated as of the trading day immediately prior to January 4, 2024. As of January 4, 2024, the fair value of common stock issued was $18.7 million. The total purchase consideration also included an additional $40.0 million license fee payable in 18 months, which had a present value at closing of $33.7 million, which was accreted to its full value through interest expense, and $0.8 million of transaction costs which are recorded as selling, general and administrative expenses. On July 1, 2025, the Company made this additional payment of $40.0 million to LGC.
In addition, under the terms of the license agreement, we agreed to pay LGC up to $205 million in cash upon achieving various regulatory and sales milestones based on net sales of bivamelagon. In addition and subject to the completion of Phase 2 development of bivamelagon, the Company has agreed to pay LGC royalties of between low-to-mid single digit percent of net revenues from its MC4R portfolio, including bivamelagon, commencing in 2029 and dependent upon achievement of various regulatory and indication approvals, and subject to customary deductions and anti-stacking. Royalties may further increase to a low double digit percent royalty, though such royalty would only be applicable on net sales of bivamelagon in a region if bivamelagon is covered by a composition of matter or method of use patent controlled
F-19

by LGC in such region and the Company’s MC4R portfolio is not covered by any composition of matter or method of use patents controlled by the Company in such region. Such increased rate would only apply on net sales of bivamelagon for the limited remainder of the royalty term in the relevant region.
The assets acquired were In-Process Research and Development (“IPR&D”) assets. However, since the IPR&D assets were determined to have no alternative future use, the Company recognized the $92.4 million of purchase consideration as research and development expense in the year ended December 31, 2024.
The Company determined that the additional contingent consideration did not meet the definition of a derivative as of the acquisition date. Therefore, the Company did not record a contingent consideration liability on the acquisition date. The Company will recognize any future contingent consideration payments related to the LGC transaction in the period in which the achievement of the underlying milestones becomes probable.
Xinvento B.V.
On February 27, 2023, the Company, through its wholly-owned Dutch subsidiary, Rhythm Pharmaceuticals Netherlands B.V., a Dutch private limited liability company (“Rhythm BV”), entered into a Share Purchase Agreement (the “Purchase Agreement”) with Xinvento B.V., a Dutch private limited liability company based in the Netherlands (“Xinvento”), and the other parties named therein, pursuant to which, and concurrently with the execution thereof, Rhythm BV acquired all of the issued and outstanding shares of Xinvento. The aggregate consideration at closing was approximately $5.7 million, inclusive of transaction costs, as adjusted pursuant to the terms of the Purchase Agreement and subject to the distribution and payment terms set forth therein (the “Closing Purchase Price”).
In addition to the Closing Purchase Price, the Purchase Agreement provides for the payment of additional contingent consideration totaling up to $206 million upon achievement of certain development, regulatory and commercial milestones by Xinvento, as follows: (i) up to an aggregate of $6 million in clinical development milestones; (ii) up to an aggregate of $125 million in regulatory approval and commercial milestones; and (iii) up to an aggregate of $75 million in sales milestones in the event a second molecule is selected, developed and approved.
The total purchase consideration of $5.7 million was composed of $4.5 million of cash paid at closing, a $0.5 million holdback, payable on the one-year anniversary of the acquisition, and $0.6 million of acquisition-related costs. The $0.5 million holdback was paid in the quarter ended March 31, 2024, and is reflected in investing activities in the consolidated statement of cash flow for the year ended December 31, 2024. The Company determined that substantially all of the value as of acquisition date related to Xinvento’s In-Process Research and Development. As a result, the Company determined this transaction should be accounted for as an asset acquisition.
The assets acquired were In-Process Research and Development (IPR&D) assets. However, since the IPR&D assets were determined to have no alternative future use, the Company recognized the $5.7 million of purchase consideration as research and development expense in the year ended December 31, 2023.
The Company determined that the additional contingent consideration did not meet the definition of a derivative as of the acquisition date. Therefore, the Company did not record a contingent consideration liability on the acquisition date. The Company will recognize any future contingent consideration payments related to the Xinvento transaction in the period in which the achievement of the underlying milestones becomes probable.
Xinvento's results of operations are included in the consolidated financial statements from the date of acquisition. For the years ended December 31, 2025 and 2024, the net loss associated with the operations of Xinvento was de minimis in the Company’s consolidated statements of operations.
F-20

4. Accrued Expenses
Accrued expenses consists of the following (in thousands):
December 31, 2025December 31, 2024
Research and development costs$17,084 $17,871 
Professional fees5,827 4,280 
Payroll related22,433 18,216 
Royalties2,870 2,091 
Sales allowances31,564 15,850 
Other4,078 4,350 
Accrued expenses and other current liabilities$83,855 $62,658 
5. Fair Value of Financial Assets and Liabilities
The following tables present information about the Company's financial assets and liabilities measured at fair value on a recurring basis and indicate the level of the fair value hierarchy utilized to determine such fair values (in thousands):
Fair Value Measurements as of
December 31, 2025 using:
Level 1Level 2Level 3Total
Assets:
Cash equivalents:
Money market funds$33,949 $ $ $33,949 
Marketable securities:
US treasury securities71,877   71,877 
Corporate debt securities and commercial paper 262,771  262,771 
Derivative asset
  1,180 1,180 
Total$105,826 $262,771 $1,180 $369,777 
Fair Value Measurements as of
December 31, 2024 using:
Level 1Level 2Level 3Total
Assets:
Cash equivalents:
Commercial Paper$ $2,984 $ $2,984 
Money market funds71,334   71,334 
Marketable securities:— 
US treasury securities65,118   65,118 
Corporate debt securities and commercial paper 166,310  166,310 
Derivative asset  270 270 
Total$136,452 $169,294 $270 $306,016 
As of December 31, 2025 and 2024 the carrying amount of cash and cash equivalents and short-term investments was $388.9 million and $320.6 million, respectively, which approximates fair value. Cash and cash equivalents and short-term investments includes investments in U.S. treasury securities and money market funds that invest in U.S. government securities that are valued using quoted market prices. Accordingly, money market funds and government funds are categorized as Level 1. The financial assets valued based on Level 2 inputs consist of corporate debt securities and commercial paper, which consist of investments in highly-rated investment-grade corporations.
F-21

The embedded derivative asset associated with our deferred royalty obligation, as discussed further in Note 11, Long-Term Obligations, is measured at fair value using an option pricing Monte Carlo simulation model and is included as a component of the deferred royalty obligation. The embedded derivative (asset) or liability is subject to remeasurement at the end of each reporting period, with changes in fair value recognized as a component of other (expense) income, net. The assumptions used in the option pricing Monte Carlo simulation model include: (1) our estimates of the probability and timing of related events; (2) the probability-weighted net sales of IMCIVREE, including worldwide net product sales, upfront payments, milestones and royalties; (3) our risk-adjusted discount rate that includes a company specific risk premium; (4) our cost of debt; (5) volatility; and (6) the probability of a change in control occurring during the term of the instrument.
The forward contract associated with our Series A Convertible Preferred Stock, as discussed further in Note 9, “Series A Preferred Stock”, is measured at fair value. In order to value the forward contract, a binomial lattice model was used to determine the fair value of the Series A Preferred Stock. The fair value of the forward contract was measured as the difference between the consideration payable of $150.0 million and the fair value of the Series A Preferred Stock. The fair value of the forward contract was determined to be $0 at initial issuance and the change in the fair value from initial issuance to settlement of $8.9 million was recognized as other income in the consolidated statements of operation for the year ended December 31, 2024. The significant assumptions used in the binomial lattice model include: (1) the Company’s common stock price on the issuance and settlement dates; (2) the Conversion Price as of $48.00 as per the Agreement; (3) a 20-year term to maturity; (4) risk free rates (4.6% - 5%); and (5) volatility (68% and 67%).
The following tables set forth a summary of the changes in the estimated fair value of our embedded derivative liability (asset) (in thousands):
Year ended
December 31,
20252024
Beginning aggregate estimated fair value of Level 3 liability (asset)$(270)$1,150 
Change in fair value of embedded derivative(910)(1,420)
Fair value of forward contract - Series A Convertible Preferred Stock 8,900 
Settlement of forward contract  (8,900)
Ending aggregate estimated fair value of Level 3 liability (asset)$(1,180)$(270)
The estimated fair value of the derivative (asset) or liability related to our Royalty Interest Financing Agreement (RIFA) with HealthCare Royalty was determined using Level 3 inputs. The fair value measurement of the derivative (asset) or liability is sensitive to changes in the unobservable inputs used to value the financial instrument. Changes in the inputs could result in changes to the fair value of each financial instrument.
Marketable Securities
The following tables summarize the Company's marketable securities (in thousands):
December 31, 2025
Amortized
Cost
Gross
Unrealized
Gains
Gross
Unrealized
Losses
Fair
Value
Assets
Corporate debt securities and commercial paper (due within 1 year)$262,412 $370 $(11)$262,771 
U.S. Treasury Securities71,634 243  71,877 
$334,046 $613 $(11)$334,648 
F-22

December 31, 2024
Amortized
Cost
Gross
Unrealized
Gains
Gross
Unrealized
Losses
Fair
Value
Assets
Corporate debt securities and commercial paper (due within 1 year)$166,255 $147 $(92)$166,310 
U.S. Treasury Securities65,074 79 (35)65,118 
$231,329 $226 $(127)$231,428 
6. Intangible Assets, net
As of December 31, 2025As of December 31, 2024
Estimated life (years)CostAccumulated
Amortization
NetCostAccumulated
Amortization
Net
(In thousands)
Capitalized Milestones11$9,000 $(3,681)$5,319 $9,000 $(2,826)$6,174 
As of December 31, 2025, the Company’s finite-lived intangible assets, which totaled $5.3 million, resulted from the capitalization of certain milestone payments made to Ipsen Pharma, S.A.S., or Ipsen, in accordance with the terms of the Company’s license agreement with Ipsen, in connection with the Company’s first commercial sale of IMCIVREE in the U.S. in March 2021 and in France in March 2022.
As of December 31, 2025, amortization expense for the next five years and beyond is summarized as follows (in thousands):
2026$855 
2027855 
2028855 
2029855 
2030855 
Thereafter1,044 
Total$5,319 
The Company began amortizing its finite-lived intangible assets in April 2021 over an 11 year period based on IMCIVREE’s expected patent exclusivity period. Amortization expense totaled $0.9 million, $0.9 million and $0.9 million for the years ended December 31, 2025, 2024 and 2023, respectively. Amortization expense is recorded as a component of cost of sales on the consolidated statements of operations and comprehensive loss.
7. Common Stock
Common Stock
On December 4, 2025, one of the Company's Series A Convertible Preferred Stock holders exercised their conversion right and converted 17,500 Convertible Preferred A Stock into 364,582 shares of common stock. Refer to Note 9, Series A Convertible Preferred Stock, for further information.
On July 9, 2025, the Company entered into an underwriting agreement (the “Underwriting Agreement”) with Morgan Stanley & Co. LLC and BofA Securities, Inc., as the representatives of the several underwriters named in the Underwriting Agreement (collectively, the “Underwriters”), in connection with a follow-on offering, issuance and sale by the Company of 2,058,824 shares of the Company’s common stock. The offering price of the shares of common stock to the public was $85.00 per share. In addition, under the terms of the Underwriting Agreement, the Company granted the Underwriters a 30-day option to purchase up to 308,823 additional shares of Common Stock, at the public offering price per share, less underwriting discounts and commissions. On July 10, 2025, the Underwriters exercised the option in full. The closing of the sale of the shares pursuant to the offering, including the shares sold pursuant to the exercise in full of the option, took place on July 11, 2025, resulting in net proceeds of approximately $188.7 million, net of $12.6 million of
F-23

underwriting discounts and commissions, and other offering expenses incurred by the Company, for a total share issuance of 2,367,647.
On February 29, 2024, the Company and Cowen entered into Amendment No. 1 to Sales Agreement (the “Amendment”) to increase the aggregate offering price of the shares of common stock that may be issued and sold pursuant to the Sales Agreement to $200.0 million (excluding the aggregate offering price of shares of common stock issued and sold pursuant to the Sales Agreement prior to February 29, 2024). In connection with the Amendment, on February 29, 2024, the Company filed with the Securities Exchange Commission a prospectus supplement, dated February 29, 2024, which, combined with the Base Prospectus (together, the “New Prospectus”), amended the Prior Prospectus in its entirety. The issuances and sales under the Sales Agreement, as amended by the Amendment, will be made pursuant to the Registration Statement and the New Prospectus. In the quarter ended December 31, 2024 the Company sold 744,595 shares of common stock in the ATM program for net proceeds of $41.2 million. The Company also sold an additional 587,510 shares of common stock in the ATM program through January 21, 2025 for net proceeds of approximately $32.1 million.

On September 19, 2022, the Company completed a public offering of 4,800,000 shares of common stock at a price to the public of $26.00 per share. The Company received $116,887 in net proceeds after deducting underwriting discounts, commissions and offering expenses. In addition, the Company granted the underwriters a 30-day option to purchase up to an additional 720,000 shares of its common stock at the price to the public, less underwriting discounts and commissions. On October 18, 2022, the Company completed the sale of an additional 580,000 shares of common stock at a price to the public of 26.00 per share pursuant to the partial exercise of the underwriters’ option to purchase additional shares, for aggregate net proceeds of approximately $14.2 million, after deducting underwriting discounts, commissions and offering expenses.
On November 2, 2021, the Company entered into a Sales Agreement with Cowen and Company, LLC (“Cowen”), pursuant to which the Company may issue and sell shares of its common stock, having an aggregate offering price of up to $100.0 million, from time to time through an “at the market” equity offering program under which Cowen acts as sales agent (the “ATM Program”). Between August 10, 2023 and August 21, 2023, the Company sold approximately two million shares of its common stock in the ATM Program for net proceeds of approximately $48.9 million.
8. Stock-based Compensation
2017 Equity Incentive Plan
The Rhythm Pharmaceuticals, Inc. 2017 Equity Incentive Plan (the “2017 Plan”) provides for the grant of incentive stock options, non-qualified stock options, stock appreciation rights, performance units, restricted stock awards, restricted stock units and stock grants to employees, consultants, advisors and directors of us or our affiliates, as determined by the board of directors. The number of shares authorized under the 2017 Plan increases on the first day of each calendar year, commencing on January 1, 2018 and ending on (and including) January 1, 2027, by an amount equal to 4% of the outstanding shares of stock outstanding as of the end of the immediately preceding fiscal year. On January 1, 2026, 2025, 2024 and 2023, 2,688,212, 2,495,626, 2,377,062, and 2,264,497 shares, respectively, were added to the 2017 Plan. Notwithstanding the foregoing, the board of directors may act prior to January 1 for a given year to provide that there will be no such January 1 increase in the number of shares authorized under the 2017 Plan for such year, or that the increase in the number of shares authorized under the 2017 Plan for such year will be a lesser number than would otherwise occur pursuant to the preceding sentence.
Shares of common stock issued upon the exercise of stock options are generally issued from new shares of the Company. The 2017 Plan provides that the exercise price of incentive stock options cannot be less than 100% of the fair market value of the common stock on the date of the award for participants who own less than 10% of the total combined voting power of stock of the Company, and not less than 110% for participants who own more than 10% of the Company's voting power. Awards granted under the 2017 Plan will vest over periods as determined by the Company's board of directors. For options granted to date, the exercise price equaled the fair value of the common stock as determined by the board of directors on the date of grant.
As of December 31, 2025, an aggregate of 13,717,040 shares of common stock were authorized for issuance under the 2017 Plan, of which a total of approximately 4,636,850 shares of common stock remained available for future awards. In addition, a total of 9,080,190 shares of common stock reserved for issuance were subject to currently outstanding stock options, performance share units and restricted stock units granted under the Plan.
F-24

2022 Inducement Plan
On February 9, 2022, the Company’s board of directors adopted the Rhythm Pharmaceuticals, Inc. 2022 Employment Inducement Plan (the “2022 Inducement Plan”), which became effective on such date without stockholder approval pursuant to Rule 5635(c)(4) of the Nasdaq Stock Market LLC listing rules (“Rule 5635(c)(4)”). The 2022 Inducement Plan provides for the grant of non-qualified stock options, stock appreciation rights, performance units, restricted stock awards, restricted stock units and stock grants. In accordance with Rule 5635(c)(4), awards under the 2022 Inducement Plan may only be made to a newly hired employee who has not previously been a member of the Company’s board of directors, or an employee who is being rehired following a bona fide period of non-employment by the Company or a subsidiary, as a material inducement to the employee’s entering into employment with the Company or its subsidiary. An aggregate of 1,000,000 shares of the Company’s common stock have been reserved for issuance under the 2022 Inducement Plan.
The exercise price of stock options granted under the 2022 Inducement Plan will not be less than the fair market value of a share of the Company’s common stock on the grant date. Other terms of awards, including vesting requirements, are determined by the Company’s board of directors and are subject to the provisions of the 2022 Inducement Plan. Stock options granted to employees generally vest over a four-year period but may be granted with different vesting terms. Certain options may provide for accelerated vesting in the event of a change in control. Stock options granted under the 2022 Inducement Plan expire no more than 10 years from the date of grant. As of December 31, 2025, there were 371,148 stock option awards outstanding, 194,419 restricted stock unit awards outstanding and 59,067 shares of common stock available for future grant under the 2022 Inducement Plan.
2017 Employee Stock Purchase Plan
The Company maintains the Rhythm Pharmaceuticals, Inc. 2017 Employee Stock Purchase Plan, (the “2017 ESPP”), which became effective in connection with the completion of the Company’s IPO in October 2017. As of December 31, 2025, a total of 1,240,958 shares of common stock were reserved for issuance under the 2017 ESPP. In addition, the number of shares authorized under the 2017 ESPP increases on the first day of each calendar year, commencing on January 1, 2019 and ending on (and including) January 1, 2027, by an amount equal to the lesser of 1% of outstanding shares as of the end of the immediately preceding fiscal year. On January 1, 2025, 2024 and 2023, no shares were added to the 2017 ESPP. Notwithstanding the foregoing, the board of directors may act prior to January 1 of a given year to provide that there will be no such January 1 increase in the number of shares authorized under the 2017 ESPP for such year, or that the increase in the number of shares authorized under the 2017 ESPP for such year will be a lesser number than would otherwise occur pursuant to the preceding sentence. During the years ended December 31, 2025, 2024 and 2023, shares of 37,514, 44,554, and 49,819 were issued under the 2017 ESPP.
The purchase price of common stock under our ESPP is equal to 85.0% of the lower of (i) the market value per share of the common stock on the first business day of an offering period or (ii) the market value per share of the common stock on the purchase date. The fair value of the discounted purchases made under our ESPP is calculated using the Black-Scholes model. The fair value of the look-back provision plus the 15.0% discount is recognized as compensation expense over the 6 months purchase period.
Stock Options
The Company estimates the fair value of stock option awards to employees and non-employees using the Black-Scholes option-pricing model, which requires the input of subjective assumptions, including (a) the expected volatility of the underlying common stock, (b) the expected term of the award, (c) the risk-free interest rate, and (d) expected dividends. The Company bases its estimate of expected volatility using a blend of its stock price history for the length of time it has market data for its stock and using the historical volatility of a group of companies in the pharmaceutical and biotechnology industries in a similar stage of development as the Company that are publicly traded. For these analyses, the Company selected companies with comparable characteristics to its own including enterprise value, risk profiles and with historical share price information sufficient to meet the expected life of the stock-based awards. The Company computes the historical volatility data using the daily closing prices for the selected companies' shares during the equivalent period of the calculated expected term of its stock-based awards. The Company will continue to apply this process until a sufficient amount of historical information regarding the volatility of its own stock price becomes available.
The Company estimated the expected life of its employee stock options using the “simplified” method, whereby, the expected life equals the average of the vesting term and the original contractual term of the option. The risk-free interest rates for periods within the expected life of the option are based on the U.S. Treasury yield curve in effect during the period the options were granted. We have elected to account for forfeitures as they occur.
F-25

The grant date fair value of awards subject to service-based vesting is recognized ratably over the requisite service period, which is generally the vesting period of the respective awards. The Company's stock option awards typically vest over a service period that ranges from one to four years and includes awards with one year cliff vesting followed by ratable monthly and quarterly vesting thereafter and ratable monthly and quarterly vesting beginning on the grant date.
During the years ended December 31, 2025, 2024 and 2023, the Company granted 740,919, 926,543, and 842,528 stock option awards pursuant to the 2017 Plan to certain directors, employees and non-employees, respectively. Using the Black-Scholes option pricing model, the weighted-average grant date fair value relating to outstanding stock options granted under the 2017 Plan during the years ended December 31, 2025, 2024, and 2023 was $57.70, $32.69, and $17.72, respectively.
During the years ended December 31, 2025, 2024 and 2023, the Company granted 0, 57,100, and 229,360 stock option awards pursuant to the 2022 Inducement Plan. Using the Black-Scholes option pricing model, the weighted-average grant date fair value relating to outstanding stock options granted under the Company’s stock option plan during the years ended December 31, 2024 and 2023 were $29.16 and $15.30, respectively.
The fair value of stock options granted to employees and directors was estimated at the date of grant using the Black-Scholes option pricing model with the following weighted-average assumptions:
Year ended
December 31,
202520242023
Risk‑free interest rate4.32 %4.29 %2.35 %
Expected term (in years)6.256.136.11
Expected volatility71.67 %74.59 %76.11 %
Expected dividend yield   
A summary of the Company's stock option activity for the year ended December 31, 2025 is as follows:
Number of
Options
Weighted-
Average
Exercise
Price
Weighted‑
Average
Remaining
Contractual
Term
Aggregate
Intrinsic
Value
Outstanding as of December 31, 20246,611,391$23.29 6.66$216,413 
Granted740,919$57.70 $— 
Exercised(843,525)$16.13 $52,980 
Cancelled(42,607)$26.03 $— 
Outstanding as of December 31, 20256,466,178$28.15 6.12$510,138 
Options exercisable at December 31, 20254,940,330$23.09 5.48$414,757 
Restricted Stock Units
The Company may grant restricted stock units (“RSUs”) to employees and nonemployee directors under the 2017 Plan and to employees under the 2022 Inducement Plan. Each RSU represents a right to receive one share of the Company's common stock upon the completion of a specific period of continued service. RSU awards granted are valued at the market price of the Company's common stock on the date of grant. The Company recognizes stock-based compensation expense for the fair values of these RSUs on a straight-line basis over the requisite service period of these awards.
F-26

A summary of the Company's restricted stock unit activity for the year ended December 31, 2025 is as follows:
Number of
RSUs
Weighted-
Average
Grant Date
Fair Value
Unvested as of December 31, 20241,826,709$36.40 
Granted1,771,56465.24 
Vested(635,186)33.36 
Cancelled(78,152)47.84 
Unvested as of December 31, 20252,884,935$54.42 
As of December 31, 2025, the aggregate intrinsic value of unvested RSUs was $308.8 million.
Performance Stock Units
In November 2021, the Company granted a maximum of 956,145 performance stock units (“PSUs”) to employees under the 2017 Plan. Each PSU represents a right to receive one share of the Company's common stock upon vesting. The performance-based stock units granted in 2021 vested on December 31, 2024 based upon i) continued service through the vesting date and (ii) the achievement of specific clinical development and regulatory performance events, as approved by the compensation committee. PSU awards are valued at the market price of the Company's common stock on the date of grant. The Company recognizes stock-based compensation expense for the fair value of these PSUs for the awards that are probable of vesting over the service period. During each financial period, management estimates the probable number of PSU’s that would vest until the ultimate achievement of the performance goal is known. In the year ended December 31, 2024, 581,346 of the PSUs granted in 2021 vested.
In April 2024, the Company approved a maximum of 340,000 PSUs to employees under the 2017 Plan. Each PSU represents a right to receive one share of the Company's common stock upon vesting. The performance-based stock units approved in 2024 will vest based the achievement of the following milestones i) continued service through the the date on which the Compensation Committee determines that the performance metrics have been achieved, ii) the achievement of annual net product revenue amounts, and iii) the achievement of specific clinical development and regulatory performance events, as approved by the compensation committee. The Company recognizes stock-based compensation expense for the fair value of these PSUs for the awards that are probable of vesting over the service period. The Company granted 45,322 PSU’s during the year ended December 31, 2025. During each financial period, management estimates the probable number of PSU’s that would vest until the ultimate achievement of the performance goal is known. As of December 31, 2025 none of these PSU’s have vested.
A summary of the Company's performance stock unit activity for the year ended December 31, 2025 is as follows:
Number of
PSUs
Weighted-
Average
Grant Date
Fair Value
Unvested as of December 31, 2024249,322$13.24 
Granted45,32256.60 
Vested 
Cancelled 
Unvested as of December 31, 2025294,644$41.11 
F-27

The following table summarizes the classification of the Company's stock-based compensation expenses related to stock options, restricted stock units, performance stock units and the employee stock purchase plan recognized in the Company's consolidated statements of operations and comprehensive loss (in thousands).
Year Ended
December 31,
202520242023
Research and development$19,802 $10,514 $8,449 
Selling, general, and administrative47,016 29,168 24,104 
Total$66,818 $39,682 $32,553 
Stock-based compensation expense by award type recognized during the years ended December 31, 2025, 2024 and 2023 was as follows (in thousands):
Year Ended
December 31,
202520242023
Stock options$22,225 $21,788 $17,671 
Employees stock purchase plan685 538 581 
Restricted stock units39,256 16,886 5,998 
Performance stock units4,652 470 8,303 
Total$66,818 $39,682 $32,553 
As of December 31, 2025, the Company has unrecognized compensation cost of $42.6 million related to non-vested employee, non-employee and director stock option awards under all equity plans that are expected to be recognized over a weighted-average period of 2.09 years. The Company has unrecognized compensation cost of $126.1 million related to non-vested employee restricted stock unit and performance stock unit awards under all equity plans that are expected to be recognized over a weighted-average period of 2.45 years.
9. Series A Convertible Preferred Stock
On April 1, 2024, the Company entered into the Investment Agreement with certain affiliates of Perceptive Advisors LLC (“Perceptive”) and certain other investors (each, an “Investor” and collectively, the “Investors”), relating to the issuance and sale of 150,000 shares of a new series of the Company’s Series A Convertible Preferred Stock, par value $0.001 per share, titled the “Series A Convertible Preferred Stock” (the “Convertible Preferred Stock”), for an aggregate purchase price of $147.8 million, net of $2.3 million of issuance costs, or $1,000 per share (the “Issuance”). The Issuance closed on April 15, 2024.
The Company determined the obligation to issue 150,000 shares of Convertible Preferred Stock to Perceptive and Investors in the future at a set price represented a forward contract which was required to be accounted for at fair value. The fair value of the forward contract was measured as the difference between the fair value of the Convertible Preferred Stock, as determined using a binomial lattice valuation model, and the consideration payable to the Company. The assumptions used in the binomial lattice model include: (1) the Company’s common stock price on the issuance and settlement dates; (2) the Conversion Price as of $48.00 as per the Agreement; (3) a 20-year term to maturity; (4) risk-free rates; and (5) volatility. The fair value of the forward contract upon issuance was determined to be $0. Upon closing, the value of the forward contract was determined to be $8.9 million and the fair value of the Convertible Preferred Stock was determined to be $141.1 million. The Convertible Preferred Stock was recorded at its fair value on the Issuance and the change in fair value of the forward contract was recorded as other income in its consolidated statement of operations for the year ended December 31, 2024. Issuance costs of $2.3 million were incurred and recorded as a reduction in the carrying value of the Convertible Preferred Stock in the year ended December 31, 2024.
The Company classifies its Convertible Preferred Stock outside of stockholders’ equity as the redemption of such shares is outside the Company’s control. The Company did not adjust the carrying values of the Convertible Preferred Stock to redemption value as the shares are not probable of becoming redeemable as of December 31, 2025.
F-28

On December 4, 2025, and in accordance with the terms described below, a holder of the Company's Series A Convertible Preferred Stock exercised their right to convert 17,500 shares of Series A Convertible Preferred Stock to common shares. Each of the 17,500 shares of Series A Convertible Preferred Stock converted to 20.8333 shares of common stock, resulting in a total of 364,582 shares of common stock. The Company reclassified the carrying value of the converted shares of $17.2 million from Series A convertible Preferred Stock to common stock and additional paid in capital, for this non-cash financing event.
The Company accrued dividends of $5.4 million for the year ended December 31, 2025, as a reduction to additional paid-in capital and an increase to the carrying value of Series A Convertible Preferred Stock. After conversion of the 17,500 shares of Series A Convertible Preferred Stock, and the accretion of preferred stock dividends, the carrying value of Series A Convertible Preferred Stock as of December 31, 2025 was $131.0 million.
The Convertible Preferred Stock has the following rights and privileges:
Liquidation:
The Series A Preferred Stock will rank senior to the Company’s common stock with respect to the distribution of assets upon the Company’s liquidation, dissolution or winding up.
Upon any liquidation, dissolution or winding-up of the Company, whether voluntary or involuntary (“Liquidation”), each holder of Convertible Preferred Stock shall be entitled to receive payment for the greater of (i) 1.75 multiplied by the sum of the Liquidation Preference (i.e., Initial Liquidation Preference of $1,000 per share plus Paid-in-Kind (“PIK”) Dividends) plus unpaid Regular Dividends (to the extent such accumulated and unpaid Regular Dividends are not included in such Liquidation Preference) or (ii) the amount such holder would have received if the Convertible Preferred Stock were fully converted to common stock. If the assets available for distribution are not sufficient to pay the holders of the Convertible Preferred Stock pursuant to the preceding sentence, the assets will be distributed ratably to the holders of the Convertible Preferred Stock.
Voting:
Holders of the Convertible Preferred Stock have the right to vote with the holders of common stock on each matter submitted for a vote on an as-converted basis, subject to the terms of the Convertible Preferred Stock as specified in the Amended and Restated Certificate of Designations.
The holders of the Convertible Preferred Stock shall also have certain protective voting rights. Specifically, as long as the Convertible Preferred Stock are outstanding, each of the following events require at least a two thirds affirmative vote of the Convertible Preferred Stock holders: (a) any amendment or modification of the Certificate of Incorporation to authorize or create, or to increase the authorized number of shares of, any class or series of Dividend Parity Stock, Liquidation Parity Stock, Dividend Senior Stock or Liquidation Senior Stock, (b) any amendment, modification, repeal or waiver of any provision of the Certificate of Incorporation or the Amended and Restated Certificate of Designations that adversely affects the rights, preferences, privileges or powers of the Convertible Preferred Stock, (c) increase or decrease the number of authorized shares of Convertible Preferred Stock or issue additional shares of Convertible Preferred Stock, (d) the Company’s consolidation or combination with, or merger with or into, another Person, or any binding or statutory share exchange or involving the Convertible Preferred Stock, in each case unless: (i) the Convertible Preferred Stock either (x) remains outstanding after such consolidation, combination, merger, share exchange or reclassification; or (y) is converted or reclassified into, or is exchanged for, or represents solely the right to receive, preference securities of the continuing, resulting or surviving Person of such consolidation, combination, merger, share exchange or reclassification, or the parent thereof; (ii) the Convertible Preferred Stock that remains outstanding or such preference securities, as applicable, have rights, preferences and voting powers that, taken as a whole, are not materially less favorable to the Holders or the holders thereof, as applicable, than the rights, preferences and voting powers, taken as a whole, of the Convertible Preferred Stock immediately before the consummation of such consolidation, combination, merger, share exchange or reclassification; and (iii) the issuer of the Convertible Preferred Stock that remains outstanding or such preference securities, as applicable, is a corporation duly organized and existing under the laws of the United States of America, any State thereof or the District of Columbia that, if not the Company, will succeed to the Company under the Amended and Restated Certificate of Designations and the Convertible Preferred Stock.
Redemption:
The Company has the right to redeem all Convertible Preferred Stock after the Redemption Trigger Date, which is the fifth anniversary of the Initial Issue Date of April 15, 2024. The amount payable on the redemption date is equal to the
F-29

Liquidation Preference (i.e., Initial Liquidation Preference of $1,000 per share plus PIK Dividends) plus any unpaid Regular Dividends (to the extent such accumulated and unpaid Regular Dividends are not included in such Liquidation Preference).
If a change of control occurs, each holder shall have the right to require the Company to repurchase all, or any whole number of shares that is less than all, of the holder’s Convertible Preferred Stock at an amount equal to 1.75 multiplied by the sum of the Liquidation Preference (i.e., Initial Liquidation Preference of $1,000 per share plus PIK Dividends) plus any unpaid Regular Dividends (to the extent such accumulated and unpaid Regular Dividends are not included in such Liquidation Preference). As of December 31, 2025, the Company does not consider a change of control to be probable and therefore the Convertible Preferred Stock is not considered redeemable.
Dividends:
After the second anniversary, dividends on the Convertible Preferred Stock accrue quarterly, at a 6% annual rate, and if not paid out in cash before the quarter end, will become PIK Dividends and added to the liquidation preference, or original issue price plus PIK Dividends. Since dividends do not commence until the second anniversary of the Issuance, the Convertible Preferred Stock is considered increasing rate preferred stock. Accordingly, the Company accretes the dividends, using the effective interest method, from Issuance to the first contractual call date, April 15, 2029.
Conversions:
Holders of Convertible Preferred Stock have the option to convert any number of whole shares at any time. The conversion is based on the sum of the Liquidation Preference plus unpaid Dividends divided by the $48.00 Conversion Price. Given the Initial Liquidation Preference of $1,000, each share of Convertible Preferred Stock would be convertible into 20.8333 shares of common stock, prior to any adjustments such as PIK Dividends, unpaid Dividends, stock splits, or voluntary conversion rate increases. Upon conversion, cash will be paid in lieu of any fractional share of common stock. However, based on certain restrictions on the conversion of the Convertible Preferred Stock specified in the Amended and Restated Certificate of Designations, a holder of Convertible Preferred Stock is not entitled to effect a conversion of any portion of its shares of Convertible Preferred Stock, or to vote in its capacity as a holder of shares of Convertible Preferred Stock with respect to matters submitted to holders of the common stock if, after giving effect to such conversion, that holder would beneficially own in excess of 4.99%, in the case of one holder, or 9.99%, in the case of the other holder, of the number of shares of common stock outstanding immediately after giving effect to such exercise.
On May 7, 2024, the Company filed an Amended and Restated Certificate of Designations in respect of the Convertible Preferred Stock containing certain technical amendments to the terms of the Convertible Preferred Stock. The amendments contained in the Amended and Restated Certificate of Designations (x) limited the voting rights of the Convertible Preferred Stock to 24.9438 shares of the Company’s common stock per $1,000 liquidation preference of Convertible Preferred Stock and (y) eliminated a 1% step up in the interest rate that otherwise would have applied in the unlikely event that the Company was required to obtain and failed to obtain stockholder approval for certain conversion shares underlying the Convertible Preferred Stock.
On July 10, 2024, the Company filed with the SEC a prospectus supplement to the prospectus included in the Company’s registration statement on Form S-3ASR filed with the SEC on March 2, 2023, covering the resale from time to time by the Investors of up to an aggregate of 3,124,995 shares of common stock, to satisfy registration rights that the Company granted to such stockholders in connection with the Issuance.
10. Significant Agreements
License Agreements
RareStone Group Ltd.
In December 2021, the Company entered into an Exclusive License Agreement with RareStone Group Ltd., or the RareStone License. Pursuant to the RareStone License, we granted to RareStone an exclusive, sublicensable, royalty-bearing license under certain patent rights and know-how to develop, manufacture, commercialize and otherwise exploit any pharmaceutical product that contains setmelanotide in the diagnosis, treatment or prevention of conditions and diseases in humans in China, including mainland China, Hong Kong and Macao. In accordance with the terms of the RareStone License, RareStone made an upfront payment to Rhythm of $7.0 million and issued Rhythm 1,077,586 ordinary shares. The Company was eligible to receive development and commercialization milestones, as well as tiered royalty payments on annual net sales of IMCIVREE.
F-30

The Company initially estimated the fair value of the RareStone equity to be $2.4 million based on a preliminary valuation during the first quarter of 2022. Upon completion of the valuation procedures during the second quarter of 2022, the Company concluded the initial fair value of the RareStone equity to be $1.0 million. During the third quarter of 2022, the Company estimated the fair value of the RareStone equity to be de minimis based upon the results of an updated valuation and recorded an other-than-temporary impairment of $1.0 million related to the decline in fair value as a component of other expense in our consolidated statements of operations and other comprehensive loss for the year ended December 31, 2022. The other-than-temporary impairment of $1.0 million included the reclassification of a $0.3 million unrealized loss previously recorded as a component of accumulated other comprehensive income (loss) in our consolidated statement of stockholders’ equity during the second quarter of 2022.
The Company received total upfront consideration of $8.0 million comprised of an upfront payment of $7.0 million, and the estimated fair value of the RareStone equity of $1.0 million. The Company determined that the RareStone License contains two performance obligations, the delivery of the license and the supply of clinical and commercial product.
Based on a relative fair-value allocation between the license and the manufacture of clinical and commercial product, the Company recognized $6.8 million of license revenue in the consolidated statements of operations and comprehensive loss during the year ended December 31, 2022. The discount related to commercial manufacturing supply will be deferred and recognized over the commercial supply period or upon termination of the agreement.
On March 14, 2025, we entered into a termination agreement (the “Termination Agreement”) with RareStone Group Ltd. (“RareStone”) and RareStone Medicine (Shenzhen) Co., Ltd. (“RareStone Shenzhen”), pursuant to which the Company, RareStone and RareStone Shenzhen have mutually agreed to terminate (i) the Exclusive License Agreement between the Company and RareStone, dated December 3, 2021 (the “License Agreement”); and (ii) the Share Purchase Agreement between the Company and RareStone, dated December 3, 2021 (the “Share Purchase Agreement”, and with the License Agreement the “RareStone Agreements”).
Under the Termination Agreement, the Company agreed to pay $6.3 million as a repayment of a portion of the upfront payment made pursuant to Section 7.1 of the License Agreement. In connection with the Termination Agreement, the Company and RareStone also entered into a Share Repurchase Agreement dated March 14, 2025, pursuant to which the Company has agreed to convey all of the shares acquired under the original Share Purchase Agreement back to RareStone, for no additional consideration. The Company had previously written off the value of the shares in the year ended December 31, 2022. Prior to executing the termination agreement, the Company had recorded $1.3 million of deferred revenue related to this arrangement for unsatisfied performance obligations. As a result of the Termination Agreement, the Company recognized the $6.3 million paid to RareStone as a reduction in previously-recognized license revenue as it represented consideration paid to a customer, and recognized all existing deferred revenue resulting in a net reduction in license revenue of $5.0 million.
Ipsen Pharma S.A.S.
Pursuant to our March 21, 2013 license agreement with Ipsen Pharma, S.A.S., or Ipsen, the Company has an exclusive, sublicensable, worldwide license to certain patents and other intellectual property rights to research, develop, and commercialize compounds that were discovered or researched by Ipsen in the course of conducting its MC4R program or that otherwise were covered by the licensed patents. Under the terms of the setmelanotide Ipsen license agreement, assuming that setmelanotide is successfully developed, receives regulatory approval and is commercialized, Ipsen may receive aggregate payments of up to $40.0 million upon the achievement of certain development and commercial milestones and royalties on future product sales in the mid-single digits. Substantially all of such aggregate payments of up to $40.0 million are for milestones that may be achieved no earlier than first commercial sale of setmelanotide. In the event that the Company executes a sublicense agreement, it shall make payments to Ipsen, depending on the date of such sublicense agreement, ranging from 10% to 20% of all revenues actually received under such sublicense agreement.
The Company capitalized a $5.0 million and $4.0 million commercial milestone as a finite-lived intangible asset, as a result of the first commercial sales of IMCIVREE in the U.S. and Europe during March 2021 and March 2022, respectively. There were no research and development expenses related to milestones recorded in each of the years ended December 31, 2025, 2024 and 2023.
Camurus
In January 2016, the Company entered into a license agreement with Camurus AB, or Camurus, for the use of Camurus' drug delivery technology. The contract includes a non-refundable and non-creditable signing fee of $0.5 million.
F-31

The Camurus agreement also includes up to $7.8 million in one-time, non-refundable development milestones achievable upon certain regulatory successes. The Company is also required to pay to Camurus, mid to mid-high single digit royalties, on a product-by-product and country-by-country basis of annual net sales, until the later of (i) 10 years after the date of first commercial sale of such product in such country; or (ii) the expiration of the last to expire valid claim of all licensed patent rights in such country covering such product. The Company is also required to pay one-time, non-refundable, non-creditable sales milestones upon the achievement of certain sales levels for such product that cannot be in excess of $57.0 million. The Company recorded development milestone expenses related to this license agreement of $1.0 million during the year ended December 31, 2022. The expenses were recorded as research and development expenses when the milestone criteria were met in full during 2023. There are no research and development expenses related to milestones recorded in 2025 or 2024.
11. Long-Term Obligations
On June 16, 2022, we entered into a RIFA with entities managed by HealthCare Royalty Management, LLC, collectively referred to as the Investors. Pursuant to the RIFA and subject to customary closing conditions, the Investors have agreed to pay the Company an aggregate investment amount of up to $100.0 million, or the Investment Amount. Under the terms of the RIFA, we received $37.5 million on June 29, 2022 upon FDA approval of IMCIVREE in BBS, referred to as the Initial Investment Amount, and we received an additional $37.5 million on September 29, 2022 of the Investment Amount upon EMA approval for BBS. On September 12, 2023, we received the remaining $24.4 million of the Investment Amount, net of debt issuance costs, following the achievement of a specified amount of cumulative net sales of IMCIVREE between July 1, 2022 and September 30, 2023.
As consideration for the Investment Amount and pursuant to the RIFA, we agreed to pay the Investors a tiered royalty on our annual net revenues, or Revenue Interest, including worldwide net product sales and upfront payments and milestones. The applicable tiered percentage will initially be 11.5% on annual net revenues up to $125.0 million, 7.5% on annual net revenues of between $125.0 million and $300.0 million and 2.5% on annual net revenues exceeding $300.0 million. If the Investors have not received cumulative minimum payments equal to 60% of the amount funded by the Investors to date by March 31, 2027, or 120% of the amount funded by the Investors to date by March 31, 2029, we must make a cash payment immediately following each applicable date to the Investors sufficient to gross the Investors up to such minimum amounts after giving full consideration of the cumulative amounts paid by us to the Investors through each date, referred to as the Under Performance Payment. As the repayment of the funded amount is contingent upon worldwide net product sales and upfront payments, milestones, and royalties, the repayment term may be shortened or extended depending on actual worldwide net product sales and upfront payments, milestones, and royalties. As of December 31, 2025 we have made $40.3 million of payments.
The Investors’ rights to receive the Revenue Interests will terminate on the date on which the Investors have received payments equal to a certain percentage of the funded portion of the Investment Amount including the aggregate of all payments made to the Investors as of such date, each percentage tier referred to as the Hard Cap, unless the RIFA is earlier terminated. The total Revenue Interests payable by us to the Investors is capped between 185% and 250% of the Investment Amount paid, dependent on the aggregate royalty paid between 2028 and 2032. If a change of control of occurs, the Investors may accelerate payments due under the RIFA up to the Hard Cap plus any other obligations payable under the RIFA.
The repayment period commenced on July 8, 2022 for the Initial Investment Amount, and expires on the earlier of (i) the date at which the Investors received cash payments totaling an aggregate of a Hard Cap ranging from 185% to 250% of the Initial Investment Amount or (ii) the legal maturity date of July 8, 2034. If the Investors have not received payments equal to 250% of the Investment Amount by the twelve-year anniversary of the initial closing date, we will be required to pay an amount equal to the Investment Amount plus a specific annual rate of return less payments previously received by Investors. In the event of a change of control, we are obligated to pay Investors an amount equal to the Hard Cap in effect at the time, ranging from 185% to 250% plus any Under Performance Payment of the Investment Amount less payments previously received by Investors. In addition, upon the occurrence of an event of default, including, among others, our failure to pay any amounts due to Investors under the deferred royalty obligation, insolvency, our failure to pay indebtedness when due, the revocation of regulatory approval of IMCIVREE in the U.S. or our breach of any covenant contained in the RIFA and our failure to cure the breach within the prescribed time frame, we are obligated to pay Investors an amount equal to the Hard Cap in effect at the time of default ranging from 185% to 250% plus any Under Performance Payment of the Investment Amount less payments previously received by Investors. In addition, upon an event of default, Investors may exercise all other rights and remedies available under the RIFA, including foreclosing on the collateral that was pledged to Investors, which consists of all of our present and future assets relating to IMCIVREE.
F-32

We have evaluated the terms of the RIFA and concluded that the features are similar to those of a debt instrument. Accordingly, we have accounted for the transaction as long-term debt and presented it as a deferred royalty obligation on our consolidated balance sheets. We have further evaluated the terms of the RIFA and determined that the repayment of the Hard Cap in effect at the time which ranges from 185% to 250% of the Investment Amount, less any payments made to date, upon a change of control is an embedded derivative that requires bifurcation from the debt instrument and fair value recognition. We determined the fair value of the derivative using an option pricing Monte Carlo simulation model taking into account the probability of change of control occurring and potential repayment amounts and timing of such payments that would result under various scenarios, as further described in Note 5, Fair Value of Financial Instruments, to our consolidated financial statements. During the second quarter of 2022, the Company recorded $1.6 million for the initial fair value of the embedded derivative liability (asset). The fair value of the embedded derivative asset was $(1.2) million and $(0.3) million as of December 31, 2025 and December 31, 2024, respectively. We will remeasure the embedded derivative to fair value each reporting period until the time the features lapse and/or termination of the deferred royalty obligation. For the years ended December 31, 2025 and December 31, 2024, we recognized other income of $0.9 million and $1.4 million, due to the remeasurement of the embedded derivative liability (asset). The carrying value of the deferred royalty obligation at December 31, 2025 was $108.2 million based on $100.0 million of proceeds, net of the initial fair value of the bifurcated embedded derivative liability upon execution of the RIFA, and debt issuance costs incurred. The carrying value is classified as $7.3 million within current liabilities and $100.9 million within long-term liabilities on the consolidated balance sheet as of December 31, 2025. The carrying value of the deferred royalty obligation approximated fair value at December 31, 2025. The effective interest rate as of December 31, 2025 was 17.05%. In connection with the deferred royalty obligation, we incurred debt issuance costs totaling $3.3 million. Debt issuance costs have been netted against the debt and are being amortized over the estimated term of the debt using the effective interest method, adjusted on a prospective basis for changes in the underlying assumptions and inputs. The assumptions used in determining the expected repayment term of the debt and amortization period of the issuance costs requires that we make estimates that could impact the classification of these costs, as well as the period over which these costs will be amortized.
12. Commitments and Contingencies
Legal Proceedings
The Company, from time to time, may be party to various litigation arising in the ordinary course of business. The Company is not presently subject to any pending or threatened litigation that it believes, if determined adversely to the Company, individually, or taken together, would reasonably be expected to have a material adverse effect on its business or financial results.
Other
The Company is party to various agreements, principally relating to licensed technology, that require future payments relating to milestones that may be met in subsequent periods, or royalties on future sales of specified products. See Note 10 for discussion of these arrangements. Additionally, the Company is party to various contracts with CROs and CMOs that generally provide for termination on notice, with the exact amounts in the event of termination to be based on the timing of the termination and the terms of the agreement.
Based on the Company’s current development plans as of December 31, 2025, the Company does not expect to make material milestone payments due to third parties during the next 12 months from the filing of this Annual Report on Form 10-K, in connection with our license agreements. These milestones generally become due and payable upon achievement of such milestones or sales and achievement of development milestones. When the achievement of these milestones or sales have not occurred, such contingencies are not recorded in the Company’s consolidated financial statements.
13. Related-Party Transactions
Expenses paid directly to related parties for the years ended December 31, 2025 and 2024, were immaterial. Outstanding payments due to related parties as of December 31, 2025 and December 31, 2024 were immaterial.
F-33

14. Income Taxes
The components of loss before income taxes are as follows (in thousands):
As of
December 31,
202520242023
United States$(196,054)$(258,927)$(178,669)
Foreign12 (1,329)(5,445)
Loss before income taxes$(196,042)$(260,256)$(184,114)
Components of provision for income taxes are as follows (in thousands):
As of
December 31,
Current:202520242023
U.S. Federal$ $ $ 
U.S. State and Local  1 
Foreign497 346 563 
Total Current Expense$497 $346 $564 
Deferred:
U.S. Federal$ $ $ 
U.S. State and Local   
Foreign   
Total Deferred Expense$ $ $ 
F-34

The following table presents reconciliation of the income tax expense (benefit) at the federal statutory tax rate to the Company's effective income tax rate for the year ended December 31, 2025 after the adoption of ASU 2023-09:
December 31, 2025
AmountPercentage
(In thousands)
U.S. Federal Statutory Tax Rate$(41,169)21.00 %
State and Local Income Tax, Net of Federal (National) Income Tax Effect  %
Foreign Tax Effects:
 Other Foreign Jurisdictions529 (0.27)%
Tax Credits:
Research & Development Credits(13,073)6.67 %
Changes in Valuation Allowances51,008 (26.02)%
Nontaxable or Nondeductible Items:
Executive Compensation Limit8,661 (4.42)%
Stock-Based Compensation(2,283)1.16 %
LG Chem(3,930)2.00 %
Deferred royalty financing 913 (0.46)%
Other207 (0.10)%
Other Adjustments(366)0.19 %
Income tax expense / Effective Tax Rate$497 (0.25)%

The following table presents a reconciliation of the income tax expense (benefit) at the federal statutory tax rate to the Company's effective income tax rate for the years ended December 31, 2024 and 2023, before the adoption of ASU 2023-09 is as follows:
As of
December 31,
20242023
Statutory tax rate21.00 %21.00 %
State tax, net of federal benefit5.61 10.24 
Research and development credits3.75 4.02 
Stock-based compensation(0.57)(1.37)
Other(1.61)(0.16)
Rate changes (2.04)(6.52)
Executive Compensation(2.26)(0.32)
License Agreement(1.51) 
Change in valuation allowance(22.50)(27.10)
Effective tax rate(0.13)%(0.21)%
F-35

The principal components of the Company's deferred tax assets and liabilities are as follows (in thousands):
As of
December 31,
20252024
Deferred tax assets:
Net operating loss carryforwards$236,991 $167,375 
Research and development credits19,853 17,604 
Orphan drug credit46,211 34,603 
Capitalized license fee23,418 21,661 
Stock-based compensation8,573 5,113 
Section 174 Costs33,718 67,624 
Deferred revenue 336 
Section 163(j) Interest Limitation5,589 4,417 
Accrued Expenses & Other7,811 7,971 
Total deferred tax assets382,164 326,704 
Valuation allowance(381,166)(325,503)
Net deferred tax assets998 1,201 
Deferred tax liabilities:
Operating lease right-of-use asset and other(998)(1,201)
Net deferred tax liabilities(998)(1,201)
Total deferred tax assets / liabilities $ $ 
ASC 740 requires a valuation allowance to reduce the deferred tax assets reported if, based on the weight of available evidence, it is more likely than not that some portion or all of the deferred tax assets will not be realized. After consideration of all the evidence, both positive and negative, the Company has recorded a full valuation allowance against its deferred tax assets at December 31, 2025 and 2024, because the Company's management has determined that is it more likely than not that these assets will not be realized. The increase in the valuation allowance of $55.7 million in 2025 and $58.3 million in 2024 primarily relates to the net loss incurred by the Company during each period.
As of December 31, 2025, the Company had federal and state net operating loss carryforwards of approximately $917.3 million and $807.9 million, respectively, which are available to reduce future taxable income. The net operating loss carryforwards expire at various times beginning in 2033 for federal and state purposes. Of the federal net operating loss carryforwards at December 31, 2025, $844.1 million can be carried forward indefinitely. As of December 31, 2025, the Company had gross foreign net operating loss carryforwards of approximately $4.5 million which have an indefinite carryforward period.
As of December 31, 2025, the Company had federal and state research tax credits of approximately $15.3 million and $4.6 million, respectively, which may be used to offset future tax liabilities. Additionally, as of 2025, the Company had a federal orphan drug credit related to qualifying research of $46.2 million. These tax credit carryforwards will begin to expire at various times beginning in 2033 for federal purposes and 2028 for state purposes.
The net operating loss and tax credit carryforwards are subject to review and possible adjustment by the Internal Revenue Service and state tax authorities. Net operating loss and tax credit carryforwards may become subject to an annual limitation in the event of certain cumulative changes in the ownership interest of significant stockholders over a three-year period in excess of 50%, as defined under Sections 382 and 383 of the Internal Revenue Code, respectively, as well as similar state provisions and other provisions within the Internal Revenue Code. This could limit the amount of tax attributes that can be utilized annually to offset future taxable income or tax liabilities. The amount of the annual limitation is determined based on the value of the Company immediately prior to the ownership change. Subsequent ownership changes may further affect the limitation in future years.
F-36

The Company has not provided U.S. deferred income taxes or foreign withholding taxes on unremitted earnings of foreign subsidiaries as such amounts are considered to be indefinitely reinvested in these jurisdictions. The accumulated earnings in the foreign subsidiaries are primarily utilized to fund working capital requirements as its subsidiaries continue to expand their operations. The amount of any unrecognized deferred tax liability related to undistributed foreign earnings is immaterial.
The Company has not recorded any reserves for uncertain tax positions as of December 31, 2025 and 2024. The Company has not, as yet, conducted a study of research and development credit carryforwards. This study may result in an adjustment to the Company's research and development credit carryforwards; however, until a study is completed and any adjustment known, no amounts are being presented as an uncertain tax position. A full valuation allowance has been provided against the Company's research and development credits and, if an adjustment is required, this adjustment would be offset by an adjustment to the valuation allowance. Thus, there would be no impact to the balance sheets or statements of operations and comprehensive loss if an adjustment were required.
Interest and penalty charges, if any, related to unrecognized tax benefits will be classified as provision for income taxes in the accompanying statements of operations and comprehensive loss. As of December 31, 2025 and 2024, the Company had no accrued interest or penalties related to uncertain tax positions.
The Company is subject to examination by the U.S. federal, state, local, and foreign income tax authorities for tax years 2013 forward. The Company is not currently under examination by the Internal Revenue Service or any other jurisdictions for any tax years.
15. Segment and Geographic Information
Operating segments are defined as components of an entity about which separate discrete information is available for evaluation by the chief operating decision maker, ("CODM"), or decision making group, in deciding how to allocate resources and in assessing performance. The company has identified that there is a single management team that reports to the Chief Executive Officer, who is the CODM and comprehensively manages the entire business. The CODM reviews financial information on a consolidated basis, specifically but not limited to, revenue and operating expenses by key functional area to evaluate performance and allocate resources. Based on the manner in which the CODM reviews operating results, the Company has identified two operating segments: United States ("U.S.") and international. These two operating segments have been aggregated into a single reportable segment in accordance with the aggregation criteria in ASC 280, Segment Reporting, as they have similar economic characteristics and are similar in several qualitative areas including: the nature of products and services provided, the type of customers served, the methods of distribution, and the regulatory environment in which they operate.
F-37

The table below is a summary of the segment profit or loss, including significant segment expenses (in thousands):
Segment Analysis
202520242023
Net product revenue - U.S.$133,551 $96,108 $62,425 
Net product revenue - International61,220 34,018 15,002 
Total net product revenue 194,771 130,126 77,428 
License revenue(5,014)-  
Total net revenue189,757 130,126 77,428 
Cost of sales19,492 13,368 9,302 
Global headcount expense 172,648 119,084 96,413 
Preclinical, clinical and development expense 87,322 82,180 74,465 
Commercial & medical affairs 66,963 55,767 47,905 
Corporate, general & administrative 35,348 32,135 27,154 
Other segment expenses 93,094 6,571 
Other (income) expense, net(1,264)(11,139)317 
Interest (income) expense, net5,290 5,893 (585)
Income taxes 497 346 564 
Net loss $(196,539)$(260,602)$(184,678)
Geographic Data
The Company allocates, for the purpose of geographic data reporting, its revenue based upon the location of its customers. Total revenue by geographic area was as follows (in thousands):
Year ended December 31,
202520242023
US $133,551 $96,108 $62,425 
International61,220 34,018 15,003 
Total net product revenue$194,771 $130,126 $77,428 
As of December 31, 2025 and 2024, long-lived assets at locations outside the United States were not material.
16. Subsequent Events
The Company considers events or transactions that occur after the balance sheet date but prior to the issuance of the financial statements to provide additional evidence for certain estimates or to identify matters that require additional disclosure. Subsequent events have been evaluated as required. The Company has evaluated all subsequent events and determined that there are no material recognized or unrecognized subsequent events requiring disclosure, other than as disclosed within the above notes to these consolidated financial statements, and except as described below.
On January 26, 2026, and in accordance with the terms described below, the same holder referred to in Note 9, Series A Convertible Preferred Stock, exercised its right to convert another 17,500 shares of Series A Convertible Preferred Stock to common shares. Each of the 17,500 preferred shares converted to 20.8333 shares of common stock, resulting in a total of 364,582 shares of common stock. The Company reclassified the carrying value of the converted shares of $17.4 million from Series A convertible Preferred Stock to common stock and additional paid in capital.
F-38
Document
https://cdn.kscope.io/d39ddc77bca677dd6c1bc6601956b6cc-image_0.jpg

May 20, 2024
Alastair Garfield
via email [REDACTED]
Dear Alastair,
Congratulations on your offer of employment with Rhythm Pharmaceuticals, Inc. (referred to in this letter as “Rhythm” or the “Company”). I am confident you will find your career with Rhythm to be filled with opportunities, challenges and rewards. We take great pride in hiring professionals who have talent, drive, creativity and commitment and we are delighted to have you join our team. Below you will find important information about our organization, your individual position, rewards and benefits.

Employment. I am pleased to offer you the position of the Company’s Chief Scientific Officer, beginning on July 1, 2024 (the “Start Date”), reporting to David Meeker, the Company’s President & Chief Executive Officer. You will be responsible for performing the duties associated with the position above or as the Company may otherwise assign to you. Your primary place of employment will be in the Company’s offices located in Boston, Massachusetts; however, you will be expected to travel as may be necessary to fulfill your responsibilities. In the course of your employment with the Company, you will be subject to, and required to comply with, all Company policies and all applicable laws and regulations.
Base Salary. During your employment your base salary will be $450,000 annualized, subject to all required and elected taxes and other withholdings. Your base salary may be adjusted from time to time in accordance with normal business practice and in the sole discretion of the Company.
Annual Incentive Bonus. Following the end of each fiscal year and subject to the approval by the Company’s Board of Directors or an authorized committee thereof (the “Board”), in its sole discretion, you will be eligible to earn an incentive bonus, based on your performance and the Company’s performance, each during the applicable fiscal year, and subject to your continued employment in good standing on the date of payment of such incentive bonus. Your target annual incentive bonus opportunity shall be 45% of your annualized base salary.
Signing Bonus. The Company will pay you a one-time cash signing bonus of $60,000 at the first regularly scheduled payroll period of the Company which occurs after your Start Date.

Voluntary termination or termination for cause within the first twenty-four (24) months of employment will require repayment by you of such signing bonus, payable to Rhythm within 90 days of the termination date.

Equity Grants. Subject to the approval of the Board of Directors of the Company, the Company will grant to you 53,333 stock options and 17,778 restricted stock units. The stock options and


Alastair Garfield
May 20, 2024
restricted stock units will be subject to the terms of the Company’s 2022 New Hire Inducement Plan and an award agreement to be entered into between you and the Company.

You will also be eligible for a performance stock grant with a target of 40,000 performance units tied to specific company milestones for the years 2024-2026. The performance units will be subject to the terms of the Company’s 2017 Equity Incentive Plan and an award agreement to be entered into between you and the Company.

You may be awarded additional equity grants from time to time in accordance with normal business practice and in the sole discretion of the Board. The terms of any future equity grant will be consistent with any plan under which they are granted and the terms of the applicable agreement under which the award(s) are granted.
Benefits. You may participate in any and all benefit programs that the Company establishes and makes available to its employees from time to time, subject to the terms and conditions of those programs. The Company’s benefits programs are subject to change at any time in the Company’s sole discretion.
Vacation. You will be eligible for annual paid vacation of four (4) weeks. Your accrual and use of vacation time will be pursuant and subject to any vacation or time off policy the Company may establish or modify from time to time. The Company’s vacation policy and your vacation entitlement are subject to change at any time in the Company’s sole discretion.
Severance. If the Company terminates your employment without Cause (as defined below) or you resign your employment with the Company for Good Reason (as defined below) (in either event, a “Qualifying Termination”), then, subject to your execution of a general release of claims in a form acceptable to the Company (the “Release”), the expiration of any revocation period provided in the Release and your continued compliance with the terms of the NDA (as defined below) (collectively, the “Severance Conditions”), the Company will provide severance pay to you in an amount equal to your then-current base salary rate for a period of nine (9) months (the “Severance Amount”).
If there is a Qualifying Termination during the period that begins on (and including) the date that is three (3) months prior to and ending on (and including) the date that is twelve (12) months immediately after a Change of Control (as such term is defined in the Company’s 2017 Equity Incentive Plan, as may be amended and in effect from time to time or succeeded or superseded by a successor equity incentive plan) (such period, the “Change of Control Period”), then, subject to your satisfaction of the Severance Conditions, the Company will, in lieu of the Severance Amount, provide you with severance pay in an amount equal to your then-current base salary rate for a period of twelve (12) months plus an amount equal to 100% of your target annual incentive bonus opportunity for the fiscal year in which such Qualifying Termination occurs (the “Change of Control Severance Amount”).
In addition, in the event of your Qualifying Termination, if following your Separation from Service (as defined below), you are eligible for and timely elect continued group medical plan coverage pursuant to COBRA, then, subject to your satisfaction of the Severance Conditions, the
2


Alastair Garfield
May 20, 2024
Company will reimburse you for or pay on your behalf the applicable premiums for you and your eligible dependents during the period commencing on the date of your Separation from Service and ending on the earlier to occur of (a) the final day of the applicable severance period and (b) the date you otherwise become ineligible for continued coverage under COBRA. Notwithstanding the foregoing, if the Company determines that it cannot provide such reimbursement of premiums to you without potentially violating applicable law, the Company shall not be obligated to make any such payments or reimbursements to you.
Any Severance Amount or Change of Control Severance Amount to which you may be entitled under this letter agreement will be paid in substantially equal installments in accordance with the Company’s ordinary payroll practices over a period of nine (9) months with respect to the Severance Amount, or twelve (12) months with respect to the Change of Control Severance Amount, beginning on the first payroll date following the date that is sixty (60) days after the date of your Separation from Service and with the first installment to include any amounts that would otherwise have been payable prior to such first payroll date. To be eligible for any Severance Amount, Change of Control Severance Amount or COBRA reimbursement hereunder, you must execute and deliver the Release to the Company and allow it to become effective within thirty (30) days following your Separation from Service.
If a Qualifying Termination occurs during the Change of Control Period, then each outstanding and unvested equity award in the Company held by you shall immediately vest and, if applicable, become exercisable with respect to one hundred percent (100%) of the shares of the Company subject thereto, as of immediately prior to the consummation of the Change of Control or, if later, your termination date. In order to give effect to the immediately preceding sentence and notwithstanding any provision of the applicable award agreement or plan to the contrary (for the avoidance of doubt, whether such equity award was granted before or after the date hereof and unless such equity award expressly states this provision shall not apply), if you experience a Qualifying Termination during the Change of Control Period but prior to a Change of Control, your outstanding and unvested equity awards will remain outstanding and eligible to vest upon the occurrence of a Change of Control within three (3) months after the date of your Qualifying Termination; provided, that (a) the equity awards will in all events remain subject to earlier termination in connection with a corporate transaction or event in accordance with the terms of the applicable award agreement and plan and (b) in no event will a stock option remain outstanding past the final expiration date of such option.
To the extent permitted by Section 409A of the Internal Revenue Code of 1986, as amended (the “Code”), any Severance Amount or Change of Control Severance Amount to which you are otherwise entitled pursuant to this letter agreement shall be (i) reduced by amounts outstanding under any indebtedness, obligations or liabilities owed by you to the Company; (ii) paid in lieu of any severance pay or benefits under any other severance pay plan, program, or policy of the Company, and (iii) reduced and offset by any severance pay or benefits, or similar amounts, payable to you due to your termination of employment under any labor, social or other governmental plan, program, law or policy, and should such other payments or benefits described above be payable, the Severance Amount or Change of Control Severance Amount, as applicable, shall be reduced accordingly or, alternatively, payments of Severance Amounts or
3


Alastair Garfield
May 20, 2024
Change of Control Severance Amounts previously made or provided will be treated as having been paid or provided to satisfy such other obligations.
409A Matters. Each installment payment provided under this letter agreement shall at all times be considered a separate and distinct payment for purposes of Section 409A of the Code. Notwithstanding anything in this letter agreement to the contrary, to the extent required to avoid a prohibited distribution under Section 409A of the Code, the benefits provided under this letter agreement will not be provided to you until the earlier of (a) the expiration of the six (6) month period measured from the date of your Separation from Service with the Company or (b) the date of your death. Upon the first business day after expiration of the relevant period, all payments delayed pursuant to the preceding sentence will be paid in a lump sum and any remaining payments due will be paid as otherwise provided herein. In no event may you, directly or indirectly, designate the calendar year of any payment to be made to you under this letter agreement, to the extent such payment is subject to Section 409A of the Code. The Company makes no representations or warranty and shall have no liability to you or any other person if any provisions of this letter agreement are determined to constitute deferred compensation subject to Section 409A of the Code but do not satisfy an exemption from, or the conditions of, Section 409A of the Code. Notwithstanding anything herein to the contrary, in the event that any compensation or benefit that constitutes “nonqualified deferred compensation” within the meaning of Section 409A of the Code, becomes payable upon the occurrence of a Change of Control, such compensation or benefit shall not be paid unless such Change of Control constitutes a “change in control event” within the meaning of Section 409A of the Code.
280G Matters. Notwithstanding any other provisions of this letter agreement, any Company plan or any other agreement, in the event that any payment or benefit by the Company or otherwise to or for the benefit of you, whether paid or payable or distributed or distributable pursuant to the terms of this letter agreement or otherwise (all such payments and benefits, including the severance payments and benefits hereunder, the “Total Payments”), would be subject (in whole or in part) to the excise tax imposed by Section 4999 of the Code (the “Excise Tax”), then the Total Payments shall be reduced (in the order provided below) to the minimum extent necessary to avoid the imposition of the Excise Tax on the Total Payments, but only if (i) the net amount of such Total Payments, as so reduced (and after subtracting the net amount of federal, state and local income and employment taxes on such reduced Total Payments and after taking into account the phase out of itemized deductions and personal exemptions attributable to such reduced Total Payments), is greater than or equal to (ii) the net amount of such Total Payments without such reduction (but after subtracting the net amount of federal, state and local income and employment taxes on such Total Payments and the amount of the Excise Tax to which you would be subject in respect of such unreduced Total Payments and after taking into account the phase out of itemized deductions and personal exemptions attributable to such unreduced Total Payments).
The Total Payments shall be reduced in the following order: (i) reduction on a pro rata basis of any cash severance payments that are exempt from Section 409A of the Code, (ii) reduction on a pro rata basis of any noncash severance payments or benefits that are exempt from Section 409A of the Code, (iii) reduction on a pro rata basis of any other payments or benefits that are exempt
4


Alastair Garfield
May 20, 2024
from Section 409A of the Code and (iv) reduction of any payments or benefits otherwise payable to you on a pro rata basis or such other manner that complies with Section 409A of the Code; provided, in case of clauses (ii), (iii) and (iv), that reduction of any payments attributable to the acceleration of vesting of Company equity awards shall be first applied to Company equity awards that would otherwise vest last in time.
All determinations regarding the application of this 280G Matters section shall be made by an accounting firm or consulting group with experience in performing calculations regarding the applicability of Section 280G of the Code and the Excise Tax selected by the Company (the “Independent Advisors”). For purposes of determinations, no portion of the Total Payments shall be taken into account which, in the opinion of the Independent Advisors, (i) does not constitute a “parachute payment” within the meaning of Section 280G(b)(2) of the Code (including by reason of Section 280G(b)(4)(A) of the Code) or (ii) constitutes reasonable compensation for services actually rendered, within the meaning of Section 280G(b)(4)(B) of the Code, in excess of the “base amount” (as defined in Section 280G(b)(3) of the Code) allocable to such reasonable compensation. The costs of obtaining such determination and all related fees and expenses (including related fees and expenses incurred in any later audit) shall be borne by the Company.
In the event it is later determined that a greater reduction in the Total Payments should have been made to implement the objective and intent of this 280G Matters section, you agree to promptly return the excess amount to the Company.
Withholding Taxes. All payments and benefits described in this letter agreement or that you may otherwise be entitled or eligible to receive as a result of your employment with the Company will be subject to applicable federal, state and local tax withholdings.
Definitions.
Separation from Service. For purposes of this letter agreement, “Separation from Service” means a “separation from service” within the meaning of Section 409A of the Code.
Cause. “Cause” shall mean the occurrence of any of the following events: (i) your commission of any crime involving the Company, or any crime involving fraud, breach of trust, physical or emotional harm to any person, moral turpitude or dishonesty; (ii) any unauthorized use or disclosure by you of the Company’s proprietary information (other than any such use or disclosure that is not intentional and is not material); (iii) any intentional misconduct or gross negligence by you that has a material adverse effect on the Company’s business or reputation; (iv) any material breach by you of any agreement between you and the Company that is not cured within thirty (30) days after receipt of written notice from the Company describing any such breach; or (v) your repeated and willful failure to perform the duties, functions and responsibilities of your position after a written warning from the Company.
Good Reason. “Good Reason” shall mean your resignation from all positions you then hold with the Company if: (A) without your written consent (i) there is a material
5


Alastair Garfield
May 20, 2024
diminution in the nature or scope of your responsibilities, duties, authority, or title; (ii) there is a material reduction of your base salary; provided, however, that a material reduction in your base salary pursuant to a salary reduction program affecting all or substantially all of the employees of the Company and that does not adversely affect you to a proportionally greater extent than other similarly situated employees shall not constitute Good Reason; or (iii) you are required to relocate your primary work location to a facility or location that would increase your one way commute distance by more than thirty-five (35) miles from your primary work location as of immediately prior to such change, (B) you provide written notice outlining such conditions, acts or omissions to the Company’s Chief Financial Officer or General Counsel within thirty (30) days immediately following such material change or reduction, (C) such material change or reduction is not remedied by the Company within thirty (30) days following the Company’s receipt of such written notice and (D) your resignation is effective not later than thirty (30) days after the expiration of such thirty (30) day cure period.
Employee Protective Covenants Agreements. As a condition of your employment, you must execute and become bound by the Employee Protective Covenants Agreement, a copy of which is enclosed for your review.

Other Conditions. This offer is contingent upon your successful completion of a background check, and your ability to provide appropriate evidence of your eligibility for employment in the United States, in accordance with applicable law.
Representations. You hereby represent and warrant to the Company that the execution, delivery and performance of this letter agreement by you do not and shall no conflict with, breach, violate or cause a default under any contract, agreement, instrument, order, judgment or decree to which you are a party or by which you are bound.
Amendment. The provisions of this letter agreement may be amended or waived only with the prior written consent of the Company and you, and no course of conduct or course of dealing or failure or delay by you or the Company in enforcing or exercising any of the provisions of this letter agreement shall affect the validity, binding effect or enforceability of the letter agreement or be deemed to be an implied waiver of any similar or dissimilar requirement, provision or condition of this letter agreement at the same or any prior or subsequent time.
At Will Employment. This letter agreement shall not be construed as an agreement, either express or implied, to employ you for any stated term, and shall in no way alter the Company’s policy of employment at will. Similarly, nothing in this letter agreement shall be construed as an agreement, either express or implied, to pay you any compensation or grant you any benefit beyond the end of your employment with the Company, except as otherwise explicitly set forth in this letter agreement.
Cooperation. During your employment with the Company and thereafter, you shall cooperate with the Company and be reasonably available to the Company with respect to continuing and/or future matters relating to your employment period with the Company and/or its affiliates, whether such matters are business-related, legal, regulatory or otherwise (including, without
6


Alastair Garfield
May 20, 2024
limitation, your appearing at the Company’s request to give testimony without requiring service of a subpoena or other legal process, volunteering to the Company all pertinent information and turning over to the Company all relevant documents which are or may come into your possession). Following your employment term with the Company, the Company shall reimburse you for all reasonable out of pocket travel expenses incurred by you in rendering such services that are approved by the Company.
Entire Agreement. This letter agreement constitutes the entire agreement and understanding between you and the Company with respect to the subject matter hereof and terminates and supersedes any and all prior agreements, understandings and representations, whether written or oral, by or between you and the Company which may have related to the subject matter hereof in any way, any of which are hereby terminated and cancelled and of no further force or effect without the payment of any consideration by or to either you or the Company.
[The remainder of this page is intentionally left blank.]
7


Alastair Garfield
May 20, 2024

Please indicate your acceptance of this letter agreement by signing a copy of this letter agreement and returning it to us.
Sincerely,
/s/ David P Meeker
David Meeker
President & Chief Executive Officer
The foregoing correctly sets forth the terms of my at will employment with the Company. I am not relying on any representations other than those set forth above.
/s/ Alastair Garfield    
Alastair Garfield
5/29/2024 09:48:19 EDT    
Date

8

Document

Exhibit 21.1

Subsidiaries of Rhythm Pharmaceuticals, Inc.

Entity
Jurisdiction of Organization or Incorporation
Rhythm Securities Corp.
Massachusetts
Rhythm Pharmaceuticals Canada Inc.
Canada
Rhythm Pharmaceuticals France SAS
France
Rhythm Pharmaceuticals Germany GmbH
Germany
Rhythm Pharmaceuticals Italy S.r.l.
Italy
Rhythm Pharma K.K.
Japan
Rhythm Pharmaceuticals Spain, SL
Spain
Rhythm Pharmaceuticals Switzerland GmbH
Switzerland
Rhythm Pharmaceuticals Netherlands B.V.
The Netherlands
Xinvento B.V.
The Netherlands
Rhythm Pharmaceuticals UK Limited
United Kingdom


Document

Exhibit 23.1

Consent of Independent Registered Public Accounting Firm
We consent to the incorporation by reference in the following Registration Statements:
(1)Registration Statement (Form S-3ASR No. 333-270233) of Rhythm Pharmaceuticals, Inc.,
(2)Registration Statement (Form S-8 No. 333-292768) pertaining to the Deferred Compensation Plan (Employees) of Rhythm Pharmaceuticals, Inc.,
(3)Registration Statement (Form S-8 No. 333-285411) pertaining to the 2017 Equity Incentive Plan of Rhythm Pharmaceuticals, Inc.,
(4)Registration Statement (Form S-8 No. 333-277539) pertaining to the 2017 Equity Incentive Plan of Rhythm Pharmaceuticals, Inc.,
(5)Registration Statement (Form S-8 No. 333-270231) pertaining to the 2017 Equity Incentive Plan of Rhythm Pharmaceuticals, Inc.,
(6)Registration Statement (Form S-8 No. 333-263171) pertaining to the 2022 Employment Inducement Plan of Rhythm Pharmaceuticals, Inc.,
(7)Registration Statement (Form S-8 No. 333-263168) pertaining to the 2017 Equity Incentive Plan and the 2017 Employee Stock Purchase Plan of Rhythm Pharmaceuticals, Inc.,
(8)Registration Statement (Form S-8 No. 333-253709) pertaining to the 2017 Equity Incentive Plan of Rhythm Pharmaceuticals, Inc.,
(9)Registration Statement (Form S-8 No. 333-236829) pertaining to the 2017 Equity Incentive Plan and the 2017 Employee Stock Purchase Plan of Rhythm Pharmaceuticals, Inc.,
(10)Registration Statement (Form S-8 No. 333-229642) pertaining to the 2017 Equity Incentive Plan and the 2017 Employee Stock Purchase Plan of Rhythm Pharmaceuticals, Inc.,
(11)Registration Statement (Form S-8 No. 333-223647) pertaining to the 2017 Equity Incentive Plan of Rhythm Pharmaceuticals, Inc., and
(12)Registration Statement (Form S-8 No. 333-220925) pertaining to the 2017 Equity Incentive Plan and the 2017 Employee Stock Purchase Plan of Rhythm Pharmaceuticals, Inc.;
of our reports dated February 26, 2026, with respect to the consolidated financial statements of Rhythm Pharmaceuticals, Inc. and the effectiveness of internal control over financial reporting of Rhythm Pharmaceuticals, Inc. included in this Annual Report (Form 10-K) of Rhythm Pharmaceuticals, Inc. for the year ended December 31, 2025.
/s/ Ernst & Young LLP
Boston, Massachusetts
February 26, 2026


Document

Exhibit 31.1
CERTIFICATION
I, David P. Meeker M.D., certify that:
1.I have reviewed this annual report on Form 10-K of Rhythm Pharmaceuticals, Inc.;
2.Based on my knowledge, this report does not contain any untrue statement of a material fact or omit to state a material fact necessary to make the statements made, in light of the circumstances under which such statements were made, not misleading with respect to the period covered by this report;
3.Based on my knowledge, the financial statements, and other financial information included in this report, fairly present in all material respects the financial condition, results of operations and cash flows of the registrant as of, and for, the periods presented in this report;
4.The registrant’s other certifying officer(s) and I are responsible for establishing and maintaining disclosure controls and procedures (as defined in Exchange Act Rules 13a-15(e) and 15d-15(e)) and internal control over financial reporting (as defined in Exchange Act Rules 13a-15(f) and 15d-15(f)) for the registrant and have:
(a)Designed such disclosure controls and procedures, or caused such disclosure controls and procedures to be designed under our supervision, to ensure that material information relating to the registrant, including its consolidated subsidiaries, is made known to us by others within those entities, particularly during the period in which this report is being prepared;
(b)Designed such internal control over financial reporting, or caused such internal control over financial reporting to be designed under our supervision, to provide reasonable assurance regarding the reliability of financial reporting and the preparation of financial statements for external purposes in accordance with generally accepted accounting principles;
(c)Evaluated the effectiveness of the registrant’s disclosure controls and procedures and presented in this report our conclusions about the effectiveness of the disclosure controls and procedures, as of the end of the period covered by this report based on such evaluation; and
(d)Disclosed in this report any change in the registrant’s internal control over financial reporting that occurred during the registrant’s most recent fiscal quarter (the registrant’s fourth fiscal quarter in the case of an annual report) that has materially affected, or is reasonably likely to materially affect, the registrant’s internal control over financial reporting; and
5.The registrant’s other certifying officer(s) and I have disclosed, based on our most recent evaluation of internal control over financial reporting, to the registrant’s auditors and the audit committee of the registrant’s board of directors (or persons performing the equivalent functions):
(a)All significant deficiencies and material weaknesses in the design or operation of internal control over financial reporting which are reasonably likely to adversely affect the registrant’s ability to record, process, summarize and report financial information; and
(b)Any fraud, whether or not material, that involves management or other employees who have a significant role in the registrant’s internal control over financial reporting.
Date: February 26, 2026
/s/ David P. Meeker M.D.
Name: David P. Meeker M.D.
Title: Chief Executive Officer and President
(Principal Executive Officer)

Document

Exhibit 31.2
CERTIFICATION
I, Hunter C. Smith, certify that:
1.I have reviewed this annual report on Form 10-K of Rhythm Pharmaceuticals, Inc.;
2.Based on my knowledge, this report does not contain any untrue statement of a material fact or omit to state a material fact necessary to make the statements made, in light of the circumstances under which such statements were made, not misleading with respect to the period covered by this report;
3.Based on my knowledge, the financial statements, and other financial information included in this report, fairly present in all material respects the financial condition, results of operations and cash flows of the registrant as of, and for, the periods presented in this report;
4.The registrant’s other certifying officer(s) and I are responsible for establishing and maintaining disclosure controls and procedures (as defined in Exchange Act Rules 13a-15(e) and 15d-15(e)) and internal control over financial reporting (as defined in Exchange Act Rules 13a-15(f) and 15d-15(f)) for the registrant and have:
(a)Designed such disclosure controls and procedures, or caused such disclosure controls and procedures to be designed under our supervision, to ensure that material information relating to the registrant, including its consolidated subsidiaries, is made known to us by others within those entities, particularly during the period in which this report is being prepared;
(b)Designed such internal control over financial reporting, or caused such internal control over financial reporting to be designed under our supervision, to provide reasonable assurance regarding the reliability of financial reporting and the preparation of financial statements for external purposes in accordance with generally accepted accounting principles;
(c)Evaluated the effectiveness of the registrant’s disclosure controls and procedures and presented in this report our conclusions about the effectiveness of the disclosure controls and procedures, as of the end of the period covered by this report based on such evaluation; and
(d)Disclosed in this report any change in the registrant’s internal control over financial reporting that occurred during the registrant’s most recent fiscal quarter (the registrant’s fourth fiscal quarter in the case of an annual report) that has materially affected, or is reasonably likely to materially affect, the registrant’s internal control over financial reporting; and
5.The registrant’s other certifying officer(s) and I have disclosed, based on our most recent evaluation of internal control over financial reporting, to the registrant’s auditors and the audit committee of the registrant’s board of directors (or persons performing the equivalent functions):
(a)All significant deficiencies and material weaknesses in the design or operation of internal control over financial reporting which are reasonably likely to adversely affect the registrant’s ability to record, process, summarize and report financial information; and
(b)Any fraud, whether or not material, that involves management or other employees who have a significant role in the registrant’s internal control over financial reporting.
Date: February 26, 2026
/s/ Hunter C. Smith
Name: Hunter C. Smith
Title: Chief Financial Officer
(Principal Financial Officer)

Document

Exhibit 32.1
CERTIFICATION OF CHIEF EXECUTIVE OFFICER
PURSUANT TO 18 U.S.C. SECTION 1350,
AS ADOPTED PURSUANT TO SECTION 906 OF THE SARBANES-OXLEY ACT OF 2002
I, David P. Meeker M.D., certify pursuant to 18 U.S.C. Section 1350, as adopted pursuant to Section 906 of the Sarbanes-Oxley Act of 2002, that, to my knowledge, this Annual Report on Form 10-K of Rhythm Pharmaceuticals, Inc. for the fiscal year ended December 31, 2025 fully complies with the requirements of Section 13(a) or 15(d) of the Securities Exchange Act of 1934 and the information contained in such Form 10-K fairly presents, in all material respects, the financial condition and results of operations of Rhythm Pharmaceuticals, Inc.
/s/ David P. Meeker M.D.
Name: David P. Meeker M.D.
Title: Chief Executive Officer and President
(Principal Executive Officer)
February 26, 2026

Document

Exhibit 32.2
CERTIFICATION OF CHIEF FINANCIAL OFFICER
PURSUANT TO 18 U.S.C. SECTION 1350,
AS ADOPTED PURSUANT TO SECTION 906 OF THE SARBANES-OXLEY ACT OF 2002
I, Hunter C. Smith, certify pursuant to 18 U.S.C. Section 1350, as adopted pursuant to Section 906 of the Sarbanes-Oxley Act of 2002, that, to my knowledge, this Annual Report on Form 10-K of Rhythm Pharmaceuticals, Inc. for the fiscal year ended December 31, 2025 fully complies with the requirements of Section 13(a) or 15(d) of the Securities Exchange Act of 1934 and the information contained in such Form 10-K fairly presents, in all material respects, the financial condition and results of operations of Rhythm Pharmaceuticals, Inc.
/s/ Hunter C. Smith
Name: Hunter C. Smith
Title: Chief Financial Officer
(Principal Financial Officer)
February 26, 2026